Enhancement of anti-programmed cell death protein-1 immunotherapy in non-small cell lung cancer using arginine and citrulline supplementation
Highlight box
Key findings
• Arginine and citrulline supplementation with anti-programmed death 1 (PD-1) therapy suppresses lung cancer growth in mice and improves progression-free survival.
What is known and what is new?
• Arginine reportedly enhances the anticancer effects of anti-PD-1 antibodies.
• We observed that the combination therapy of anti-PD-1 plus arginine and citrulline significantly improved progression-free survival.
What is the implication, and what should change now?
• Arginine and citrulline combination therapy enhances CD8+ lymphocyte infiltration and the efficacy of anti-PD-1 drugs.
• Further studies are required to explore the mechanisms by which arginine and citrulline combination therapy induces CD8+ lymphocytes.
Introduction
Lung cancer is the most prevalent cancer globally, which accounted for approximately 2.5 million new cases and 1.8 million deaths in 2022 (1). Over the past decade, the treatment landscape for non-small cell lung cancer (NSCLC) has been revolutionized by the advent of molecular-targeted therapeutics and immune checkpoint inhibitors (ICIs) (2,3). In cases lacking targetable molecular alterations, the assessment of programmed death ligand 1 (PD-L1) expression is crucial for directing treatment strategies for both squamous and non-squamous lung cancers (4). Although ICIs have substantially improved the outcomes in previously untreatable cancer cases, their effectiveness as monotherapies is limited, with response rates ranging from 14% to 20% (5). Therefore, identifying the immunological mechanisms that confer resistance to these inhibitors is essential for enhancing therapeutic efficacy and overcoming tumor resistance.
Arginine consumption by arginases is a mechanism through which tumors evade the host immune response (6). Arginine enhances immune responses. The effects of arginine deprivation on human T lymphocytes were first reported in 1968, and a causal relationship between arginine deficiency and impaired in vitro activation of lymphocytes was demonstrated (7). Arginine is crucial for long-term survival, immune memory generation, and the tumor-killing efficiency of T cells. Consequently, its deficiency reduces T-cell activity and increases tumor size (8). Arginine levels in the tumor microenvironment are lower than those in the plasma, which indicates a role of arginine supplementation in enhancing the tumor immunity (9). Conversely, augmenting arginine levels in the tumor microenvironment activates T cells and enhances the efficacy of ICIs (10). Both arginase inhibitors and arginine can inhibit tumor growth, underscoring the potential of arginine metabolism as a viable therapeutic target (11,12).
Arginine plays a vital role in the synthesis of nitric oxide (NO), polyamines, and proteins. However, after oral intake, arginine is metabolized and converted to various forms (13) through two primary metabolic pathways: conversion by nitric oxide synthase (NOS) to NO and citrulline, and hydrolysis by arginase to ornithine and urea. Within the NOS pathway, the enzyme argininosuccinate synthetase, coupled with constitutively expressed argininosuccinate lyase, facilitates the recycling of citrulline for de novo arginine synthesis (14). Considering these roles of arginine, citrulline may serve as a promising alternative to enhance arginine availability. Citrulline is a precursor of arginine and indirectly enhances NO biosynthesis. NO is an endogenous, water-soluble free radical with diverse biological functions, particularly in endothelial vasodilation. Citrulline supplementation is reportedly more effective than arginine alone in boosting arginine availability and NO synthesis (13,15).
We hypothesized that supplementing anti-PD-1 antibodies and arginine with citrulline can augment their antitumor effects. Accordingly, we investigated the role of citrulline in the tumor microenvironment of lung cancer and assessed whether citrulline supplementation contributes to the antitumor immune response. We present this article in accordance with the ARRIVE reporting checklist (available at https://jtd.amegroups.com/article/view/10.21037/jtd-2024-2109/rc) (16).
Methods
Mice
All experiments were performed on wild-type (WT) C57BL/6 mice (10–12 weeks old, male) obtained from the Animal House of the Medical Research Center (CLEA Japan, Inc., Tokyo, Japan) and maintained in our laboratory for animal experiments (Tokushima University, Tokushima, Japan) under controlled environmental conditions (22 ℃ and 55% humidity under a fixed 12/12 h light/dark regime). Experiments were performed under a project license (No. T202422) granted by the Animal Research Committee of the University of Tokushima, in compliance with the guidelines established by the Tokushima University Committee on Animal Care and Use. A protocol was prepared before the study without registration.
