Development and validation of a predictive model for continuous renal replacement therapy in patients undergoing venovenous extracorporeal membrane oxygenation
Highlight box
Key findings
• This study establishes the first validated multivariable prediction model that incorporates five clinically accessible parameters—coronary artery disease, Sequential Organ Failure Assessment, platelet count, hemoglobin, and blood urea nitrogen, demonstrating strong discrimination with an area under the curve of 0.88 (derivation) and 0.75 (external validation).
What is known and what is new?
• While extracorporeal membrane oxygenation (ECMO) patients requiring continuous renal replacement therapy (CRRT) demonstrate a higher mortality risk compared to those not, there is a notable lack of tools specifically designed to predict the need for CRRT during venovenous (VV)-ECMO.
• This validated nomogram provides a clinically practical tool for early risk stratification of CRRT need in VV-ECMO patients, potentially enhance patient management and improve outcomes in VV-ECMO patients.
What is the implication, and what should change now?
• This predictive model serves as a practical and reliable tool for assessing CRRT initiation in VV-ECMO patients, facilitating early risk stratification and timely interventions.
Introduction
Extracorporeal membrane oxygenation (ECMO) is a life-support modality that enables gas exchange through an external circuit, providing critical support for patients with severe lung and/or cardiac failure (1). Venovenous ECMO (VV-ECMO) is primarily used for potentially reversible respiratory failure and has been shown to significantly improve survival outcomes (2). However, VV-ECMO is associated with significant complications, including acute kidney injury (AKI), and fluid overload, both of which are linked to poor prognoses (3-5). A meta-analysis of 10,282 patients showed that those who developed severe AKI requiring continuous renal replacement therapy (CRRT) had a 3.73-fold higher hospital mortality rate compared to those without AKI (6). Another investigation highlighted that those who developed fluid overload exhibited a 90-day mortality rate of 76%, compared to 51% in patients without (7).
CRRT is widely utilized in ECMO patients to manage renal complications and correct fluid overload in hemodynamically unstable individuals (8,9). Despite that, CRRT may also pose challenges, including an increased risk of bleeding, higher resource consumption, and greater nursing complexity (10). Notably, ECMO patients requiring CRRT demonstrate a higher mortality risk compared to those not (11). A recent study in China found that among ECMO patients, those requiring CRRT had a 30-day mortality rate of 40.7%, compared to 8.3% in those who did not receive CRRT (12). These findings underscore the critical need for accurately identifying patients at high risk of CRRT requirement, thereby facilitating timely and targeted renal risk assessment and delivery of nephroprotective strategies while minimizing avoidable risks and resource use.
While several prognostic models have been developed to predict mortality in patients undergoing VV-ECMO (13,14), there is a notable lack of tools specifically designed to predict the need for CRRT during VV-ECMO. Commonly used tools, such as the Acute Physiology and Chronic Health Evaluation II (APACHE II) score, have been shown in studies to exhibit suboptimal predictive accuracy in ECMO patients (15), and are not specifically designed to account for the unique characteristics of this treatment. Identifying risk factors associated with CRRT initiation during VV-ECMO could enable earlier assessment and improve patient outcomes (16). However, research in this area is sparse, and no clinical prediction model currently exists for this purpose.
Therefore, this study aims to develop and validate a risk prediction model for CRRT initiation in VV-ECMO patients. We present this article in accordance with the TRIPOD reporting checklist (available at https://jtd.amegroups.com/article/view/10.21037/jtd-2025-735/rc) (17).
Methods
The study was conducted in accordance with the Declaration of Helsinki and its subsequent amendments. This study was approved by the Ethics Committee of the First Affiliated Hospital of Guangzhou Medical University (No. EX-2024-K104-01). Informed consent was waived in this retrospective study. All participating hospitals were informed and agreed to the study.
Derivation and validation cohorts
The derivation cohort consisted of 167 patients who underwent VV-ECMO at the First Affiliated Hospital of Guangzhou Medical University between January 1, 2014, and December 31, 2023. The entire Guangzhou cohort was also used for internal validation, which was performed using the bootstrap resampling method. For external validation, data were collected from 134 patients treated with VV-ECMO at three additional hospitals in China: West China Hospital of Sichuan University, Union Hospital, Tongji Medical College, Huazhong University of Science and Technology, and Zhongda Hospital of Southeast University, with data spanning January 1, 2023, to December 31, 2023.
