Impact of personalized accurate intensity exercise on radial artery pulse wave in patients with multi-chronic diseases: a holistic functional assessment approach
Highlight box
Key findings
• Individualized intensity exercise based on holistic functional assessment can benefit patients with chronic diseases and disclose non-obvious functional decline.
• Pulse waves can aid in the early diagnosis of chronic diseases and monitoring patients’ cardiovascular functional status.
What is known and what is new?
• Patients with decreased cardiovascular function experience corresponding variations in pulse waves.
• Individualized intensity exercise reveals hidden functional deterioration. Pulse waves can indicate the cardiovascular functional condition of chronic disease patients.
What is the implication, and what should change now?
• Pulse wave analysis is useful in monitoring the patient’s functional status.
Introduction
As China’s population ages, the number of people aged 60 years and older is steadily increasing. Noncommunicable chronic diseases, including cardiovascular and cerebrovascular diseases, malignant tumors, diabetes, and chronic respiratory diseases, are major dangers to citizens’ health. Chronic diseases account for 88% of all fatalities and 70% of the overall disease burden in China (1). Among them, the prevalence of circulatory system diseases (primarily cardiovascular and cerebrovascular diseases, such as hypertension, hyperlipidemia, heart disease and stroke) has increased significantly from 3.88% in 1998 to 25.10% in 2018, consistently ranking first and far higher than other chronic diseases (2). Most current chronic disease therapies require patients to take drugs for a long period of time, putting strains on their finances and increasing the risk of polypharmacy. Moreover, healthcare, an important component of chronic disease treatment, still lacks integration.
The new theoretical approach of holistic integrative physiology and medicine (3-5) emphasizes the integrity of the human body and maintains that many systems are inextricably linked. The body’s fundamental regulation is based on the primary systems of respiration, circulation, and metabolism, as well as the comprehensive integrated control of the digestive, urinary, nervous, exercise, and sleep. This theory supports the convergence of chronic disease prevention, rehabilitation, and excellent health management. The cardiopulmonary exercise test (CPET) was used to assess patients’ holistic functional state and support the creation of a treatment plan. This therapy focuses on nondrug treatments, with personalized intensity exercises serving as the primary intervention to improve patients’ overall health. The goal is to improve patients’ functional status while minimizing medication burden. It represents a fresh strategy for treating the increasing prevalence of chronic diseases.
According to modern physiology, a pulse wave is a wave propagating along the arterial tube caused by a periodic change in arterial pressure and volume caused by the regular pumping of blood by the heart. It offers a wealth of physiological and pathological information that can help with the diagnosis, prevention, and treatment of cardiovascular disorders (6-9). Pulse diagnosis is also one of the four main diagnostic methods in traditional Chinese medicine and is considered to reflect changes in human function (10,11). At present, global pulse wave research has focused mainly on pulse wave velocity (PWV) (12-14) and the calculation of cardiovascular parameters (15-17).
Although exercise is beneficial for most chronic diseases, relatively few studies have focused on exercise-related pulse waves. Our team has initially explored the effect of exercise on pulse wave waveforms (18,19). In this study, the pulse wave index was used to reflect the change in the overall functional state before and after personalized precision intensity exercise and to evaluate the effect of a single individualized intensity exercise. We provide an easy-to-use and understandable method for detecting human functions. We present this article in accordance with the STROBE reporting checklist (available at https://jtd.amegroups.com/article/view/10.21037/jtd-24-625/rc).
Methods
Participants
We included 30 healthy people and 30 patients with chronic illnesses. All participants had previously completed a CPET at Fuwai Hospital. Fuwai Hospital’s Ethics Committee authorized the research procedure (Approval No. 2023-2236), which was carried out in conformity with the Declaration of Helsinki and its subsequent amendments. Each subject provided informed consent.
Healthy subjects must have no previous or current history of cardiovascular or cerebrovascular illness. Patients with a clear history of one or more of the following problems meet the inclusion criteria for chronic illness patients: coronary heart disease, hypertension, diabetes, or hyperlipidemia. All the diagnostic criteria were consistent with relevant clinical guidelines (20-22). Individuals with acute phase of cardiovascular and cerebrovascular diseases, pregnancy, cognitive dysfunction, lower limb dysfunction, or other activity disorders were excluded from this study.
CPET evaluation and individualized intensity setting
Before testing, we calibrated the Quark PFT Ergo cardiopulmonary exercise testing system from the Italian company COSMED S.R.L., including gas volume; high, medium, and low flow rates; air, O2 and CO2; two-point system self-calibration; and metabolic simulator calibration (23). The subjects sat first to complete the static pulmonary function test, and data for the inspiratory capacity (IC), forced vital capacity (FVC), forced expiratory volume in 1 second (FEV1), and maximal voluntary ventilation (MVV) were collected. The symptom-limited maximum CPET was then completed using a power bike. The CPET used a continuous incremental power protocol based on the requirements of the Harbor-UCLA Medical Center in California. The test lasted until the participants noticed leg weariness, shortness of breath, chest pain, dizziness, nausea, or other symptoms. The data generated from the CPET were then analyzed in accordance with the standardized clinical trial procedures of the Harbor-UCLA Medical Center in the United States (24-26). The raw data were retrieved breath by breath and then segmented second by second, and the average data every 10 seconds were calculated and are shown. The V-slope approach was used to determine the anaerobic threshold (AT) and acquire the power at that threshold. The peak oxygen uptake (peak ), AT, peak oxygen pulse (peak ), oxygen uptake efficiency plateau (OUEP), lowest value of carbon dioxide ventilatory efficiency (lowest ), and slope of linear regression of minute ventilation over carbon dioxide elimination ( slope) were recorded.