Cell lines
The murine lung adenocarcinoma cell line, CMT167, was sourced from the American Type Culture Collection. Cells were cultured in Dulbecco’s modified Eagle’s medium (DMEM) with 10% fetal bovine serum (Bio-West, Bradenton, FL, USA) at 37 ℃ in a 5% CO2 atmosphere. Cultures were not maintained beyond 12 weeks post-thaw.
Reagents
Anti-PD-1 (clone: RMP1-14, Cat# BE0146) and rat IgG2a isotype controls (clone: 2A3, Cat# BE0089) were purchased from BioXCell (Lebanon, NH, USA). L-Arginine (Cat# 015-04615) and L-citrulline (Cat# 036-21402) were acquired from FUJIFILM Wako Chemicals (Osaka, Japan).
Tumor models and treatment
To establish tumor models, CMT167 cells (1×104 cells) were resuspended in 20 µL of Cultrex (Cat# 3433-005-01; R & D Systems, Minneapolis, MN, USA) and injected subcutaneously into the left lateral thigh of mice under inhaled isoflurane anesthesia. The following day (day 1), the mice were randomized into four groups: (I) control; (II) anti-PD-1; (III) anti-PD-1 plus arginine; and (IV) anti-PD-1 plus arginine and citrulline. Anti-PD-1 or isotype control antibodies were administered intraperitoneally at 200 µg/body (17) on days 1, 4, 6, 8, 11, 13, 13, 15, 18, 20, 22, 25, and 27 (Figure 1). The control group mice were intraperitoneally administered IgG2a isotype controls. L-Arginine and L-citrulline were diluted in phosphate-buffered saline (PBS) and administered orally at 2 g/kg body weight daily (10). Tumor dimensions were measured with a caliper, and volumes were calculated using the following formula: (short diameter)2 × (long diameter)/2. Procedures were performed to minimize suffering to the mice. We defined the period until tumor growth could be detected as progression-free survival and conducted the experiment accordingly. Four weeks post-implantation, the mice were anesthetized and euthanized humanely via vertebral dislocation. Based on preliminary experiments, we set the effect size at 900 mm3 and variability at 600 mm3. We set the number of tests to 6, significance level (α) to 0.0083, and power (1−β) to 0.8. Using this formula, the required minimum sample size was determined to be 11 mice per group. We conducted experiments with 12 mice in each group, with a total of 48 mice.
Histology and immunostaining
At the end of the experiment, tumors were harvested, and 3 µm-thick sections were prepared from formalin-fixed, paraffin-embedded (FFPE) tissue blocks. All sections were stained with hematoxylin and eosin (H&E) and examined under a microscope. For immunostaining, primary antibodies against CD4 (Cat# 25229), CD8α (Cat# 98941), and F4/80 (Cat# 70076) from Cell-Signaling Technologies (Danvers, MA, USA) were used. Tumor-infiltrating lymphocytes (TILs) were identified as lymphocytes within tumor nests. For group comparisons, three random fields (40× magnification) per tumor were independently quantified by two blinded observers (N.M. and H.T.), with the mean values used for analysis. In brief, for antigen retrieval, the sections were boiled in citrate buffer (pH 6.0) for 10 min, after which, the primary antibody was applied at 4 ℃ overnight. IHC staining was done using an ImmPRESS HRP Horse Anti Rabbit IgG Polymer Detection Kit (Vector Laboratory, Newark, CA, USA). The sections were incubated at room temperature for 10 min in PBS containing 3,3-diaminobenzidine tetrahydrochloride (DAB) (Vector Laboratory, Burlingame, CA, USA) and were counterstained with hematoxylin.