Study population
The study included patients who received VV-ECMO support and had access to medical records via the hospital’s electronic medical record system. Exclusion criteria were as follows: (I) patients under 18 years of age; (II) patients with an ECMO support duration of less than 24 hours; (III) patients who had undergone CRRT prior to ECMO initiation; and (IV) patients with a confirmed diagnosis of chronic kidney disease (CKD) with diagnoses extracted directly from the medical record system. Criteria for CKD adhere to international guidelines, requiring the presence of one or both of the following for a minimum duration of 3 months: (I) glomerular filtration rate (GFR) less than 60 mL/min per 1.73 m2; or (II) evidence of kidney damage, which may include albuminuria [albumin-to-creatinine ratio (ACR) ≥30 mg/g], abnormal urinary sediment, electrolyte or other abnormalities due to tubular dysfunction, histological abnormalities, structural abnormalities identified by imaging, or a history of kidney transplantation (18).
Sample size calculation
The sample size was calculated using the events per variable (EPV) (19,20) metric, a widely accepted statistical guideline. In the derivation cohort, the incidence of CRRT reached 43.85%. Based on the predetermined requirement of including four to six predictor variables with an EPV threshold of 10, the minimum required sample size was determined to range between 91 and 136 subjects.
Study outcome and variable
The outcome of this study was the application of CRRT during VV-ECMO support, defined as the commencement of CRRT at any point between the initiation and discontinuation of VV-ECMO. The decision to initiate CRRT (including continuous hemofiltration, hemodialysis, hemodiafiltration) was made by the attending physician following a comprehensive assessment of the patient’s clinical status. The main indications for CRRT initiation included AKI, fluid overload, acid-base imbalance, and other related conditions. Clinical data, including vital signs, mechanical ventilation parameters, and laboratory test results, were collected from the 6-hour period preceding the initiation of VV-ECMO. If multiple time points were available, the time point representing the patient’s most severe condition was selected.
Statistical analysis
Data analysis was performed using SPSS (version 24.0) (IBM Corp., Armonk, NY, USA) and R software (version 4.3.2) (R Foundation for Statistical Computing, Vienna, Austria). To minimize bias, variables with fewer than 20% missing data were imputed using multiple imputation by chained equations (MICE). Continuous variables were reported as mean ± standard deviation (SD) if normally distributed and analyzed using analysis of variance (ANOVA), while non-normally distributed variables were summarized as medians with interquartile ranges (IQRs) and analyzed using the Mann-Whitney U test or Kruskal-Wallis test. Categorical data are expressed as frequencies (percentages) and analyzed using the chi-square test or Fisher’s exact test. A two-sided P<0.05 indicated a statistically significant association.
Candidate predictor variables were selected based on previous research (21,22) and clinical experience, with inclusion limited to those available before VV-ECMO initiation. Three methods, logistic regression, least absolute shrinkage and selection operator (LASSO), and Boruta algorithm, were used to select predictors for inclusion in the derivation cohort. In logistic regression, univariate analysis was performed on the derivation cohort, and variables with a significance level of <0.05 were retained for multivariate analysis, followed by stepwise backward selection to reduce overfitting. LASSO regression was used to address multicollinearity and minimize overfitting by applying an L1 norm penalty, with predictor selection based on the lambda 1se rule and validated through tenfold cross-validation. The Boruta algorithm identified important predictors by comparing Z-scores of true features with “shadow features”, retaining only those with significantly higher Z-scores (23). To ensure model robustness and mitigate algorithmic bias, only variables deemed significant by at least two of the three methods were incorporated into the final multivariate logistic regression model.