The exercise intensity was determined using CPET results: Δ50% power = (anaerobic threshold power − rate of increase in the work rate * 0.75)/2 + (maximum load power − rate of increase in the work rate * 0.75)/2 (27).
Acquisition and processing of radial pulse wave data
The left and right heart function synchronous detection analyzer manufactured by Hangzhou Gaolian Medical Equipment Factory was used to collect pulse waves. All waveform acquisition tasks were completed by researchers who had undergone standardized training to ensure the consistency and repeatability of pulse wave acquisition. These participants were requested to lie calmly on the bed. An elastic band was used to secure the arterial sensor probe where the radial pulse is most pronounced. The elastic band tightness and probe position were modified based on the strength and location of the radial artery pulse. To start pulse wave acquisition, the subject’s name, gender, age, height, and body mass index (BMI) were entered. Following stabilization, the waveform data were continually captured for 50 seconds as pre-exercise data. The patient was then instructed to pedal at a speed of approximately 60 r/min for a total of 30 minutes, with a 2-minute warm-up and recovery period before and after exercise (both at 20 W/min). They could take breaks during exercise and then resume depending on their specific situation. The workout was performed on a medical-grade precision power exercise bicycle with an intensity of Δ50%. After the individuals finished exercising, they immediately lay flat on the bed. Pulse wave data were taken and recorded at 10, 20, and 30 minutes after exercise and with the same probe position and band tension as before.
First, the software automatically identifies each pulse wave feature point: point B is the pulse wave’s start point, point P1 is the peak point of the main wave, point PL is the dicrotic notch, point P2 is the dicrotic wave’s peak point, and point E is the pulse wave’s end point (also considered the starting point of the next pulse wave). The interfering wave is then eliminated through manual rechecking. A schematic diagram of each feature point is shown in Figure 1.
Observation indicators
The raw data corresponding to the horizontal axis (time T) and vertical axis (amplitude Y) of the pulse wave characteristic points from the instrument were exported. Further calculations were performed to obtain the following main observations: radial artery pulse wave pressure difference (ΔYP1) = YP1−YB; upstroke time (UT) = TP1−TB; upstroke time per cardiac cycle (UTCC) = UT/(TE−TB); diastolic time to systolic time ratio (DT/ST) = (TE−TPL)/(TPL−TB); reflection index (RI) = (YP2−YB)/(YP1−YB); stiffness index (SI) = height/(TP2−TP1); and rate of the dicrotic wave = percentage of pulse waves with YP2>YPL within 50 s.
Statistical analysis
Statistical analysis was performed with SPSS 26.0, and graphs were generated with Origin 2021 software. The relationships between baseline characteristics and observational indicators were examined via multiple linear regression. Normally distributed data are often reported as the means ± standard deviations (). For comparisons between and within groups, two-way repeated-measures analysis of variance (ANOVA) was performed, with Bonferroni correction used for pairwise comparisons. Enumeration data are reported as percentages and were evaluated with the chi-square test. Bonferroni adjusted Z tests were performed to compare the incidence rates of dicrotic waves within groups. A P value of less than 0.05 was considered statistically significant.
Results
Baseline characteristics
This study included 30 patients with chronic diseases and 30 healthy controls. Patients with chronic diseases were older (56.70±10.74 vs. 34.93±10.59 years) and had a greater BMI (26.52±3.48 vs. 22.17±3.01 kg/m2) than the healthy subjects (both P<0.001). There was no statistically significant difference in gender between the two groups, as shown in Table 1.
Table 1
| Characteristics | HS (N=30) | CDs (N=30) | t | P |
|---|---|---|---|---|
| Gender (M/F) | 20/10 | 23/7 | 0.739 | 0.39 |
| Age (years) | 34.93±10.59 | 56.70±10.74 | −7.907 | <0.001 |
| BMI (kg/m2) | 22.17±3.01 | 26.52±3.48 | −5.171 | <0.001 |
| Hypertension | 0 | 21 (70.00) | ||
| Diabetes | 0 | 13 (39.39) | ||
| Dyslipidemia | 0 | 21 (70.00) | ||
| CHD | 0 | 15 (50.00) |
Data are presented as n (%) or mean ± SD. BMI, body mass index; CDs, patients with chronic diseases; CHD, coronary heart disease; HS, healthy subjects; M, male; F, female; SD, standard deviation.
Pulmonary function test
The IC (2.74±0.72 vs. 3.10±0.58 L; P=0.04), FVC (3.64±0.89 vs. 4.58±0.72 L; P<0.001), FEV1 (2.71±0.69 vs. 3.53±0.57 L; P<0.001), and MVV (106.3±34.41 vs. 146.39±34.99 L/min; P<0.001) of the patients were significantly lower than those of healthy subjects. Please refer to Table 2.