Flow cytometry analysis
Tumors were dissected into small pieces and digested using Dri Tumor & Tissue Dissociation Reagent (Cat# 661563, BD Biosciences, Franklin Lakes, NJ, USA) diluted in DMEM for 20 min at 37 ℃. The tissues were then washed with PBS and filtered through a 70 µm cell strainer. Two antibody panels were used for flow cytometry: Panel 1 included CD11b-PB (Cat# 101223), MHCII-BV510 (Cat# 107636), F4/80-PE (Cat# 123110), Ly6c-PECy7 (Cat# 128018), CD45-FITC (Cat# 157214), CD163-APC (Cat# 155305), and ZombieNIR-APCCy7 (Cat# 423106), all from BioLegend (San Diego, CA, USA); Panel 2 included CD4-PECy7 (Cat# 100422), TCRβ-APC (Cat# 109212), CD45-FITC (Cat# 157214), FOXP3-PE (Cat# 320008), and ZombieAqua-BV510 (Cat# 423101), also from BioLegend. The cells were stained using the Zombie Fixable Viability Kit according to the manufacturer’s instructions, followed by antibody staining at room temperature for 30 min. For intracellular staining, surface antigen-stained cells were fixed overnight in a refrigerator using a fixation buffer, washed with permeabilization buffer, and stained with antibodies in permeabilization buffer for 60 min (Cat# 00-5523-00; eBioscience). Data were analyzed using the CytExpert software (Beckman Coulter, Brea, CA, USA). Flow cytometry analysis was restricted to mice with tumors weighing ≥0.3 g.
Detection of cytokine expression
Blood samples were collected at the end of the experiment, and serum was separated through centrifugation at 3,000 rpm for 15 min and stored at −80 ℃ until use. The levels of serum cytokines, including interleukin-1 beta (IL-1β), IL-2, IL-6, IL-10, IL-12p70, tumor necrosis factor-alpha (TNF-α), and interferon-gamma (IFN-γ), were quantified using a Luminex® Assay Mouse Premixed Multi-Analyte Kit (Cat# F-RD-LuminexMM-07; R&D Systems, Minneapolis, MN, USA).
F-Fluorodeoxyglucose-positron emission tomography/computed tomography (FDG-PET/CT)-based analysis of the maximum standardized uptake value (SUVmax)
On day 22 post-CMT167 tumor cell transplantation, 1–2 mice were randomly selected from each group for FDG-PET/CT scans. The mice were injected with 10 MBq/0.1–0.2 mL FDG via tail-vein catheter and were anesthetized with 1.5–2.0% isoflurane inhalation. PET data were acquired for 20 min after a 40 min uptake period. SUVmax and SUVmean were measured, with SUVmax calculated from the maximum voxel value (Bq/mL) in the volume of interest (VOI) on fused PET images. Scans were performed using a Siemens Inveon small-animal CT scanner (Siemens Healthcare, Erlangen, Germany).
Statistical analysis
Data are presented as mean ± standard deviation (SD). For comparisons of three or more groups, one-way analysis of variance (ANOVA) followed by Bonferroni’s post hoc test was used. The Kruskal-Wallis test was applied for flow cytometry analysis. Kaplan-Meier plots and the log-rank test were used to compute and analyze the progression-free survival rates. Statistical significance was defined as P<0.05. All analyses were conducted using EZR version 1.55 (18).
Results
Combination therapy with anti-PD-1, arginine, and citrulline significantly improved tumor growth suppression and survival
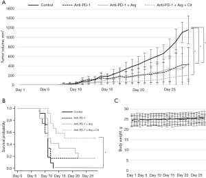
We determined tumor volumes in mice subjected to different treatment regimens. The mice in the treatment groups exhibited significantly lower tumor volume than those in the control group (Figure 2A). On day 28, the tumor volume in the control group was 1,161.59±294.73 mm3, whereas that in the anti-PD-1, anti-PD-1 plus arginine, and anti-PD-1 plus arginine and citrulline groups was 427.38±355.36, 452.10±332.04, and 198.45±236.22 mm3, respectively. Despite the reduction in the volume, the differences among the treatment groups were not significant.
We also compared progression-free survival across the groups (Figure 2B). Median progression-free survival was 11.0, 11.0, 11.5, and 17.0 days for the control, anti-PD-1, anti-PD-1 plus arginine, and anti-PD-1 plus arginine and citrulline groups, respectively (P<0.001). Throughout the experimental period, the maximum body weight loss remained below 10% (Figure 2C). Thus, our findings suggest that the combination of arginine and citrulline with anti-PD-1 therapy effectively suppressed tumor growth and significantly improved progression-free survival.