The logistic regression coefficients were fixed using the derivation cohort and subsequently applied to both the internal and external validation cohorts. Internal validation was conducted using bootstrap resampling 1,000 repetitions, and a nomogram was constructed to visualize the model. Model performance was assessed by calculating the area under the curve (AUC), with values >0.7 indicating acceptable performance, and evaluating calibration using the Hosmer-Lemeshow goodness-of-fit test. Decision curve analysis (DCA) was performed to evaluate clinical utility by calculating the net benefit (benefit of correctly classifying high-risk patients minus harm of misclassifying low-risk patients) across threshold probabilities, compared to strategies of ‘treating all’ or ‘treating none’ patients (24).
Results
Baseline characteristics
In current dataset, there are 9 missing variables, for a total of 67 missing values, which constitutes approximately 1.61% of the total data points. The missing values were distributed across multiple variables, as detailed in Table S1.
A total of 234 patients were included, with 130 in the derivation cohort and 104 in the validation cohort (Figure 1). Baseline characteristics are detailed in Table 1. Compared to the validation cohort, patients in the derivation cohort were older (55.69±14.69 vs. 48.62±16.72 years; P<0.001), had a lower BMI (22.19±3.54 vs. 24.21±4.97 kg/m2; P<0.001), presented with higher Sequential Organ Failure Assessment (SOFA) scores [10 (IQR, 8–12) vs. 8 (IQR, 7–11); P=0.003], and lower APACHE II scores [21 (IQR, 17–28) vs. 23 (IQR, 21–26); P=0.046]. Regarding comorbidities, the derivation cohort had a higher prevalence of diabetes (25.38% vs. 11.54%; P=0.008), coronary artery disease (CAD) (14.62% vs. 4.81%; P=0.01), and immunosuppression (33.85% vs. 5.77%; P<0.001). Notably, the incidence of CRRT during ECMO was comparable between the two cohorts (43.85% vs. 34.62%; P=0.15), aligning with reported rates in previous studies. Compared to the validation cohort, patients in the derivation cohort required a longer interval from hospital admission to ECMO initiation [5 days (IQR, 1–11 days) vs. 1 day (IQR, 0–6 days); P=0.001] and experienced a more extended duration of ECMO support [15 days (IQR, 7–30 days) vs. 12 days (IQR, 6–20 days); P=0.04]. For patients receiving CRRT, the median time from ECMO initiation to CRRT start across the entire cohort was 2 days (IQR, 0–11 days), with a median CRRT duration of 13 days (IQR, 4–22 days). There was no statistically significant difference between the derivation and validation cohorts for these CRRT-related time intervals.
Table 1
| Variables | Total (n=234) | Derivation cohort (n=130) | Validation cohort (n=104) | P |
|---|---|---|---|---|
| Gender | 0.50 | |||
| Female | 59 (25.21) | 35 (26.92) | 24 (23.08) | |
| Male | 175 (74.79) | 95 (73.08) | 80 (76.92) | |
| Age, years | 52.55±15.98 | 55.69±14.69 | 48.62±16.72 | <0.001 |
| BMI, kg/m2 | 23.09±4.35 | 22.19±3.54 | 24.21±4.97 | <0.001 |
| Hypertension | 0.50 | |||
| No | 175 (74.79) | 95 (73.08) | 80 (76.92) | |
| Yes | 59 (25.21) | 35 (26.92) | 24 (23.08) | |
| Diabetes | 0.008 | |||
| No | 189 (80.77) | 97 (74.62) | 92 (88.46) | |
| Yes | 45 (19.23) | 33 (25.38) | 12 (11.54) | |
| CAD | 0.01 | |||
| No | 210 (89.74) | 111 (85.38) | 99 (95.19) | |
| Yes | 24 (10.26) | 19 (14.62) | 5 (4.81) | |
| COPD | 0.77 | |||
| No | 210 (89.74) | 116 (89.23) | 94 (90.38) | |
| Yes | 24 (10.26) | 14 (10.77) | 10 (9.62) | |
| Immunocompromised | <0.001 | |||
| No | 184 (78.63) | 86 (66.15) | 98 (94.23) | |
| Yes | 50 (21.37) | 44 (33.85) | 6 (5.77) | |
| SOFA* | 9.00 (7.00, 12.00) | 10.00 (8.00, 12.00) | 8.00 (7.00, 11.00) | 0.003 |