Table 2
| Parameters | Unit | HS | CDs | t | P |
|---|---|---|---|---|---|
| IC | L | 3.10±0.58 | 2.74±0.72 | 2.153 | 0.04 |
| FVC | L | 4.58±0.72 | 3.64±0.89 | 4.466 | <0.001 |
| FEV1 | L | 3.53±0.57 | 2.71±0.69 | 4.987 | <0.001 |
| MVV | L/min | 146.39±34.99 | 106.3±34.41 | 4.475 | <0.001 |
Data are presented as mean ± SD. CDs, patients with chronic diseases; HS, healthy subjects; IC, inspiratory capacity; FVC, forced vital capacity; FEV1, forced expiratory volume in 1 second; MVV, maximal voluntary ventilation; SD, standard deviation.
Assessment of the functional status of the CPET
Compared with healthy participants, patients with chronic diseases had lower measured-to-estimated values for peak (69.04%±15.64% Pred vs. 84.75%±14.15% Pred; P<0.001), AT (74.42%±15.85% vs. 79.10%±17.22% Pred; P=0.28), peak (88.14%±17.79% Pred vs. 95.01%±16.40% Pred; P=0.13), and OUEP (100.66%±14.09% Pred vs. 105.80%±10.78% Pred; P=0.12). Compared with healthy participants, patients had significantly greater measured-to-estimated values for the lowest (114.55%±18.24% Pred vs. 100.99%±11.24% Pred; P=0.001) and slopes (116.14%±23.18% Pred vs. 98.84%±14.12% Pred; P=0.001). The details are shown in Table 3.
Table 3
| Parameters | Unit | HS | CDs | t | P |
|---|---|---|---|---|---|
| Peak | L/min | 2.14±0.65 | 1.43±0.46 | 4.899 | <0.001 |
| mL/min/kg | 32.10±6.92 | 19.19±4.52 | 8.556 | <0.001 | |
| %Pred | 84.75±14.15 | 69.04±15.64 | 4.079 | <0.001 | |
| AT | L/min | 1.08±0.32 | 0.88±0.24 | 2.748 | 0.008 |
| mL/min/kg | 16.23±3.57 | 11.86±2.65 | 5.382 | <0.001 | |
| %Pred | 79.10±17.22 | 74.42±15.85 | 1.094 | 0.28 | |
| Peak | mL/beat | 12.82±3.54 | 10.97±3.06 | 2.161 | 0.04 |
| %Pred | 95.01±16.40 | 88.14±17.79 | 1.555 | 0.13 | |
| OUEP | rate | 43.51±4.73 | 37.50±5.16 | 4.697 | <0.001 |
| %Pred | 105.80±10.78 | 100.66±14.09 | 1.586 | 0.12 | |
| Lowest | rate | 25.70±3.39 | 31.57±4.90 | −5.394 | <0.001 |
| %Pred | 100.99±11.24 | 114.55±18.24 | −3.466 | 0.001 | |
| slope | rate | 26.45±4.17 | 32.03±5.43 | −4.468 | <0.001 |
| %Pred | 98.84±14.12 | 116.14±23.18 | −3.493 | 0.001 |
Data are presented as mean ± SD. Lowest , lowest value of carbon dioxide ventilatory efficiency; slope, slope of linear regression of minute ventilation over carbon dioxide elimination, but ignoring its intercept; %Pred, percentage estimated value = measured value/predicted value × 100%. AT, anaerobic threshold; CPET, cardiopulmonary exercise test; CDs, patients with chronic diseases; HS, healthy subjects; Peak , peak oxygen uptake; Peak , peak oxygen pulse; OUEP, oxygen uptake efficiency plateau; SD, standard deviation.
Multivariate linear analysis of factors influencing pulse wave parameters
Because of the significant difference in age between the two groups, the trends in the changes in pulse wave indicators may be inconsistent. Age and BMI, which differed significantly between the groups, were regarded as relevant factors for comparing the two groups’ resting pulse wave parameters. The results indicate that with increasing age, UT (P=0.01) and UTCC (P=0.002) in chronic patients and ΔYP1 (P=0.048) and the RI (P=0.002) in healthy subjects are considerably reduced. The chronic disease patients’ DT/ST (P=0.03) increased significantly with age, as shown in Table 4.
Table 4
| Group | Parameters | Factors | B | SE | t | P |
|---|---|---|---|---|---|---|
| HS | ΔYP1 | Age | −1.135 | 0.547 | −2.075 | 0.048 |
| RI | Age | −0.002 | 0.001 | −3.415 | 0.002 | |
| CDs | UT | Age | −1.114 | 0.419 | −2.657 | 0.01 |
| UTCC | Age | −0.002 | 0.000 | −3.512 | 0.002 | |
| DT/ST | Age | 0.012 | 0.005 | 2.367 | 0.03 |
Only pulse wave indicators with a linear relationship are listed in the table. CDs, patients with chronic diseases; DT/ST, diastolic time to systolic time ratio; HS, healthy subjects; ΔYP1, radial artery pulse pressure difference; RI, reflection index; UT, upstroke time; UTCC, upstroke time per cardiac cycle.