Citrulline combination therapy markedly reduced the tumor metabolic activity
The axial PET/CT images from day 22 post-implantation are presented in Figure 3A-3D. FDG uptake patterns corresponded to tumor presence and activity. The control group mice exhibited the largest tumors with the highest FDG uptake (Figure 3A), whereas the citrulline combination group mice showed minimal FDG uptake (Figure 3D). The SUVmax at the tumor site was 5.23 in the control group, 2.54 in the anti-PD-1 group, 4.23 in the anti-PD-1 plus arginine group, and 1.30 in the citrulline combination group. The mean SUVs were 2.34, 1.31, 1.70, and 0.86, respectively, for these groups.
Enhanced infiltration of CD8+ lymphocytes with arginine and citrulline combination therapy
The FFPE sections from tumor-bearing mice were stained for CD8, CD4, and F4/80 markers (Figure 4A). Quantification of TILs revealed a higher number of CD8+ lymphocytes per high-power field (hpf) in the anti-PD-1 plus arginine and citrulline group than in the control group (control, 24.22±9.13 cells/hpf; anti-PD-1, 29.20±9.41 cells/hpf; anti-PD-1 plus arginine, 34.33±8.81 cells/hpf; anti-PD-1 plus arginine and citrulline, 46.56±10.01 cells/hpf; Figure 4B). CD4+ lymphocyte counts did not differ significantly across the groups (control, 3.00±1.94 cells/hpf; anti-PD-1, 2.33±1.63 cells/hpf; anti-PD-1 plus arginine, 4.00±3.05 cells/hpf; anti-PD-1 plus arginine and citrulline, 4.44±2.60 cells/hpf; Figure 4C).
Tumor immune cell populations showed no significant differences
Flow cytometry was used to analyze immune cell populations within tumors across treatment groups (Figure 5). Owing to the limited number of mice developing sufficiently large tumor lesions, only tumors from three mice in the anti-PD-1 group, three in the anti-PD-1 plus arginine group, and one in the anti-PD-1 plus arginine and citrulline group were analyzed. No significant differences were observed in the numbers of CD8+ T cells (CD45+ CD4−; Figure 5A), CD4+ T cells (CD45+ CD4+; Figure 5B), regulatory T cells (CD45+ CD4+ FOXP+; Figure 5C), M1 macrophages (F4/80+ CD11b+ Ly6c− CD163− MHCII+; Figure 5D), and M2 macrophages (F4/80+ CD11b+ Ly6c− CD163+ MHCII-; Figure 5E) among the groups.
Serum cytokine levels remained unchanged across treatment groups
Multiplex analysis was performed to measure the serum levels of immune-specific markers, namely, IL-1β, IL-2, IL-6, IL-10, IL-12p70, TNF-α, and IFN-γ. The expression levels of these cytokines did not show significant differences among the treatment groups (Figure 5F-5I).
Discussion
Anti-PD-1 immunotherapy inhibits tumor growth in mice with CMT167 lung cancer (17). Furthermore, arginine enhances the anticancer effects of anti-PD-1 antibodies (10,19). Conversely, citrulline exhibits toxicity against human cervical adenocarcinoma cells in vitro (20); however, its in vivo effects on cancer remain largely unexplored. In the present study, we found that tumor growth was inhibited in the treatment groups, with enhanced effects observed upon the addition of arginine and citrulline. To the best of our knowledge, this is the first report to propose citrulline as a supplemental agent in lung cancer immunotherapy.
We observed that combination therapy with anti-PD-1 plus arginine and citrulline significantly improved progression-free survival and reduced tumor growth compared with that in the control group. Moreover, this combination therapy resulted in a significantly higher number of tumor-infiltrating CD8+ lymphocytes in the tumor microenvironment. The state of the immune system in patients with cancer depends on the interaction between the tumor microenvironment and antitumor immune response.
