A comprehensive analysis of antihypertensive medications and their impact on lung cancer incidence and all-cause mortality: a population-based study in South Korea
Highlight box
Key findings
• In this nationwide cohort study, calcium channel blocker (CCB) use might be associated with higher risks of lung cancer incidence and all-cause mortality compared with angiotensin receptor blocker (ARB) use.
What is known and what is new?
• Previous studies on the relationship between antihypertensive medications and lung cancer risk have yielded conflicting results, with limited large-scale, population-based evidence.
• This study provides robust real-world data from the Korean National Health Insurance Service, demonstrating that CCB use is associated with a significantly elevated risk of lung cancer and mortality compared with ARB.
What is the implication, and what should change now?
• Clinicians should be aware of the potential cancer risks associated with long-term CCB use, particularly when alternative antihypertensive options such as ARBs are available.
Introduction
Lung cancer is the most common solid cancer worldwide in terms of incidence and mortality. Recent epidemiological data from Korea have indicated that lung cancer is the second most frequently diagnosed cancer in men and the fourth most common cancer in women (1). Moreover, it is now the leading cause of death in both men and women in Korea. Between 2014 and 2018, the 5-year relative survival rate for lung cancer in Korea was 32.5%, significantly lower than an overall rate of 70.3% for all cancer types observed during the same period (1). As a result, there has been heightened societal interest in various factors including medications, smoking history, occupational exposure, and air pollution, all recognized as potential risk factors for lung cancer.
Antihypertensive drugs are the most commonly prescribed medications known for their minimal adverse effects. However, due to a lifelong nature of antihypertensive therapy, carefully evaluating potential side effects is crucial. According to the Korean Society of Hypertension, the prevalence of hypertension among Korean adults aged 20 and above is 28%, affecting an estimated 12.07 million individuals (2). Within this group, 72.5%, 60.9%, and 15.7% have been prescribed angiotensin receptor blockers (ARBs), calcium channel blockers (CCBs), and beta-blockers (BBs), respectively, with a significant number of patients choosing combination therapy, predominantly using ARBs and CCBs.
Numerous studies have investigated associations of using ARB and CCB with risk of lung cancer and mortality, with findings remaining inconsistent (3-5). Variations in study outcomes can be attributed to differing inclusion criteria and baseline characteristics such as sex, age, smoking history, and case numbers. Direct comparisons between ARBs and CCBs are rare and studies covering the entire national population are limited. In Korea, most individuals are covered by National Health Insurance. The government provides information through the National Health Insurance Sharing Service (NHISS). This study aimed to analyze lung cancer incidence and all-cause mortality in ARB and CCB groups using NHISS data, focusing on various subgroups and factors. We present this article in accordance with the STROBE reporting checklist (available at https://jtd.amegroups.com/article/view/10.21037/jtd-2024-2237/rc).
Methods
Study design and data management
Data were obtained from the Korean NHISS. In Korea, the national health insurance is mandated by law for all citizens, ensuring that NHISS data cover over 98% of the Korean population. The dataset includes information on disease and drug codes doctors use for diagnosis and treatment. Leveraging the NHISS data enabled us to ascertain medical disease diagnoses and identify prescribed medications using these disease and drug codes (6,7). For example, we used the International Classification of Diseases codes for lung cancer and hypertension diagnoses, specifically C34 for lung cancer and I10–I15 for hypertension. Moreover, we could conduct analyses that encompassed various baseline characteristics such as Charlson comorbidity index (CCI), age, sex, smoking history, alcohol history, body mass index (BMI), previous medical history, and prior medication history. The study was conducted in accordance with the Declaration of Helsinki and its subsequent amendments.
We extracted data from the NHISS from January 1, 2002 to December 31, 2019. To ensure a clear analysis and minimize bias, we designated the period from January 1, 2002 to December 31, 2009 as the data washout period. Individuals previously diagnosed with cancer or hypertension or prescribed antihypertensive medications during the washout period were excluded from the analysis. Individuals diagnosed with occupational lung diseases such as coal worker’s pneumoconiosis closely associated with lung cancer were also excluded. Our analysis focused exclusively on patients with no history of hypertension or cancer.