Differences in pulse wave indicators before and after exercise
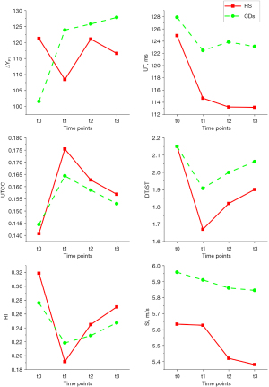
Age was included as a covariate for the related indicators in the two-way repeated-measures ANOVA. The two-way repeated-measures ANOVA findings, after eliminating the influence of age differences, are shown below. ΔYP1 significantly differed between the two groups (P=0.03), as did its trend over time (P=0.02). The UT differed substantially between the two groups (P=0.03). DT/ST differed considerably at different times (P=0.001). There were substantial variations in the RI across time (P<0.001). The SI varied significantly across time (P=0.005) and between groups (P=0.009). The results of the simple effect analysis are shown in Table 5.
Table 5
| Parameters | Group | Time points | Time | Group | Time and Group | |||||||||
|---|---|---|---|---|---|---|---|---|---|---|---|---|---|---|
| Before exercise | 10 min after exercise | 20 min after exercise | 30 min after exercise | F | P | F | P | F | P | |||||
| ΔYP1 | HS | 121.28±32.19 | 108.41±28.97 | 121.10±33.24 | 116.61±37.81 | 0.673 | 0.53 | 5.256 | 0.03 | 3.839 | 0.02 | |||
| CDs | 101.60±33.61 | 123.91±36.81*a | 125.79±31.19*a | 127.84±32.69 | ||||||||||
| UT (ms) | HS | 124.91±43.68 | 114.67±11.29 | 113.23±10.67 | 113.18±12.03 | 0.964 | 0.34 | 5.177 | 0.03 | 0.037 | 0.88 | |||
| CDs | 127.89±24.69 | 122.49±14.87* | 123.87±15.27* | 123.12±16.02* | ||||||||||
| UTCC | HS | 0.14±0.05 | 0.18±0.03 | 0.16±0.02 | 0.16±0.03 | 2.219 | 0.13 | 0.273 | 0.60 | 0.783 | 0.42 | |||
| CDs | 0.14±0.03 | 0.16±0.03 | 0.16±0.02 | 0.15±0.02 | ||||||||||
| DT/ST | HS | 2.15±0.30 | 1.67±0.24a | 1.82±0.27ab | 1.90±0.29ab | 8.756 | 0.001 | 1.199 | 0.28 | 1.614 | 0.21 | |||
| CDs | 2.15±0.28 | 1.91±0.28a | 2.00±0.26ab | 2.06±0.23bc | ||||||||||
| RI | HS | 0.32±0.04 | 0.19±0.10a | 0.24±0.10b | 0.27±0.09b | 11.616 | <0.001 | 0.321 | 0.57 | 0.469 | 0.60 | |||
| CDs | 0.28±0.09 | 0.22±0.07a | 0.23±0.08a | 0.25±0.08bc | ||||||||||
| SI (m/s) | HS | 5.63±0.47 | 5.63±0.60 | 5.42±0.50 | 5.38±0.45ab | 5.192 | 0.005 | 7.394 | 0.009 | 1.187 | 0.31 | |||
| CDs | 5.96±0.65* | 5.91±0.66 | 5.86±0.68* | 5.85±0.74* | ||||||||||
Data are presented as mean ± SD. Compared with the HS, *, P<0.05. Intra-group comparisons, compare with before exercise, a, P<0.05; compare with 10 minutes after exercise, b, P<0.05; compare with 20 minutes after exercise, c, P<0.05. Pairwise comparisons were corrected by Bonferroni. ANOVA, analysis of variance; HS, healthy subjects; CDs, patients with chronic diseases; DT/ST, diastolic time to systolic time ratio; ΔYP1, radial artery pulse pressure difference; UT, upstroke time; UTCC, upstroke time per cardiac cycle; RI, reflection index; SI, stiffness index; SD, standard deviation.
Patients with chronic disease had significantly greater levels of ΔYP1 at 10 and 20 minutes after exercise than did healthy participants and before exercise (all P<0.05). Patients with chronic disease had substantially greater UT at 10, 20, and 30 minutes postexercise than before exercise (all P<0.05). These patients had significantly lower DT/ST scores at 10 and 20 minutes after exercise than before exercise (P<0.05). Patients with chronic disease also had significantly lower RI after 10 and 20 minutes of exercise compared to before exercise (all P<0.05). Patients with chronic disease had a significantly higher SI than healthy participants before exercise and 20 and 30 minutes after exercise (all P<0.05), as shown in Figure 2.
The chi-square test results revealed that healthy people had a considerably greater rate of dicrotic waves than did patients with chronic disease before and after exercise (P<0.001). In the intragroup comparison, there were variations in the rate of dicrotic wave before and after exercise between the two groups (all P<0.05). Both groups showed a constant increasing trend, as shown in Table 6.