This study had certain limitations. First, several mice in the treatment groups developed small lesions and were unsuitable for flow cytometry analysis. We could not efficiently evaluate the effect of the therapies on small lesion samples. For mice with lesions weighing less than 0.3 g at the time of sacrifice, we performed only immunohistochemistry (IHC), which could account for discrepancies between immunostaining and flow cytometry results. Additionally, tumor evaluation was not feasible for tumor-free mice in the treatment groups. In such cases, evaluation of immune cells in other lymphoid organs could serve as a substitute for their evaluation in the tumors, regardless of the effect of the tumor microenvironment, and might be useful for assessing tumor-free mice. Furthermore, long-term observation is necessary to determine whether recurrence occurs in these tumor-free mice. Second, the mechanism by which the combination therapy of anti-PD-1 plus arginine and citrulline induces more CD8+ lymphocytes remains unclear. The enhanced induction of CD8+ lymphocytes is presumed to be primarily due to the promotion of NO synthesis following the supplementation of arginine and citrulline. Evaluation of NO levels within the tumor microenvironment and bloodstream in each group remains an objective that needs to be achieved in a future investigation. Additionally, although a greater infiltration of CD8+ lymphocytes into the tumor was observed in the treatment group, it is possible that this was preceded by enhanced lymphocyte production in organs, such as the spleen and bone marrow. Further analysis of these organs may provide valuable insights. Finally, this study did not include an anti-PD-1 plus citrulline group. Ideally, additional groups, such as an anti-PD-1 plus citrulline group, or groups with varying doses of arginine and citrulline should have been included. However, increasing the number of mice required for these analyses could have compromised the accuracy of our findings and, therefore, these groups were not included in the present study. In future studies, these groups should be compared with the anti-PD-1 plus arginine group or the anti-PD-1 plus arginine and citrulline combination group for more clarity on the effects of arginine and citrulline.
TILs, particularly CD8+ T cells, play crucial roles in antitumor immunity (21). Zeng et al. reported that high levels of CD8+ TILs are associated with better prognosis and survival in patients with NSCLC (22). The metabolic balance within the tumor microenvironment regulates tumor immunity and contributes to resistance to immunotherapy. Lower levels of tumor-infiltrating T cells have been associated with poor prognosis and diminished response to ICIs (23,24). In the present study, arginine supplementation increased the number of CD8+ lymphocytes more effectively than did the anti-PD-1 treatment alone. Arginine deprivation impairs T-cell function by downregulating the expression of the CD3 subunit of the T-cell receptor complex (25-27). Orally administered arginine is subject to first-pass metabolism in the gastrointestinal tract and liver, which reduces its bioavailability. Marini et al. reported that the first-pass metabolism in wild-type mice was 75%, leading to plasma arginine level lower than that in arginase 2-deficient mice (28). Owing to these limitations, citrulline has been proposed as an alternative to increase arginine availability. The findings of the present study suggest that anti-PD-1 combined with arginine and citrulline suppresses tumor growth and increases the CD8+ lymphocyte count in the tumor microenvironment. Citrulline bypasses the first-pass metabolism, entering systemic circulation where it is converted to arginine in the kidney by argininosuccinate synthetase and lyase (29,30). In a pharmacokinetic study, Moinard et al. showed that oral citrulline supplementation led to a dose-dependent increase in the plasma level of arginine as well as that of citrulline and ornithine (31). Schwedhelm et al. indicated that supplemental citrulline is more effective than arginine itself at increasing systemic arginine availability when administered at equivalent doses (32). Ouaknine Krief et al. reported that patients with lung cancer with high plasma citrulline level showed longer progression-free survival and overall survival than those with low plasma citrulline level (33).
Citrulline is a precursor of arginine, and it indirectly enhances NO biosynthesis. NO is an endogenous, water-soluble free radical with diverse biological functions, particularly in endothelial vasodilation. In recent decades, research has increasingly focused on the role of NO in inhibiting tumor growth. High concentration of NO has been demonstrated to have therapeutic potential against cancer across human and murine models (20,34,35). Sullivan et al. reported that elevated NO level achieved by delivering NO donors induces apoptosis in tumor cells (36). Furthermore, NO sensitizes drug-resistant tumor cells to certain chemotherapeutic agents (37,38). These findings suggest that highly active NO donors could be effective in cancer treatment when used in combination with other therapeutic modalities. For characterizing the tumor microenvironment, it might be useful to measure the levels of NO and other metabolites using tumor suspensions.