In summary, our study aimed to investigate associations of antihypertensive medications with lung cancer risk by analyzing individuals who were initially diagnosed with hypertension and subsequently diagnosed with cancer between January 1, 2010 and December 31, 2019. In Korea, ARBs or CCBs are the most commonly prescribed antihypertensive medications. Our analysis primarily focused on comparing these two classes. To ensure the integrity of our analysis, we defined patients with hypertension as those diagnosed with the condition and prescribed antihypertensive medications for a minimum of 90 days. Consequently, individuals with a medication duration of less than 90 days were excluded from this study. We established a minimum follow-up period of 90 days and excluded patients with follow-up durations below this threshold. Individuals concurrently using ARB and CCB medications, specifically those taking a combination of these drugs or switching from one class to another (e.g., from ARB to CCB, or vice versa), were excluded. Our analysis included patients who continued only one medication class, either an ARB or a CCB, to the extent possible. Patients concurrently using other representative antihypertensive drugs such as BB or diuretics in conjunction with ARB or CCB were included in our analysis.
Statistical analysis
We utilized SAS Enterprise Guide 7.15 (SAS Institute Inc.) for data analysis, stratifying patients into two groups based on their use of antihypertensive medications: ARBs and CCBs. Baseline characteristics are summarized in Table 1. Continuous variables are presented as mean values with their corresponding standard deviations. Categorical variables are presented as counts and percentages. Continuous variables were compared using Student’s t-test and categorical variables were compared using Chi-square test. Additionally, we used Cox proportional hazards modeling for analyzing hazard ratios (HRs).
Table 1
| General information | Before matching | After matching | |||||
|---|---|---|---|---|---|---|---|
| ARB group | CCB group | P | ARB group | CCB group | P | ||
| Total | 641,715 | 278,957 | 173,531 | 173,531 | |||
| Age (years) | 54.19±10.76 | 57.98±11.35 | <0.001 | 56.52±10.25 | 56.81±10.36 | <0.001 | |
| BMI (kg/m²) | 25.09±3.38 | 24.44±3.19 | <0.001 | 24.5±2.72 | 24.5±2.73 | 0.99 | |
| CCI | 2.79±1.69 | 2.84±1.79 | <0.001 | 2.45±1.51 | 2.45±1.51 | 0.81 | |
| Age group (years) | <0.001 | >0.99 | |||||
| <40 | 47,024 (7.33) | 13,483 (4.83) | 6,580 (3.79) | 6,580 (3.79) | |||
| 40–49 | 172,691 (26.91) | 49,497 (17.74) | 34,323 (19.78) | 34,323 (19.78) | |||
| 50–59 | 233,927 (36.45) | 94,674 (33.94) | 67,374 (38.83) | 67,374 (38.83) | |||
| 60–69 | 131,069 (20.42) | 75,537 (27.08) | 45,888 (26.44) | 45,888 (26.44) | |||
| ≥70 | 57,004 (8.88) | 45,766 (16.41) | 19,366 (11.16) | 19,366 (11.16) | |||
| Gender | <0.001 | >0.99 | |||||
| Male | 363,274 (56.61) | 141,271 (50.64) | 84,184 (48.51) | 84,184 (48.51) | |||
| Female | 278,441 (43.39) | 137,686 (49.36) | 89,347 (51.49) | 89,347 (51.49) | |||
| Smoking history | <0.001 | 0.94 | |||||
| Never | 358,989 (55.94) | 169,573 (60.79) | 107,662 (62.04) | 107,685 (62.06) | |||
| Current or former smoker | 282,726 (44.06) | 109,384 (39.21) | 65,869 (37.96) | 65,846 (37.94) | |||
| Alcohol consumption | <0.001 | 0.99 | |||||
| Non-drinker | 309,345 (48.21) | 150,669 (54.01) | 96,282 (55.48) | 96,277 (55.48) | |||
| Moderate | 131,472 (20.49) | 49,101 (17.60) | 27,742 (15.99) | 27,725 (15.98) | |||
| Heavy | 200,898 (31.31) | 79,187 (28.39) | 49,507 (28.53) | 49,529 (28.54) | |||
| Obesity status | <0.001 | 0.98 | |||||
| BMI <25 kg/m2 | 330,368 (51.48) | 165,196 (59.22) | 101,992 (58.77) | 101,983 (58.77) | |||