Table 6
| Variables | HS (%) | CDs (%) | χ2 | P |
|---|---|---|---|---|
| Before exercise | 81.20 | 35.42 | 666.783 | <0.001 |
| 10 min after exercise | 87.34a | 61.53a | 354.109 | <0.001 |
| 20 min after exercise | 96.97ab | 68.92ab | 569.504 | <0.001 |
| 30 min after exercise | 97.32ab | 72.35ab | 465.808 | <0.001 |
| χ2 | 414.501 | 562.169 | ||
| P | <0.001 | <0.001 |
Intra-group comparisons, compare with before exercise, a, P<0.05; compare with 10 min after exercise, b, P<0.05. CDs, patients with chronic diseases; HS, healthy subjects.
Individualized analysis of SI
The SI of patients was usually considerably greater than that of healthy participants before and after exercise, and individual analysis was performed to further investigate the changing trends of different individuals. At 10 minutes after exercise, 53.33% of healthy participants’ SI decreased compared with that before exercise, whereas 46.67% of healthy participants increased. After a single personalized intensity exercise, 50.00% of patients with chronic disease had a lower SI than before the exercise, whereas 50.00% had a greater SI, as shown in Figure 3.
Discussion
The intergroup disparities in some pre-exercise pulse wave indicators revealed functional differences between healthy subjects and patients, indicating that pulse waves may be beneficial in detecting changes in cardiovascular function at rest. The difference between groups only after exercise suggests that personalized intensity exercise can reveal minor functional declines that are not observed at rest. The changes in pulse wave indicators between the two groups after exercise were similar, indicating that personalized intensity exercise can benefit both patients and healthy people.
In 2020, cardiovascular disease was the leading cause of death in China, accounting for 48% in rural areas and 45.86% in urban areas. As the population ages, the impact of cardiovascular risk factors on health becomes increasingly obvious, resulting in a steady increase in the prevalence of cardiovascular disease (28). This is also compatible with the diagnoses of the patients enrolled in this study. In addition to cardiovascular disorders such as coronary heart disease, some people have hypertension, hyperlipidemia, or diabetes. These disorders are also associated with increased cardiovascular risk. The cardiovascular system changes shape and function as we age, resulting in a reduction in cardiac reserve. This is one of the reasons that patients are much older than the healthy subjects. As a result, more emphasis should be placed on cardiovascular function in elderly individuals. Research has revealed that when a patient’s cardiovascular function is reduced, the pulse wave changes accordingly (8,29-32). As a result, pulse wave detection is an effective noninvasive tool for monitoring changes in cardiovascular function.
The general function assessment revealed the following results: the static pulmonary function test showed that the patients with chronic diseases had IC, FVC, FEV1, and MVV that were significantly lower than those of healthy subjects, indicating that patients with chronic diseases had decreased lung function at rest. Patients with a lower peak have worse cardiopulmonary motor performance in patients with chronic illness, but they are still minimally limited overall. The measured values of AT, peak , and OUEP were significantly lower than those of healthy subjects, indicating that patients had poorer exercise ability, oxygen absorption, and oxygen transport capacity. Although the percentage of measured values to anticipated values was lower in healthy people, there was no significant difference between the groups, implying that the functional variations between the two groups were mostly related to differences in age and gender. AT was somewhat limited in both groups, which may be due to the fact that most healthy people did not exercise regularly, while the sick participants had stable illness status. The measured values and proportion of measured values to predicted values of the lowest and slopes were significantly lower than those in healthy participants, indicating that patients were less ventilatory. Patients with chronic disorders were found to have poor resting lung and motor abilities, as evidenced by the holistic functional evaluation (33,34). CPET is the gold standard for the integrative assessment of the cardiocirculatory, pulmonary and metabolic response to exercise. It remains underutilized for various reasons, such as costs, reimbursement and expertise (35,36). Pulse wave analysis may be an important supplement to or simplification of CPET.
The results of multivariate linear analysis revealed that age was the most important factor influencing the pulse wave indicator. This is due to degenerative changes in the organizational structure and physiological function of the cardiovascular system that develop with age (37). In healthy subjects, age had the greatest influence on the amplitude-related pulse wave parameter. This is because the healthy participants were young and had steady heart rates. The varied metabolic levels at different ages resulted in different circulating blood volumes, which are represented by pulse amplitude fluctuations. Age is the most important factor influencing the time-related pulse wave index in patients. This could be related to the patients’ relatively low arterial elasticity, resulting in no substantial change in pulse wave amplitude. However, aging of the cardiac signal transduction system can result in variations in the systolic and diastolic phases of the heart, reflected as changes in the time-related characteristics of pulse waves.
ΔYP1 can partly indicate pulse pressure at the radial artery. According to a previous study (38), people with high pulse pressure are more prone to developing coronary heart disease, hypertension, or peripheral vascular disease. Elevated pulse pressure is a reliable measure of arterial stiffness and an independent risk factor for cardiovascular events (39). However, our findings differ from these studies. The pre-exercise pulse pressure differences in healthy people were greater than in patients with chronic disease, most likely due to the collection of pulse waves from the radial arteries in this investigation. Younger participants had better arterial compliance than older patients did, and peripheral arterial enlargement was more noticeable. As a result, the pulse pressure difference measured in the radial artery in young people can be significantly greater than that in the central artery, whereas the pulse pressure difference measured in the radial artery in older people is frequently close to or even lower than the pulse pressure difference in the central artery. After exercise, patients’ ΔYP1 levels increased, possibly due to increased cardiac output and systolic blood pressure. In healthy people, Δ YP1 fell after exercise and gradually increased but did not surpass pre-exercise levels. This finding shows that the patients with chronic disease had poor cardiovascular function, considerably elevated pulse pressure, and required a lengthy period to recover from exercise.