| APACHE II* | 23.00 (20.00, 27.00) | 21.00 (17.00, 28.00) | 23.00 (21.00, 26.00) | 0.046 |
| HB*, g/L | 102.00 (85.00, 114.00) | 99.00 (81.00, 111.00) | 105.00 (89.00, 116.00) | 0.02 |
| PLT*, 109/L | 148.00 (108.00, 218.00) | 155.00 (102.00, 241.00) | 139.00 (116.00, 172.00) | 0.12 |
| BUN*, mmol/L | 8.24 (5.83, 13.42) | 10.50 (6.83, 14.88) | 6.70 (5.20, 10.78) | <0.001 |
| CRRT | 0.15 | |||
| No | 141 (60.26) | 73 (56.15) | 68 (65.38) | |
| Yes | 93 (39.74) | 57 (43.85) | 36 (34.62) | |
Continuous variables were reported as mean ± standard deviation if normally distributed; non-normally distributed variables were summarized as medians with interquartile ranges; categorical data are expressed as frequencies (percentages). *, it means the worst values recorded in the 6 hours prior to the initiation of ECMO for data collection. “Immunocompromised”, defined as hematological malignancy, active treatment for solid tumor, solid organ transplant, acquired immunodeficiency syndrome, or long-term treatment with corticosteroids or immunosuppressants. APACHE II, Acute Physiology and Chronic Health Evaluation II; BMI, body mass index; BUN, blood urea nitrogen; CAD, coronary artery disease; COPD, chronic obstructive pulmonary disease; CRRT, continuous renal replacement therapy; HB, hemoglobin; PLT, platelet count; SOFA, Sequential Organ Failure Assessment.
Feature determination
A total of 32 variables were initially analyzed using univariate regression. Variables with P values <0.05 in univariable analysis were included in the initial model, then iteratively removed if their exclusion decreased the Akaike information criterion (AIC). The process stopped when no further variable removal reduced AIC, yielding the final model with 5 predictors (Table S2): CAD, SOFA, platelet count (PLT), hemoglobin (HB) level, and immunocompromised.
LASSO regression was also used to screen relevant features in the derivation cohort (Figure 2A,2B). A 10-fold cross-validation approach identified six variables closely associated with the outcome: CAD, SOFA, pH, PLT, HB, and blood urea nitrogen (BUN). Boruta analysis, as shown in Figure 2C, identified six additional important predictors for CRRT initiation: CAD, SOFA, PLT, BUN, vasoactive inotropic score (VIS), and peak inspiratory pressure (Ppeak).
By intersecting results from the three feature selection methods, five variables—CAD [odds ratio (OR): 12.58, 95% confidence interval (CI): 3.60–44.03, P<0.001], SOFA (OR: 1.28, 95% CI: 1.10–1.48, P=0.001), PLT (OR: 0.99, 95% CI: 0.99–0.99, P=0.008), HB (OR: 0.98, 95% CI: 0.96–0.99, P=0.03), and BUN (OR: 1.04, 95% CI: 0.96–1.13, P=0.31)—were consistently identified as significant and incorporated into the final predictive model (Figure 2D, Table S3).
Development and validation of the predictive nomogram
A nomogram was developed based on multivariable regression analysis (Table S3) to predict the need for CRRT during VV-ECMO, incorporating five independent predictors: CAD, SOFA, PLT, HB, and BUN (Figure 3). Higher total scores corresponded to an increased likelihood of CRRT initiation during VV-ECMO support.
The model demonstrated strong discriminatory power in Figure 4, with AUC values of 0.88 in the derivation cohort (Figure 4A), 0.87 (95% CI: 0.81–0.93) for internal validation via bootstrap (Figure S1), and 0.75 in the external validation cohort (Figure 4D). Calibration curves showed excellent agreement between predicted and observed outcomes in both cohorts (Figure 4B,4E), further validated by the Hosmer-Lemeshow test (P>0.05). DCA confirmed the clinical utility of the nomogram, revealing a significant net benefit across a broad range of threshold probabilities (Figure 4C,4F).