| BMI ≥25 kg/m2 | 311,347 (48.52) | 113,761 (40.78) | 71,539 (41.23) | 71,548 (41.23) | |||
| Medical history | |||||||
| COPD | 36,033 (5.62) | 20,590 (7.38) | <0.001 | 3,801 (2.19) | 3,808 (2.19) | 0.94 | |
| Asthma | 252,515 (39.35) | 112,109 (40.19) | <0.001 | 62,384 (35.95) | 62,405 (35.96) | 0.94 | |
| ILD | 1,557 (0.24) | 1,085 (0.39) | <0.001 | 8 (0.00) | 6 (0.00) | 0.59 | |
| IPF | 560 (0.09) | 413 (0.15) | <0.001 | 1 (0.00) | 1 (0.00) | >0.99 | |
| Previous TB history | 15,526 (2.42) | 8,317 (2.98) | <0.001 | 776 (0.45) | 825 (0.48) | 0.22 | |
| Bronchiectasis | 14,931 (2.33) | 8,423 (3.02) | <0.001 | 809 (0.47) | 868 (0.50) | 0.15 | |
| DM | 229,626 (35.78) | 87,469 (31.36) | <0.001 | 41,561 (23.95) | 41,572 (23.96) | 0.97 | |
| Medication history | |||||||
| Beta-blocker | 66,140 (10.31) | 28,236 (10.12) | 0.007 | 8,297 (4.78) | 8,306 (4.79) | 0.94 | |
| Aspirin | 111,515 (17.38) | 57,882 (20.75) | <0.001 | 21,411 (12.34) | 21,401 (12.33) | 0.96 | |
| Statin | 89,745 (13.99) | 15,525 (5.57) | <0.001 | 6,440 (3.71) | 6,441 (3.71) | 0.99 | |
| Metformin | 1,401 (0.22) | 11,968 (4.29) | <0.001 | 130 (0.07) | 130 (0.07) | >0.99 | |
| Duration of medical use (years) | <0.001 | <0.001 | |||||
| <1 | 171,630 (26.75) | 82,704 (29.65) | 42,507 (24.50) | 48,069 (27.70) | |||
| ≥1 and <2 | 129,034 (20.11) | 53,788 (19.28) | 33,631 (19.38) | 32,680 (18.83) | |||
| ≥2 and <3 | 90,195 (14.06) | 37,084 (13.29) | 24,422 (14.07) | 23,345 (13.45) | |||
| ≥3 | 250,856 (39.09) | 105,381 (37.78) | 72,971 (42.05) | 69,437 (40.01) | |||
Data are presented as n (%) or mean ± standard deviation. ARB, angiotensin receptor blocker; BMI, body mass index; CCB, calcium channel blocker; CCI, Charlson comorbidity index; COPD, chronic obstructive pulmonary disease; DM, diabetes mellitus; IPF, idiopathic pulmonary fibrosis; ILD, interstitial lung disease; TB, tuberculosis.
To assess the risk of lung cancer development, we employed two distinct statistical methods to adjust for various factors and reduce potential bias. Initially, we applied a 1:1 propensity score matching (PSM) technique to account for differences in baseline characteristics between the two study groups. Propensity scores were computed using a multivariate logistic regression model encompassing all baseline characteristics except for the duration of medication (Table 1). The duration of medication use was excluded due to a small sample size. During the PSM process, age was not properly matched when treated as a continuous variable, so we categorized age into groups (<40, 40–49, 50–59, 60–69, and ≥70 years) and performed PSM using these groups. And, we used greedy matching for the PSM, with a caliper setting of 0.0000005. Subsequently, we carried out HR analysis using three different models, with each adjusted for specific variables listed in Table 2. The first model was adjusted for age and sex. The second model added was adjusted for age, sex, BMI, smoking status, alcohol consumption, medical history, and CCI score. The third model was adjusted for age, sex, BMI, smoking status, alcohol consumption, medical history, CCI score, and medication use. Additionally, we performed subgroup analyses by stratifying the study population by sex, obesity, smoking history, alcohol consumption, comorbidities [chronic obstructive pulmonary disease (COPD), asthma, interstitial lung disease, tuberculosis history, bronchiectasis, diabetes mellitus (DM)], and medication use (including BB, aspirin, statins, and metformin). These subgroup analyses were exclusively performed for patients who remained in the study after PSM. In our statistical analysis, a P<0.05 was considered statistically significant.