According to a previous study (40), when the upstream artery is badly stenosed, pressure wave propagation is hindered, the downstream pulse wave is low, blunt, or flat, and the UT increases significantly. The UTCC uses the time per pulse to adjust for differences in UT induced by heart rate variability (41). The UT and UTCC of the two groups were similar before exercise, which might be attributable to the patients’ stable state in this study and the fact that their vascular stenosis was not severe. The trend of the change in UTCC after exercise was similar in both groups. The UTCC trend was similar across the two groups after exercise, with that of healthy participants being somewhat greater than that of patients with chronic disease, but there were no significant differences between the two groups or inter-group comparisons. However, the UT of patients after exercise was substantially greater than that of healthy people. Changes in UT and UTCC indicate that patients’ pulse rates after exercise are consistently lower than those of healthy people.
Studies have demonstrated that the DT/ST is a primary predictor of myocardial perfusion (42) and can be used to predict cardiac reserve (43). The DT/ST of the two groups was similar before exercise and considerably lower after exercise, which is consistent with the findings of Yan et al. (44). Following exercise, the DT/ST of the two groups steadily increased. Studies have revealed that the RI mostly represents the elastic function of peripheral small and mediumsized arteries, whereas the SI reveals the stiffness of large arteries (45,46). There was no significant variation in the RI between the two groups before and after exercise, implying that the variations in vascular elasticity may be slight. The RIs of both groups were significantly lower after exercise than before exercise, with an increasing trend. However, the change in the healthy individuals was greater, presumably because the sick individuals had poorer cardiovascular function than the healthy individuals. The patients’ SI was substantially higher than that of the healthy subjects prior to exercise and 20 and 30 minutes after activity. The trend of change in the SI between the two groups after exercise revealed a decrease, with the patients showing a smaller amount of variation. This disparity was linked to the patients’ decreased cardiovascular function.
An individual SI study revealed that, first, all healthy participants and half of the patients with chronic disease had approximately the same SI before exercise, but the other half of the patients had considerably higher SI, which could indicate that patients with higher SI had poorer functional status. Second, the ratio of increase to decrease in both healthy participants and patients was nearly 1:1, and the trend of increase or decrease was extremely comparable between the two groups, implying that personalized intensity exercise can provide advantages similar to those of patients and healthy individuals. However, there is no apparent explanation for the various trends.
Previous waveform studies undertaken by our team have shown that patients with chronic diseases exhibit different waveform variations than healthy people do, both before and after exercise, with a focus on changes in the dicrotic wave (18,19). The results of this study also revealed that the dicrotic wave rate in healthy participants remained greater than that in patients and that the dicrotic wave rate in both groups increased following activity.
Limitations
This study also has several drawbacks. First, the sample size in this study was small, and the age difference between the two groups of individuals was significant; therefore, the study results may be biased. To further validate the experimental results of this study, the sample size should be increased to include older healthy participants. Furthermore, the mechanism underlying changes in the pulse wave index following exercise, as well as the pathophysiological meaning of these alterations, needs to be investigated further.
Conclusions
In conclusion, personalized intensity exercise based on holistic functional assessment aids patients while also revealing nonobvious functional loss. Pulse wave analysis is useful for the early detection of chronic disorders and tracking changes in patients’ cardiovascular function status.
Acknowledgments
None.
Footnote
Provenance and Peer Review: This article was commissioned by the editorial office, Journal of Thoracic Disease, for the series “Holistic Integrative Physiology Medicine and Health: from theory to clinical practice”. The article has undergone external peer review.
Reporting Checklist: The authors have completed the STROBE reporting checklist. Available at https://jtd.amegroups.com/article/view/10.21037/jtd-24-625/rc
Data Sharing Statement: Available at https://jtd.amegroups.com/article/view/10.21037/jtd-24-625/dss
Peer Review File: Available at https://jtd.amegroups.com/article/view/10.21037/jtd-24-625/prf
Funding: This work was supported by
Conflicts of Interest: All authors have completed the ICMJE uniform disclosure form (available at https://jtd.amegroups.com/article/view/10.21037/jtd-24-625/coif). The series “Holistic Integrative Physiology Medicine and Health: from theory to clinical practice” was commissioned by the editorial office without any funding or sponsorship. X.G.S. served as an unpaid Guest Editor of the series. The authors have no other conflicts of interest to declare.
Ethical Statement: The authors are accountable for all aspects of the work in ensuring that questions related to the accuracy or integrity of any part of the work are appropriately investigated and resolved. The Ethics Committee of Fuwai Hospital, Chinese Academy of Medical Sciences approved the research protocol (Approval No. 2023-2236), which was carried out in accordance with the Declaration of Helsinki and its subsequent amendments. Informed consent was duly obtained from all participants.
Open Access Statement: This is an Open Access article distributed in accordance with the Creative Commons Attribution-NonCommercial-NoDerivs 4.0 International License (CC BY-NC-ND 4.0), which permits the non-commercial replication and distribution of the article with the strict proviso that no changes or edits are made and the original work is properly cited (including links to both the formal publication through the relevant DOI and the license). See: https://creativecommons.org/licenses/by-nc-nd/4.0/.