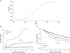
As shown in Figure 5, the nomogram-derived risk stratification model quantifies individualized probabilities for CRRT initiation by integrating clinical predictors from the derivation cohort (Figure 5A). Risk stratification was performed using X-tile, classifying patients into three distinct categories: low risk (score <137), intermediate risk (score 137–185), and high risk (score >185). Subsequent validation demonstrated significant prognostic discrimination across risk strata. High-risk patients exhibited a substantially elevated cumulative hazard for CRRT initiation (Figure 5B) and a low 60-day survival rate (Figure 5C).
Discussion
Our study developed and validated a predictive model for CRRT initiation in VV-ECMO patients, identifying CAD, SOFA, PLT, HB, and BUN as key predictors. The model demonstrated high discrimination, robust calibration, and significant clinical utility. By facilitating early risk stratification and guiding timely interventions, this model has the potential to enhance patient management and improve outcomes in VV-ECMO patients.
Our model filled a critical gap in predicting CRRT initiation for this specific patient population. Unlike existing scoring systems such as SOFA and APACHE II, which do not fully account for the physiological complexities of VV-ECMO, our model offers a more tailored and practical approach to risk stratification. Notably, this study is the first to identify CAD as a significant predictor of CRRT initiation in VV-ECMO patients, providing new insights into the relationship between cardiovascular comorbidities and renal dysfunction in this setting.
In this study, CAD was identified as a significant predictor of CRRT initiation in VV-ECMO patients, representing a novel finding in this context. CAD contributes to systemic inflammation, endothelial dysfunction, and hemodynamic instability, all of which are key drivers of renal injury in critically ill patients (25,26). The physiological burden of CAD, compounded by the hemodynamic stress of extracorporeal circulation, may further compromise renal perfusion and increase the risk of AKI (27,28). Our findings suggest that CAD should be recognized as a key variable in future risk stratification efforts, highlighting the need for proactive hemodynamic monitoring and cardiovascular optimization in this high-risk subgroup. This novel insight sets our study apart from previous research and provides a foundation for further investigations into the mechanisms linking CAD and renal dysfunction in ECMO patients.
PLT was identified as an important predictor in our model, underscoring its role as a marker of systemic inflammation and coagulation status in VV-ECMO patients. The pathological mechanisms driving AKI, including the inflammatory cascade, leukocyte and platelet activation, epithelial cell injury, endothelial dysfunction, and microthrombosis, are closely linked to platelet dynamics (29,30). Excessive consumption of clotting factors and platelets signals the formation of microthrombi, contributing to organ dysfunction and renal impairment. Previous studies have demonstrated that greater reductions in PLT correlate with poorer outcomes, as lower PLT levels are linked to an increased risk of bleeding, multiorgan dysfunction, and systemic inflammation (31-33). These factors collectively heighten the likelihood of CRRT initiation. These findings underscore the importance of continuous platelet monitoring in VV-ECMO patients, and suggest that early interventions, such as optimizing anticoagulation strategies or addressing inflammation, may help reduce the risk of renal complications.
HB emerged as a critical predictor in our model, emphasizing its essential role in oxygen transport and tissue perfusion, both of which are vital for renal function. Darby et al. (34) demonstrated that reduced HB levels during extracorporeal circulation lead to diminished medullary oxygenation, increasing susceptibility to ischemic damage. Moreover, anemia-associated erythropoietin deficiency may further exacerbate renal dysfunction, as erythropoietin plays a pivotal role in inhibiting apoptosis and promoting tubular regeneration (35,36). Our findings emphasize the significance of HB as a predictor for CRRT initiation, underscoring the necessity of targeted interventions, such as blood transfusions or strategies to optimize oxygen delivery, to mitigate renal complications during VV-ECMO support.
SOFA and BUN, well-established predictors in critical care, further reinforce the strength and clinical applicability of our model. SOFA, widely used to assess organ dysfunction, reflects systemic inflammation and hemodynamic instability, both of which are linked to AKI and CRRT initiation in ECMO patients (37,38). Similarly, BUN, a traditional marker of renal function (39), reflects the severity of renal impairment and metabolic derangements in critically ill patients. Our findings reaffirm the utility of these variables and demonstrate their relevance in the context of VV-ECMO, where renal complications are a frequent and severe concern.