Table 2
| Items | Number | Events | Person-years | IR (per 100,000 person-years) | HR (95% CI) | P |
|---|---|---|---|---|---|---|
| Risk of lung cancer incidence | ||||||
| Before matching (total) | ||||||
| ARB group | 641,715 | 2,419 | 2,575,168 | 93.9 | Reference | |
| CCB group | 278,957 | 1,570 | 1,162,324 | 135.1 | 1.425 (1.337–1.519) | <0.001 |
| After matching | ||||||
| ARB group | 173,531 | 655 | 721,326 | 90.8 | Reference | |
| CCB group | 173,531 | 772 | 742,756 | 103.9 | 1.134 (1.022–1.259) | 0.02 |
| All-cause mortality | ||||||
| Before matching (total) | ||||||
| ARB group | 641,715 | 10,652 | 2,579,179 | 413.0 | Reference | |
| CCB group | 278,957 | 8,011 | 1,164,823 | 687.7 | 1.646 (1.599–1.694) | <0.001 |
| After matching | ||||||
| ARB group | 173,531 | 2625 | 722,502 | 363.3 | Reference | |
| CCB group | 173,531 | 3480 | 744,093 | 467.7 | 1.271 (1.208–1.337) | <0.001 |
ARB, angiotensin receptor blocker; CCB, calcium channel blocker; CI, confidence interval; HR, hazard ratio; IR, incidence rate.
Results
Baseline characteristics
From January 1, 2010 to December 31, 2019, 3,451,701 patients in Korea were newly diagnosed with hypertension and prescribed either ARB or CCB. Based on our inclusion and exclusion criteria, ARB and CCB groups comprised 641,715 and 278,957 patients, respectively. After PSM, each group consisted of 173,531 patients (Figure 1). The CCB group was older with a higher prevalence of pulmonary diseases (such as COPD, asthma, interstitial lung disease, and bronchiectasis) and a higher CCI, while the ARB group had a higher proportion of male current/former-smokers and a greater prevalence of BBs and statins. The duration of antihypertensive drug use was longer in the ARB group than in the CCB group. After PSM, baseline characteristics showed no statistically significant differences between the two groups except for the duration of medication use and age (Table 1).
Lung cancer incidence and all-cause mortality
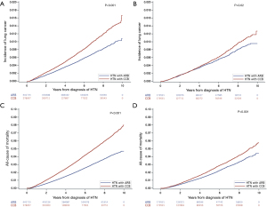
Patients in the ARB group had a more favorable prognosis than those in the CCB group (Table 2). Before PSM, the CCB group had a higher HR for lung cancer incidence than the ARB group [HR: 1.425; 95% confidence interval (CI): 1.337–1.519, P<0.001] (Figure 2A). After PSM, the CCB group still exhibited a higher HR for lung cancer incidence than the ARB group (HR: 1.134; 95% CI: 1.022–1.259, P=0.02) (Figure 2B). Similar patterns were noted for all-cause mortality. Prior to PSM, the CCB group had a higher HR for all-cause mortality than the ARB group (HR: 1.646; 95% CI: 1.599–1.694, P<0.001) (Figure 2C). After PS, the CCB group still demonstrated a higher HR for all-cause mortality than the ARB group (HR: 1.271, 95% CI: 1.208–1.337, P=0.02) (Figure 2D).
We performed a multivariate analysis incorporating factors such as age, sex, BMI, smoking status, alcohol consumption, medical history, CCI, and medication (Table 3). HRs were consistently higher in the CCB group, ranging from 1.054 to 1.066. A similar trend was observed for all-cause mortality, with HRs ranging from 1.146 to 1.211 (all P<0.001).