Despite the induction of CD8+ lymphocytes, we observed no significant differences in the abundance of other immune cell populations, including CD4+ lymphocytes, regulatory T cells, and macrophages. Tumor-associated macrophages, which express arginases and catabolize arginine, contribute to tumor progression and pro-tumoral remodeling. Sangaletti et al. reported that tumor-associated macrophages in mammary carcinoma express SPARC and facilitate cancer cell migration (39). Curiel et al. indicated that these macrophages secrete CCL22 chemokines, promoting tumor growth (40). Further research is required to verify whether coadministration of arginine and citrulline can enhance the therapeutic efficacy of anti-PD-1 antibodies. Although high doses of oral arginine can induce adverse gastrointestinal events attributed to the first-pass effect (41,42), citrulline administration has no apparent adverse effects and may be more suitable for clinical use (13). Given their use in cardiovascular disease treatments (43-45), arginine and citrulline could be safely tested in clinical trials.
Conclusions
We demonstrate that arginine and citrulline supplementation with anti-PD-1 therapy suppresses lung cancer growth in mice and improves progression-free survival. This combination therapy enhances CD8+ lymphocyte infiltration and the efficacy of anti-PD-1 drugs. Further studies are required to explore the mechanisms by which arginine and citrulline combination therapy induces CD8+ lymphocytes.
Acknowledgments
None.
Footnote
Reporting Checklist: The authors have completed the ARRIVE reporting checklist. Available at https://jtd.amegroups.com/article/view/10.21037/jtd-2024-2109/rc
Data Sharing Statement: Available at https://jtd.amegroups.com/article/view/10.21037/jtd-2024-2109/dss
Peer Review File: Available at https://jtd.amegroups.com/article/view/10.21037/jtd-2024-2109/prf
Funding: None.
Conflicts of Interest: All authors have completed the ICMJE uniform disclosure form (available at https://jtd.amegroups.com/article/view/10.21037/jtd-2024-2109/coif). The authors have no conflicts of interest to declare.
Ethical Statement: The authors are accountable for all aspects of the work in ensuring that questions related to the accuracy or integrity of any part of the work are appropriately investigated and resolved. Experiments were performed under a project license (No. T202422) granted by the Animal Research Committee of the University of Tokushima, in compliance with the guidelines established by the Tokushima University Committee on Animal Care and Use.
Open Access Statement: This is an Open Access article distributed in accordance with the Creative Commons Attribution-NonCommercial-NoDerivs 4.0 International License (CC BY-NC-ND 4.0), which permits the non-commercial replication and distribution of the article with the strict proviso that no changes or edits are made and the original work is properly cited (including links to both the formal publication through the relevant DOI and the license). See: https://creativecommons.org/licenses/by-nc-nd/4.0/.
References
- Bray F, Laversanne M, Sung H, et al. Global cancer statistics 2022: GLOBOCAN estimates of incidence and mortality worldwide for 36 cancers in 185 countries. CA Cancer J Clin 2024;74:229-63. [Crossref] [PubMed]
- Herbst RS, Morgensztern D, Boshoff C. The biology and management of non-small cell lung cancer. Nature 2018;553:446-54. [Crossref] [PubMed]
- Yang J, Chen J, Wei J, et al. Immune checkpoint blockade as a potential therapeutic target in non-small cell lung cancer. Expert Opin Biol Ther 2016;16:1209-23. [Crossref] [PubMed]
- Alexander M, Kim SY, Cheng H. Update 2020: Management of Non-Small Cell Lung Cancer. Lung 2020;198:897-907. [Crossref] [PubMed]
- Xia L, Liu Y, Wang Y. PD-1/PD-L1 Blockade Therapy in Advanced Non-Small-Cell Lung Cancer: Current Status and Future Directions. Oncologist 2019;24:S31-41. [Crossref] [PubMed]