This predictive model provides a practical and objective tool for early risk stratification in VV-ECMO patients by incorporating readily available clinical and laboratory parameters for ease of use. Identifying high-risk patients enables timely interventions, such as hemodynamic optimization, nephroprotective strategies, and closer renal monitoring, potentially reducing renal complications. In addition, the model’s nomogram enhances communication among healthcare providers, supports individualized decision-making, and optimizes resource allocation in critical care settings.
Despite its strengths, this study has several limitations. First, its retrospective design may introduce biases, including selection bias and unmeasured confounding. Prospective studies are needed to validate the model in real-world clinical settings. Second, the sample size, particularly for the external validation cohort, is relatively small, which may limit the generalizability of the findings. Larger, multicenter studies are required to confirm the robustness of the model. Third, certain potentially important variables, such as fluid balance data, novel biomarkers of renal injury [e.g., neutrophil gelatinase-associated lipocalin (NGAL)] and ECMO course-related variables (e.g., cannulation strategy, anticoagulation intensity, in-ECMO complications), were not included due to data limitations. Future research should aim to incorporate such variables to refine and enhance the model further. Finally, as the data used for external validation was sourced exclusively from Chinese hospitals, the applicability of the model to other healthcare systems and populations requires further investigation.
Conclusions
In conclusion, a predictive model for CRRT initiation in VV-ECMO patients was developed and validated, incorporating five key predictors: CAD, SOFA, PLT, HB, and BUN. By enabling early risk stratification and individualized decision-making, the model has the potential to improve outcomes and optimize care for critically ill patients. Future prospective and multicenter studies are warranted to further validate and refine the model, ensuring its applicability across diverse clinical settings.
Acknowledgments
We sincerely thank Jinxiang Ma (Department of Epidemiology and Medical Statistics, School of Public Health, Guangzhou Medical University, Guangzhou, China) for reviewing overall statistical analysis.
Footnote
Reporting Checklist: The authors have completed the TRIPOD reporting checklist. Available at https://jtd.amegroups.com/article/view/10.21037/jtd-2025-735/rc
Data Sharing Statement: Available at https://jtd.amegroups.com/article/view/10.21037/jtd-2025-735/dss
Peer Review File: Available at https://jtd.amegroups.com/article/view/10.21037/jtd-2025-735/prf
Funding: This work was funded with support from
Conflicts of Interest: All authors have completed the ICMJE uniform disclosure form (available at https://jtd.amegroups.com/article/view/10.21037/jtd-2025-735/coif). The authors have no conflicts of interest to declare.
Ethical Statement: The authors are accountable for all aspects of the work in ensuring that questions related to the accuracy or integrity of any part of the work are appropriately investigated and resolved. The study was conducted in accordance with the Declaration of Helsinki and its subsequent amendments. This study was approved by the Ethics Committee of the First Affiliated Hospital of Guangzhou Medical University (No. EX-2024-K104-01). Informed consent was waived in this retrospective study. All participating hospitals were informed and agreed to the study.
Open Access Statement: This is an Open Access article distributed in accordance with the Creative Commons Attribution-NonCommercial-NoDerivs 4.0 International License (CC BY-NC-ND 4.0), which permits the non-commercial replication and distribution of the article with the strict proviso that no changes or edits are made and the original work is properly cited (including links to both the formal publication through the relevant DOI and the license). See: https://creativecommons.org/licenses/by-nc-nd/4.0/.