Table 3
| Items | Group | Crude | Model 1 | Model 2 | Model 3 | |||||||
|---|---|---|---|---|---|---|---|---|---|---|---|---|
| HR (95% CI) | P | HR (95% CI) | P | HR (95% CI) | P | HR (95% CI) | P | |||||
| Lung cancer incidence risk | ARB group | Reference | Reference | Reference | Reference | |||||||
| CCB group | 1.425 (1.337–1.519) | <0.001 | 1.066 (0.999–1.137) | 0.054 | 1.054 (0.988–1.124) | 0.11 | 1.065 (0.997–1.137) | 0.06 | ||||
| All-cause mortality | ARB group | Reference | Reference | Reference | Reference | |||||||
| CCB group | 1.646 (1.599–1.694) | <0.001 | 1.146 (1.113–1.180) | <0.001 | 1.146 (1.113–1.180) | <0.001 | 1.211 (1.175–1.248) | <0.001 | ||||
Model 1: adjusted for age and sex; Model 2: adjusted for age, sex, BMI, smoking status, alcohol consumption, medical history, and CCI; Model 3: adjusted for age, sex, BMI, smoking status, alcohol consumption, medical history, CCI, and medication. ARB, angiotensin receptor blocker; BMI, body mass index; CCB, calcium channel blocker; CCI, Charlson comorbidity index; CI, confidence interval; HR, hazard ratio.
Subgroup analysis
Subgroup analyses were conducted under various conditions (Figure 3). After PSM, subgroup analysis revealed that the CCB group exhibited a higher incidence of lung cancer than ARB group under most conditions (Table S1). Subgroup analysis regarding the duration of drug usage revealed that patients who used the medication for over 3 years showed the highest HR (HR: 1.213, 95% CI: 1.044–1.410, P=0.01). Moreover, the ARB group had better outcomes when patients had no comorbidities (COPD, asthma, or DM) or other drug use (BBs, aspirin, or statins). Nevertheless, these findings could be affected by the sample size of the subgroup, suggesting a need for cautious interpretation. Subgroup analyses of all-cause mortality indicated a higher HR and a trend towards worse outcomes in the CCB group than the ARB group (Figure 4). In most subgroups, the CCB group displayed significantly (P<0.05) higher all-cause mortality than the ARB group. Additionally, drug use for more than two years was significantly more impactful than use for less than two years (Table S2).
The primary aim of this study was to examine patients diagnosed with hypertension with no other significant medical or medication history except for CCB or ARB use. Thus, besides existing exclusion criteria, we also excluded patients taking aspirin, statin, and metformin from our analysis (8). Consequently, an additional 259,412 patients were excluded. Following PSM, each of the ARB and CCB groups comprised 146,591 patients. Prior to PSM, the CCB group demonstrated a higher HR for lung cancer incidence than the ARB group (HR: 1.580; 95% CI: 1.460–1.709, P<0.001) (Table S3). Post-PSM, the CCB group continued to display a higher HR for lung cancer incidence than the ARB group (HR: 1.224; 95% CI: 1.089–1.374, P<0.001). Before PSM, the CCB group also exhibited a higher HR for all-cause mortality than the ARB group (HR: 2.001; 95% CI: 1.928–2.076, P<0.001). After PSM, the CCB group still had a higher HR for all-cause mortality than the ARB group (HR: 1.304, 95% CI: 1.231–1.381, P<0.001).
Discussion
This study examined associations of using hypertension medications with the incidence of lung cancer and all-cause mortality. We compared ARBs and CCBs, the most commonly used antihypertensive drugs. To reduce bias in the analysis, we implemented several steps: (I) an 8-year washout period during which patients diagnosed with hypertension or cancer were excluded; (II) exclusion of patients who either concurrently used or switched between ARBs and CCBs; and (III) PSM. This approach allowed us to analyze patients newly diagnosed with hypertension who were prescribed either CCBs or ARBs. Our observations indicated that CCB use was associated with higher lung cancer incidence and all-cause mortality compared to ARB use. This trend persisted across various subgroup analyses. This study offers significant insights into risks of lung cancer associated with hypertension medications, leveraging long-term epidemiological data from a large population cohort.