References
- China launched a “tough battle” against four types of major chronic diseases-Xinhuanet [Internet]. [cited 2024 Dec 1]. Available online: http://www.xinhuanet.com/politics/2019-07/15/c_1124756358.htm
- Zheng W, Han X, Lu Y. The overall status and group differences of chronic diseases in the Chinese population. Social Science Journal 2022;(3):139-149+209.
- Sun X. New theory of holistic integrative physiology and medicine. I: New insight of mechanism of control and regulation of breathing. Zhongguo Ying Yong Sheng Li Xue Za Zhi 2015;31:295-301+387.
- Sun X. New theory of holistic integrative physiology and medicine. II: New insight of the control and regulation of circulation. Zhongguo Ying Yong Sheng Li Xue Za Zhi 2015;31:302-7. [PubMed]
- Sun X. New theory of holistic integrative physiology and medicine. III: New insight of neurohumoral mechanism and pattern of control and regulation for core axe of respiration, circulation and metabolism. Zhongguo Ying Yong Sheng Li Xue Za Zhi 2015;31:308-15. [PubMed]
- Mynard JP, Kondiboyina A, Kowalski R, et al. Measurement, Analysis and Interpretation of Pressure/Flow Waves in Blood Vessels. Front Physiol 2020;11:1085. [Crossref] [PubMed]
- Hametner B, Wassertheurer S. Pulse Waveform Analysis: Is It Ready for Prime Time? Curr Hypertens Rep 2017;19:73. [Crossref] [PubMed]
- Wilkinson IB, Mäki-Petäjä KM, Mitchell GF. Uses of Arterial Stiffness in Clinical Practice. Arterioscler Thromb Vasc Biol 2020;40:1063-7. [Crossref] [PubMed]
- Guo C, Jiang Z, He H, et al. Wrist pulse signal acquisition and analysis for disease diagnosis: A review. Comput Biol Med 2022;143:105312. [Crossref] [PubMed]
- Zhang J, Liao J, Wang T, et al. Effects of joy and sorrow on pulse-graph parameters in healthy female college students based on emotion-evoked experiments. Explore (NY) 2021;17:303-11. [Crossref] [PubMed]
- Wu HK, Ko YS, Lin YS, et al. The correlation between pulse diagnosis and constitution identification in traditional Chinese medicine. Complement Ther Med 2017;30:107-12. [Crossref] [PubMed]
- Sequí-Domínguez I, Cavero-Redondo I, Álvarez-Bueno C, et al. Accuracy of Pulse Wave Velocity Predicting Cardiovascular and All-Cause Mortality. A Systematic Review and Meta-Analysis. J Clin Med 2020;9:2080. [Crossref] [PubMed]
- Milan A, Zocaro G, Leone D, et al. Current assessment of pulse wave velocity: comprehensive review of validation studies. J Hypertens 2019;37:1547-57. [Crossref] [PubMed]
- Möstl S, Hoffmann F, Hönemann JN, et al. Utility of estimated pulse wave velocity for assessing vascular stiffness: comparison of methods. Elife 2022;11:e73428. [Crossref] [PubMed]
- Zhu H, Gao Y, Cheng H, et al. Comparison of arterial stiffness indices measured by pulse wave velocity and pulse wave analysis. Blood Press 2019;28:206-13. [Crossref] [PubMed]
- Saugel B, Kouz K, Scheeren TWL, et al. Cardiac output estimation using pulse wave analysis-physiology, algorithms, and technologies: a narrative review. Br J Anaesth 2021;126:67-76. [Crossref] [PubMed]
- Parittotokkaporn S, de Castro D, Lowe A, et al. Carotid Pulse Wave Analysis: Future Direction of Hemodynamic and Cardiovascular Risk Assessment. JMA J 2021;4:119-28. [Crossref] [PubMed]
- Li H, Sun XG, Zhang Y, et al. Preliminary Analysis of Changes of Pulse Waveform before and after Individualized Constant Power Exercise. Chinese General Practice 2018;21:3665-71.
- Hao L, Sun XG, Song Y, et al. Effect of individualized exercise on pulse wave dicrotic wave waveform in patients with chronic diseases. Chinese Journal of Hypertension 2020;28:544-51.
- 2016 Chinese guidelines for the management of dyslipidemia in adults. J Geriatr Cardiol 2018;15:1-29. [PubMed]
- Joint Committee for Guideline Revision. 2018 Chinese Guidelines for Prevention and Treatment of Hypertension-A report of the Revision Committee of Chinese Guidelines for Prevention and Treatment of Hypertension. J Geriatr Cardiol 2019;16:182-241. [PubMed]
- Chinese Diabetes Society, National Office for Primary Diabetes Care. National guidelines for the prevention and control of diabetes in primary care (2022). Zhonghua Nei Ke Za Zhi 2022;61:249-62. [PubMed]
- Sun XG, Hu D. Laboratory and equipment requirements for cardiopulmonary exercise testing and quality control of the difficulties in its clinical implementation. Chinese Journal of Cardiology 2014;42:817-21.