- Munder M. Arginase: an emerging key player in the mammalian immune system. Br J Pharmacol 2009;158:638-51. [Crossref] [PubMed]
- Barile MF, Leventhal BG. Possible mechanism for Mycoplasma inhibition of lymphocyte transformation induced by phytohaemagglutinin. Nature 1968;219:750-2. [Crossref] [PubMed]
- Martí I, Líndez AA, Reith W. Arginine-dependent immune responses. Cell Mol Life Sci 2021;78:5303-24. [Crossref] [PubMed]
- Sullivan MR, Danai LV, Lewis CA, et al. Quantification of microenvironmental metabolites in murine cancers reveals determinants of tumor nutrient availability. Elife 2019;8:e44235. [Crossref] [PubMed]
- He X, Lin H, Yuan L, et al. Combination therapy with L-arginine and α-PD-L1 antibody boosts immune response against osteosarcoma in immunocompetent mice. Cancer Biol Ther 2017;18:94-100. [Crossref] [PubMed]
- Miret JJ, Kirschmeier P, Koyama S, et al. Suppression of Myeloid Cell Arginase Activity leads to Therapeutic Response in a NSCLC Mouse Model by Activating Anti-Tumor Immunity. J Immunother Cancer 2019;7:32. [Crossref] [PubMed]
- Sosnowska A, Chlebowska-Tuz J, Matryba P, et al. Inhibition of arginase modulates T-cell response in the tumor microenvironment of lung carcinoma. Oncoimmunology 2021;10:1956143. [Crossref] [PubMed]
- Agarwal U, Didelija IC, Yuan Y, et al. Supplemental Citrulline Is More Efficient Than Arginine in Increasing Systemic Arginine Availability in Mice. J Nutr 2017;147:596-602. [Crossref] [PubMed]
- Rath M, Müller I, Kropf P, et al. Metabolism via Arginase or Nitric Oxide Synthase: Two Competing Arginine Pathways in Macrophages. Front Immunol 2014;5:532. [Crossref] [PubMed]
- El-Hattab AW, Hsu JW, Emrick LT, et al. Restoration of impaired nitric oxide production in MELAS syndrome with citrulline and arginine supplementation. Mol Genet Metab 2012;105:607-14. [Crossref] [PubMed]
- Percie du Sert N, Hurst V, Ahluwalia A, et al. The ARRIVE guidelines 2.0: Updated guidelines for reporting animal research. PLoS Biol 2020;18:e3000410. [Crossref] [PubMed]
- Li HY, McSharry M, Bullock B, et al. The Tumor Microenvironment Regulates Sensitivity of Murine Lung Tumors to PD-1/PD-L1 Antibody Blockade. Cancer Immunol Res 2017;5:767-77. [Crossref] [PubMed]
- Kanda Y. Investigation of the freely available easy-to-use software 'EZR' for medical statistics. Bone Marrow Transplant 2013;48:452-8. [Crossref] [PubMed]
- Satoh Y, Kotani H, Iida Y, et al. Supplementation of l-arginine boosts the therapeutic efficacy of anticancer chemoimmunotherapy. Cancer Sci 2020;111:2248-58. [Crossref] [PubMed]
- Huerta S. Nitric oxide for cancer therapy. Future Sci OA 2015;1:FSO44. [Crossref] [PubMed]
- Ahmadzadeh M, Johnson LA, Heemskerk B, et al. Tumor antigen-specific CD8 T cells infiltrating the tumor express high levels of PD-1 and are functionally impaired. Blood 2009;114:1537-44. [Crossref] [PubMed]
- Zeng DQ, Yu YF, Ou QY, et al. Prognostic and predictive value of tumor-infiltrating lymphocytes for clinical therapeutic research in patients with non-small cell lung cancer. Oncotarget 2016;7:13765-81. [Crossref] [PubMed]
- Gooden MJ, de Bock GH, Leffers N, et al. The prognostic influence of tumour-infiltrating lymphocytes in cancer: a systematic review with meta-analysis. Br J Cancer 2011;105:93-103. [Crossref] [PubMed]
- Geng Y, Shao Y, He W, et al. Prognostic Role of Tumor-Infiltrating Lymphocytes in Lung Cancer: a Meta-Analysis. Cell Physiol Biochem 2015;37:1560-71. [Crossref] [PubMed]
- Rodriguez PC, Zea AH, Culotta KS, et al. Regulation of T cell receptor CD3zeta chain expression by L-arginine. J Biol Chem 2002;277:21123-9. [Crossref] [PubMed]
- Minami Y, Weissman AM, Samelson LE, et al. Building a multichain receptor: synthesis, degradation, and assembly of the T-cell antigen receptor. Proc Natl Acad Sci U S A 1987;84:2688-92. [Crossref] [PubMed]
- Weissman AM, Ross P, Luong ET, et al. Tyrosine phosphorylation of the human T cell antigen receptor zeta-chain: activation via CD3 but not CD2. J Immunol 1988;141:3532-6.