Numerous epidemiological studies have explored the relationship between antihypertensive medication use and lung cancer incidence (3-5). A study comparing CCBs to other antihypertensive drugs has reported an adjusted odds ratio (OR) of 1.13, suggesting an increased risk of lung cancer with CCB use, which has escalated with prolonged use. Conversely, a population-based study analyzing 8 years of data for 3,692 patients on amlodipine (a CCB) and 5,023 patients on valsartan (an ARB) has revealed an adjusted incidence ratio of 0.92 (0.73–1.15), indicating no significant difference between the two groups (9). A nested case-control study assessing the relationship between all cancer occurrences and hypertension medications, with BB used in the control group in comparison with the use of CCBs and angiotensin-converting enzyme inhibitor (ACEi) in the case group (10). It found an adjusted relative risk of 1.27 (0.98–1.63) for using CCBs and 0.79 (0.56–1.06) for using ACEi. It also found a slight positive association between CCB use and cancer risk (10). A meta-analysis of six cohort studies and four case-control studies has indicated that CCBs can increase the risk of lung cancer with an overall risk ratio of 1.15 (95% CI: 1.01–1.32) (11).
Furthermore, several other epidemiological studies have investigated the relationship between the use of ARB/ACEi and the incidence of lung cancer (12,13). A retrospective observational study comparing ARB and ACEi directly using data from seven Korean hospitals has found no significant difference in lung cancer occurrence between the two groups (HR: 0.93, 0.64–1.35) (14). Similar to our study, one study using NHISS data (involving a 10% sampling) has suggested that ARBs might potentially reduce the risk of lung cancer compared to CCBs (14). Two separate meta-analyses investigating the link between ACEis/ARBs and lung cancer risk have found no significant association (15,16). Many epidemiological studies consistently underline the need for large-scale, decade-long investigations with substantial populations. Our study covering 18 years and including most of the South Korean population significantly enhances existing epidemiological research.
Numerous epidemiological studies have indicated that long-term use of CCBs is associated with an increased risk compared to the long-term use of other antihypertensive medications (17). In contrast, genetic and mouse model studies have suggested that the risk associated with CCBs might not be significant. A Mendelian randomization study exploring the relationship between genetic proxies for CCB target genes and 17 site-specific cancers, including lung cancer, has found no association with cancer risk (18). However, these results do not eliminate the possibility of long-term age-related risks or adverse effects. Other studies have proposed that calcium influx and signaling, independent of smoking, might contribute to lung cancer development (19,20). However, these potential mechanisms require cautious interpretation due to the lack of long-term follow-up data or clinical trials. Additionally, most studies on potential mechanisms are limited to the short-term effects of CCBs. Overall, more observational studies and clinical trials are needed to determine the impact of CCBs on lung cancer development and survival. In particular, it is important to analyze how the use of CCBs and other antihypertensive medications may affect outcomes when combined with specific drugs such as EGFR inhibitors (21,22).
Lung cancer is a significant solid tumor with increasing incidence and mortality rates globally, including South Korea (23). Hypertension is a prevalent medical condition. Antihypertensive medications are commonly prescribed to adults. These medications have relatively low side effect profiles (24). Nonetheless, assessing their long-term and potential side effects is crucial as they require lifelong administration. Gauging long-term effects is challenging through laboratory experiments or clinical trials. It can only be effectively achieved through large-scale epidemiological studies. Accordingly, results from laboratory mouse models may vary from those derived from actual epidemiological research. This study has a significant advantage by using health insurance data spanning over two decades, covering more than 98% of the national population.
Our study emphasizes both advantages and disadvantages of using large-scale national health insurance data. This long-term study covering a substantial portion of the nation’s population is valuable. South Korea requires national health insurance to guarantee majority population coverage. Moreover, it verifies the accuracy of diagnosis and medication data through diagnostic and medication codes input directly by physicians. Unlike other health datasets, the NHISS provides a range of baseline characteristics, facilitating diverse conditions and subgroup analyses.