References
- Conrad SA, Broman LM, Taccone FS, et al. The Extracorporeal Life Support Organization Maastricht Treaty for Nomenclature in Extracorporeal Life Support. A Position Paper of the Extracorporeal Life Support Organization. Am J Respir Crit Care Med 2018;198:447-51. [Crossref] [PubMed]
- Brodie D, Slutsky AS, Combes A. Extracorporeal Life Support for Adults With Respiratory Failure and Related Indications: A Review. JAMA 2019;322:557-68. [Crossref] [PubMed]
- Ostermann M, Lumlertgul N. Acute kidney injury in ECMO patients. Crit Care 2021;25:313. [Crossref] [PubMed]
- Foti L, Villa G, Romagnoli S, et al. Acute Kidney Injury and Extracorporeal Membrane Oxygenation: Review on Multiple Organ Support Options. Int J Nephrol Renovasc Dis 2021;14:321-9. [Crossref] [PubMed]
- Bridges BC, Dhar A, Ramanathan K, et al. Extracorporeal Life Support Organization Guidelines for Fluid Overload, Acute Kidney Injury, and Electrolyte Management. ASAIO J 2022;68:611-8. [Crossref] [PubMed]
- Thongprayoon C, Cheungpasitporn W, Lertjitbanjong P, et al. Incidence and Impact of Acute Kidney Injury in Patients Receiving Extracorporeal Membrane Oxygenation: A Meta-Analysis. J Clin Med 2019;8:981. [Crossref] [PubMed]
- Gunning S, Kutuby F, Rose R, et al. Fluid Overload and Mortality in Patients with Severe Acute Kidney Injury and Extracorporeal Membrane Oxygenation. Kidney360 2020;1:232-40. [Crossref] [PubMed]
- Wald R, Gaudry S, da Costa BR, et al. Initiation of continuous renal replacement therapy versus intermittent hemodialysis in critically ill patients with severe acute kidney injury: a secondary analysis of STARRT-AKI trial. Intensive Care Med 2023;49:1305-16. [Crossref] [PubMed]
- Thadani S, Lang A, Silos C, et al. Fluid overload modifies hemodynamic impact of continuous renal replacement therapy: evidence of a covert cardiorenal syndrome? Shock 2025;63:233-9. [Crossref] [PubMed]
- Ding XQ, Xu JR, Shen B. Focus on the evaluation and control of medical quality to implement high-quality CRRT. Zhonghua Yi Xue Za Zhi 2024;104:4017-21. [Crossref] [PubMed]
- Chen H, Yu RG, Yin NN, et al. Combination of extracorporeal membrane oxygenation and continuous renal replacement therapy in critically ill patients: a systematic review. Crit Care 2014;18:675. [Crossref] [PubMed]
- Hao T, Chen L, Wu C, et al. Impact of renal complications on outcome in adult patients with acute fulminant myocarditis receiving venoarterial extracorporeal membrane oxygenation: an analysis of nationwide CSECLS database in China. Ann Intensive Care 2023;13:93. [Crossref] [PubMed]
- Watanabe S, Kurihara C, Manerikar A, et al. MELD Score Predicts Outcomes in Patients Undergoing Venovenous Extracorporeal Membrane Oxygenation. ASAIO J 2021;67:871-7. [Crossref] [PubMed]
- Lee H, Song MJ, Cho YJ, et al. Supervised machine learning model to predict mortality in patients undergoing venovenous extracorporeal membrane oxygenation from a nationwide multicentre registry. BMJ Open Respir Res 2023;10:e002025. [Crossref] [PubMed]
- Pladet LCA, Barten JMM, Vernooij LM, et al. Prognostic models for mortality risk in patients requiring ECMO. Intensive Care Med 2023;49:131-41. [Crossref] [PubMed]
- Karvellas CJ, Farhat MR, Sajjad I, et al. A comparison of early versus late initiation of renal replacement therapy in critically ill patients with acute kidney injury: a systematic review and meta-analysis. Crit Care 2011;15:R72. [Crossref] [PubMed]
- Collins GS, Reitsma JB, Altman DG, et al. Transparent reporting of a multivariable prediction model for individual prognosis or diagnosis (TRIPOD): the TRIPOD statement. BMJ 2015;350:g7594. [Crossref] [PubMed]
- Webster AC, Nagler EV, Morton RL, et al. Chronic Kidney Disease. Lancet 2017;389:1238-52. [Crossref] [PubMed]
- Vittinghoff E, McCulloch CE. Relaxing the rule of ten events per variable in logistic and Cox regression. Am J Epidemiol 2007;165:710-8. [Crossref] [PubMed]
- van Smeden M, Moons KG, de Groot JA, et al. Sample size for binary logistic prediction models: Beyond events per variable criteria. Stat Methods Med Res 2019;28:2455-74. [Crossref] [PubMed]
- Singbartl K, Kellum JA. AKI in the ICU: definition, epidemiology, risk stratification, and outcomes. Kidney Int 2012;81:819-25. [Crossref] [PubMed]
- Mou Z, Guan T, Chen L. Risk Factors of Acute Kidney Injury in ECMO Patients: A Systematic Review and Meta-Analysis. J Intensive Care Med 2022;37:267-77. [Crossref] [PubMed]
- Kursa MB, Rudnicki WR. Feature Selection with the Boruta Package. Journal of Statistical Software 2010;36:1-13.