- Marini JC, Keller B, Didelija IC, et al. Enteral arginase II provides ornithine for citrulline synthesis. Am J Physiol Endocrinol Metab 2011;300:E188-94. [Crossref] [PubMed]
- Wu G, Morris SM Jr. Arginine metabolism: nitric oxide and beyond. Biochem J 1998;336:1-17. [Crossref] [PubMed]
- Levillain O. Expression and function of arginine-producing and consuming-enzymes in the kidney. Amino Acids 2012;42:1237-52. [Crossref] [PubMed]
- Moinard C, Nicolis I, Neveux N, et al. Dose-ranging effects of citrulline administration on plasma amino acids and hormonal patterns in healthy subjects: the Citrudose pharmacokinetic study. Br J Nutr 2008;99:855-62. [Crossref] [PubMed]
- Schwedhelm E, Maas R, Freese R, et al. Pharmacokinetic and pharmacodynamic properties of oral L-citrulline and L-arginine: impact on nitric oxide metabolism. Br J Clin Pharmacol 2008;65:51-9. [Crossref] [PubMed]
- Ouaknine Krief J, Helly de Tauriers P, Dumenil C, et al. Role of antibiotic use, plasma citrulline and blood microbiome in advanced non-small cell lung cancer patients treated with nivolumab. J Immunother Cancer 2019;7:176. [Crossref] [PubMed]
- Wink DA, Cook JA, Christodoulou D, et al. Nitric oxide and some nitric oxide donor compounds enhance the cytotoxicity of cisplatin. Nitric Oxide 1997;1:88-94. [Crossref] [PubMed]
- Li CY, Anuraga G, Chang CP, et al. Repurposing nitric oxide donating drugs in cancer therapy through immune modulation. J Exp Clin Cancer Res 2023;42:22. [Crossref] [PubMed]
- Sullivan R, Graham CH. Chemosensitization of cancer by nitric oxide. Curr Pharm Des 2008;14:1113-23. [Crossref] [PubMed]
- Liu J, Li C, Qu W, et al. Nitric oxide prodrugs and metallochemotherapeutics: JS-K and CB-3-100 enhance arsenic and cisplatin cytolethality by increasing cellular accumulation. Mol Cancer Ther 2004;3:709-14.
- Bonavida B. Sensitizing activities of nitric oxide donors for cancer resistance to anticancer therapeutic drugs. Biochem Pharmacol 2020;176:113913. [Crossref] [PubMed]
- Sangaletti S, Di Carlo E, Gariboldi S, et al. Macrophage-derived SPARC bridges tumor cell-extracellular matrix interactions toward metastasis. Cancer Res 2008;68:9050-9. [Crossref] [PubMed]
- Curiel TJ, Coukos G, Zou L, et al. Specific recruitment of regulatory T cells in ovarian carcinoma fosters immune privilege and predicts reduced survival. Nat Med 2004;10:942-9. [Crossref] [PubMed]
- Grimble GK. Adverse gastrointestinal effects of arginine and related amino acids. J Nutr 2007;137:1693S-701S. [Crossref] [PubMed]
- Heyland DK, Dhaliwal R, Drover JW, et al. Canadian clinical practice guidelines for nutrition support in mechanically ventilated, critically ill adult patients. JPEN J Parenter Enteral Nutr 2003;27:355-73. [Crossref] [PubMed]
- Figueroa A, Alvarez-Alvarado S, Jaime SJ, et al. l-Citrulline supplementation attenuates blood pressure, wave reflection and arterial stiffness responses to metaboreflex and cold stress in overweight men. Br J Nutr 2016;116:279-85. [Crossref] [PubMed]
- Pahlavani N, Entezari MH, Nasiri M, et al. The effect of l-arginine supplementation on body composition and performance in male athletes: a double-blinded randomized clinical trial. Eur J Clin Nutr 2017;71:544-8. [Crossref] [PubMed]
- Suzuki I, Sakuraba K, Horiike T, et al. A combination of oral L-citrulline and L-arginine improved 10-min full-power cycling test performance in male collegiate soccer players: a randomized crossover trial. Eur J Appl Physiol 2019;119:1075-84. [Crossref] [PubMed]