The absence of classified cause-of-death data precluded a precise analysis of mortality directly related to lung cancer. Therefore, only all-cause mortality was analyzed. And, it was not possible to distinguish histologic subtypes of lung cancer using ICD codes alone. This study has its strength by comparing CCBs and ARBs, the most frequently used medications. However, it was limited by the absence of a control group comprising healthy individuals. While it would have been possible to evaluate the relative risk of lung cancer incidence between patients taking ARBs or CCBs and those hypertensive patients not on any antihypertensive medication, it was not feasible to obtain data on hypertensive patients not taking antihypertensive drugs. Drug history analysis relied on prescribed medication codes. There might be disparities in actual medication adherence including medication compliance. And, both ARBs and CCBs comprise various individual agents. For example, CCBs include drugs such as amlodipine and nifedipine. However, we were unable to analyze these agents separately due to concerns about excessive subgrouping and insufficient sample sizes. In addition, as information related to important factors for cancer development, such as socioeconomic status and environmental exposures, was not available from the NHISS, there are limitations in interpretation. Lastly, CCBs and ARBs include various drug compounds that we could not analyze separately.
Conclusions
This study explored associations of hypertension medications with lung cancer incidence and all-cause mortality. We examined ARBs and CCBs, two prevalent classes of antihypertensive drugs, utilizing a dataset spanning 18 years and encompassing the entire Korean population. Our findings consistently demonstrated that ARB use was associated with lower lung cancer incidence and all-cause mortality compared to CCB use, even after PSM and adjustments for various factors. Subgroup analysis further reinforced these results in patients with prolonged drug usage. While our study offers valuable insights into this complex interaction, further research is needed to investigate potential mechanisms involved in these associations and their clinical implications.
Acknowledgments
We would like to express gratitude for support by Korea University and Korea University Guro Hospital. During the preparation of this manuscript, the author(s) utilized chat GPT to enhance the language. Subsequently, the author(s) meticulously reviewed and revised the content, assuming full responsibility for the publication’s content.
Footnote
Reporting Checklist: The authors have completed the STROBE reporting checklist. Available at https://jtd.amegroups.com/article/view/10.21037/jtd-2024-2237/rc
Peer Review File: Available at https://jtd.amegroups.com/article/view/10.21037/jtd-2024-2237/prf
Funding: None.
Conflicts of Interest: All authors have completed the ICMJE uniform disclosure form (available at https://jtd.amegroups.com/article/view/10.21037/jtd-2024-2237/coif). D.K. and J.L. are employees of Hanmi Pharm. Co., Ltd. The other authors have no conflicts of interest to declare.
Ethical Statement: The authors are accountable for all aspects of the work in ensuring that questions related to the accuracy or integrity of any part of the work are appropriately investigated and resolved. The study was conducted in accordance with the Declaration of Helsinki and its subsequent amendments.
Open Access Statement: This is an Open Access article distributed in accordance with the Creative Commons Attribution-NonCommercial-NoDerivs 4.0 International License (CC BY-NC-ND 4.0), which permits the non-commercial replication and distribution of the article with the strict proviso that no changes or edits are made and the original work is properly cited (including links to both the formal publication through the relevant DOI and the license). See: https://creativecommons.org/licenses/by-nc-nd/4.0/.
References
- Hong S, Won YJ, Lee JJ, et al. Cancer Statistics in Korea: Incidence, Mortality, Survival, and Prevalence in 2018. Cancer Res Treat 2021;53:301-15. [Crossref] [PubMed]
- Kim HC, Cho SMJ, Lee H, et al. Korea hypertension fact sheet 2020: analysis of nationwide population-based data. Clin Hypertens 2021;27:8. [Crossref] [PubMed]