- Dafoe W. Principles of Exercise Testing and Interpretation. Can J Cardiol 2007;23:274.
- Sun XG, Hansen JE, Beshai JF, et al. Oscillatory breathing and exercise gas exchange abnormalities prognosticate early mortality and morbidity in heart failure. J Am Coll Cardiol 2010;55:1814-23. [Crossref] [PubMed]
- Sun XG, Hansen JE, Stringer WW. Oxygen uptake efficiency plateau: physiology and reference values. Eur J Appl Physiol 2012;112:919-28. [Crossref] [PubMed]
- Liu YL, Sun XG, Gao H, et al. Preliminary report of using cardiopulmonary exercise testing guide exercise rehabilitation in patients with chronic heart failure. Zhongguo Ying Yong Sheng Li Xue Za Zhi 2015;31:374-7. [PubMed]
- Wang Z, Ma L, Liu M, et al. Summary of the 2022 Report on Cardiovascular Health and Diseases in China. Chin Med J (Engl) 2023;136:2899-908. [Crossref] [PubMed]
- Zhang CK, Liu L, Wu WJ, et al. Identifying Coronary Artery Lesions by Feature Analysis of Radial Pulse Wave: A Case-Control Study. Biomed Res Int 2021;2021:5047501. [Crossref] [PubMed]
- Omboni S, Posokhov IN, Kotovskaya YV, et al. Twenty-Four-Hour Ambulatory Pulse Wave Analysis in Hypertension Management: Current Evidence and Perspectives. Curr Hypertens Rep 2016;18:72. [Crossref] [PubMed]
- Thomsen KK, Kouz K, Saugel B. Pulse wave analysis: basic concepts and clinical application in intensive care medicine. Curr Opin Crit Care 2023;29:215-22. [Crossref] [PubMed]
- Charlton PH, Paliakaitė B, Pilt K, et al. Assessing hemodynamics from the photoplethysmogram to gain insights into vascular age: a review from VascAgeNet. Am J Physiol Heart Circ Physiol 2022;322:H493-522. [Crossref] [PubMed]
- Dores H, Mendes M, Abreu A, et al. Cardiopulmonary exercise testing in clinical practice: Principles, applications, and basic interpretation. Rev Port Cardiol 2024;43:525-36. [Crossref] [PubMed]
- Glaab T, Schmidt O, Fritsch J. Guidance to the Interpretation of Cardiopulmonary Exercise Testing. Pneumologie 2020;74:88-102. [PubMed]
- Neder JA, Phillips DB, Marillier M, et al. Clinical Interpretation of Cardiopulmonary Exercise Testing: Current Pitfalls and Limitations. Front Physiol 2021;12:552000. [Crossref] [PubMed]
- Andonian BJ, Hardy N, Bendelac A, et al. Making Cardiopulmonary Exercise Testing Interpretable for Clinicians. Curr Sports Med Rep 2021;20:545-52. [Crossref] [PubMed]
- Ungvari Z, Tarantini S, Donato AJ, et al. Mechanisms of Vascular Aging. Circ Res 2018;123:849-67. [Crossref] [PubMed]
- Tang KS, Medeiros ED, Shah AD. Wide pulse pressure: A clinical review. J Clin Hypertens (Greenwich) 2020;22:1960-7. [Crossref] [PubMed]
- Safar ME, Plante GE, Mimran A. Arterial stiffness, pulse pressure, and the kidney. Am J Hypertens 2015;28:561-9. [Crossref] [PubMed]
- Kiuchi S, Hisatake S, Watanabe I, et al. Pulse Pressure and Upstroke Time Are Useful Parameters for the Diagnosis of Peripheral Artery Disease in Patients With Normal Ankle Brachial Index. Cardiol Res 2016;7:161-6. [Crossref] [PubMed]
- Sheng CS, Li Y, Huang QF, et al. Pulse Waves in the Lower Extremities as a Diagnostic Tool of Peripheral Arterial Disease and Predictor of Mortality in Elderly Chinese. Hypertension 2016;67:527-34. [Crossref] [PubMed]
- Chemla D, Nitenberg A, Teboul JL, et al. Subendocardial viability index is related to the diastolic/systolic time ratio and left ventricular filling pressure, not to aortic pressure: an invasive study in resting humans. Clin Exp Pharmacol Physiol 2009;36:413-8. [Crossref] [PubMed]
- Guo XM, Yang Y, Xiao SZ, et al. Research on a new method and index for evaluating cardiac function of the athletes. Chinese Journal of Applied Physiology 2010;26:380-3. [PubMed]
- Yan X, Luo L, Yang Y, et al. The ratio of diastolic to systolic time was used to assess adolescent cardiac function. Chinese Journal of Applied Physiology. 2016;32:475-476+481.
- Alaei-Shahmiri F, Zhao Y, Sherriff J. Assessment of vascular function in individuals with hyperglycemia: a cross-sectional study of glucose - induced changes in digital volume pulse. J Diabetes Metab Disord 2015;14:23. [Crossref] [PubMed]
- Md Lazin Md Lazim MR, Aminuddin A, Chellappan K, et al. Is Heart Rate a Confounding Factor for Photoplethysmography Markers? A Systematic Review. Int J Environ Res Public Health 2020;17:2591. [Crossref] [PubMed]