- Fitzgerald M, Saville BR, Lewis RJ. Decision curve analysis. JAMA 2015;313:409-10. [Crossref] [PubMed]
- Ridker PM, Lüscher TF. Anti-inflammatory therapies for cardiovascular disease. Eur Heart J 2014;35:1782-91. [Crossref] [PubMed]
- Gimbrone MA Jr, García-Cardeña G. Endothelial Cell Dysfunction and the Pathobiology of Atherosclerosis. Circ Res 2016;118:620-36. [Crossref] [PubMed]
- Ronco C, McCullough P, Anker SD, et al. Cardio-renal syndromes: report from the consensus conference of the acute dialysis quality initiative. Eur Heart J 2010;31:703-11. [Crossref] [PubMed]
- Rangaswami J, Bhalla V, Blair JEA, et al. Cardiorenal Syndrome: Classification, Pathophysiology, Diagnosis, and Treatment Strategies: A Scientific Statement From the American Heart Association. Circulation 2019;139:e840-78. [Crossref] [PubMed]
- Jensen JLS, Hviid CVB, Hvas CL, et al. Platelet Function in Acute Kidney Injury: A Systematic Review and a Cohort Study. Semin Thromb Hemost 2023;49:507-22. [Crossref] [PubMed]
- Dong G, Gao P, Shi FE, et al. Acute kidney injury associated with thrombotic microangiopathy: Characterization, prevalence, and prognosis. Medicine (Baltimore) 2024;103:e39431. [Crossref] [PubMed]
- Engelmann B, Massberg S. Thrombosis as an intravascular effector of innate immunity. Nat Rev Immunol 2013;13:34-45. [Crossref] [PubMed]
- Zhi DY, Lin J, Zhuang HZ, et al. Acute Kidney Injury in Critically Ill Patients with Sepsis: Clinical Characteristics and Outcomes. J Invest Surg 2019;32:689-96. [Crossref] [PubMed]
- Wu M, Luan YY, Lu JF, et al. Platelet count as a new biomarker for acute kidney injury induced by hemorrhagic shock. Platelets 2020;31:94-102. [Crossref] [PubMed]
- Darby PJ, Kim N, Hare GM, et al. Anemia increases the risk of renal cortical and medullary hypoxia during cardiopulmonary bypass. Perfusion 2013;28:504-11. [Crossref] [PubMed]
- Persson PB, Patzak A. Renal haemodynamic alterations in contrast medium-induced nephropathy and the benefit of hydration. Nephrol Dial Transplant 2005;20:i2-5. [Crossref] [PubMed]
- Johnson DW, Pat B, Vesey DA, et al. Delayed administration of darbepoetin or erythropoietin protects against ischemic acute renal injury and failure. Kidney Int 2006;69:1806-13. [Crossref] [PubMed]
- Vincent JL, Moreno R, Takala J, et al. The SOFA (Sepsis-related Organ Failure Assessment) score to describe organ dysfunction/failure. On behalf of the Working Group on Sepsis-Related Problems of the European Society of Intensive Care Medicine. Intensive Care Med 1996;22:707-10. [Crossref] [PubMed]
- Lambden S, Laterre PF, Levy MM, et al. The SOFA score-development, utility and challenges of accurate assessment in clinical trials. Crit Care 2019;23:374. [Crossref] [PubMed]
- Stevens LA, Coresh J, Greene T, et al. Assessing kidney function--measured and estimated glomerular filtration rate. N Engl J Med 2006;354:2473-83. [Crossref] [PubMed]