- Copland E, Canoy D, Nazarzadeh M, et al. Antihypertensive treatment and risk of cancer: an individual participant data meta-analysis. Lancet Oncol 2021;22:558-70. [Crossref] [PubMed]
- Li J, Lam ASM, Yau STY, et al. Antihypertensive treatments and risks of lung Cancer: a large population-based cohort study in Hong Kong. BMC Cancer 2021;21:1202. [Crossref] [PubMed]
- Sipahi I. Risk of cancer with angiotensin-receptor blockers increases with increasing cumulative exposure: Meta-regression analysis of randomized trials. PLoS One 2022;17:e0263461. [Crossref] [PubMed]
- Kim SH, Shin DW, Kim S, et al. Prescribing Patterns of Antihypertensives for Treatment-Naïve Patients in South Korea: From Korean NHISS Claim Data. Int J Hypertens 2019;2019:4735876. [Crossref] [PubMed]
- Kyoung DS, Kim HS. Understanding and Utilizing Claim Data from the Korean National Health Insurance Service (NHIS) and Health Insurance Review & Assessment (HIRA) Database for Research. J Lipid Atheroscler 2022;11:103-10. [Crossref] [PubMed]
- Kang J, Jeong SM, Shin DW, et al. The Associations of Aspirin, Statins, and Metformin With Lung Cancer Risk and Related Mortality: A Time-Dependent Analysis of Population-Based Nationally Representative Data. J Thorac Oncol 2021;16:76-88. [Crossref] [PubMed]
- Chan TH, Tsoi MF, Yung Cheung BM. Cancer Risk of Angiotensin II Receptor Blocker Valsartan: A Population-based Study. J Cardiovasc Pharmacol 2022;79:577-82. [Crossref] [PubMed]
- Jick H, Jick S, Derby LE, et al. Calcium-channel blockers and risk of cancer. Lancet 1997;349:525-8. [Crossref] [PubMed]
- Rotshild V, Azoulay L, Zarifeh M, et al. The Risk for Lung Cancer Incidence with Calcium Channel Blockers: A Systematic Review and Meta-Analysis of Observational Studies. Drug Saf 2018;41:555-64. [Crossref] [PubMed]
- Lee SH, Chun KJ, Park J, et al. Angiotensin converting enzyme inhibitors and incidence of lung cancer in a population based cohort of common data model in Korea. Sci Rep 2021;11:18576. [Crossref] [PubMed]
- Wu Z, Yao T, Wang Z, et al. Association between angiotensin-converting enzyme inhibitors and the risk of lung cancer: a systematic review and meta-analysis. Br J Cancer 2023;128:168-76. [Crossref] [PubMed]
- Moon S, Lee HY, Jang J, et al. Association Between Angiotensin II Receptor Blockers and the Risk of Lung Cancer Among Patients With Hypertension From the Korean National Health Insurance Service-National Health Screening Cohort. J Prev Med Public Health 2020;53:476-86. [Crossref] [PubMed]
- Batais M, Almigbal T, Alotaibi K, et al. Angiotensin converting enzyme inhibitors and risk of lung cancer: A systematic review and meta-analysis. Medicine (Baltimore) 2021;100:e25714. [Crossref] [PubMed]
- Yoon C, Yang HS, Jeon I, et al. Use of angiotensin-converting-enzyme inhibitors or angiotensin-receptor blockers and cancer risk: a meta-analysis of observational studies. CMAJ 2011;183:E1073-84. [Crossref] [PubMed]
- Rotshild V, Azoulay L, Feldhamer I, et al. Calcium Channel Blockers and the Risk for Lung Cancer: A Population-Based Nested Case-Control Study. Ann Pharmacother 2019;53:445-52. [Crossref] [PubMed]
- Fan B, Schooling CM, Zhao JV. Genetic proxies for calcium channel blockers and cancer: a Mendelian randomization study. J Hum Hypertens 2023;37:1028-32. [Crossref] [PubMed]
- Boo HJ, Min HY, Jang HJ, et al. The tobacco-specific carcinogen-operated calcium channel promotes lung tumorigenesis via IGF2 exocytosis in lung epithelial cells. Nat Commun 2016;7:12961. [Crossref] [PubMed]
- Yang H, Zhang Q, He J, et al. Regulation of calcium signaling in lung cancer. J Thorac Dis 2010;2:52-6.
- Huang PC, Lin CC, Dana R, et al. Epidermal Growth Factor Receptor Inhibitors for Lung Cancer and the Risk of Keratitis. JAMA Ophthalmol 2024;142:140-5. [Crossref] [PubMed]
- Ma KS, Lo JE, Chodosh J, et al. New-onset keratitis associated with epidermal growth factor receptor-based targeted therapies in Han Chinese patients with lung cancer: A multi-center cohort study. Ocul Surf 2024;33:23-30. [Crossref] [PubMed]
- Lee JG, Kim HC, Choi CM. Recent Trends of Lung Cancer in Korea. Tuberc Respir Dis (Seoul) 2021;84:89-95. [Crossref] [PubMed]
- Khalil H, Zeltser R. Antihypertensive Medications. n: StatPearls [Internet]. Treasure Island (FL): StatPearls Publishing; 2025.

