Development and validation of a pneumonia severity prediction model using AI analysis of abdominal and paravertebral intramuscular fat on chest CT in COVID-19 patients
Highlight box
Key findings
• The artificial intelligence (AI)-measured proportion of paravertebral intramuscular fat (PIMF) showed potential in differentiating between varying severity levels of pneumonia.
What is known, and what is new?
• Obesity and sarcopenia worsen pneumonia outcomes but require specialized imaging [e.g., dual-energy X-ray absorptiometry (DXA), limb computed tomography (CT)/magnetic resonance imaging (MRI)] for assessment—tools not routine in pneumonia care; chest CT [standard for coronavirus disease 2019 (COVID-19) pneumonia] can capture abdominal fat/paravertebral muscles (PMs), yet this data is not used to predict severity.
• This study uses AI to analyze routine chest CT scans of COVID-19 patients, linking AI-measured proportion of PIMF to pneumonia severity—no extra imaging needed.
What is the implication, and what should change now?
• AI technology enables rapid and accurate quantitative evaluation of abdominal PM data on chest CT scans. This data could serve as an indicator for predicting and assessing pneumonia severity.
Introduction
Pneumonia is the third leading cause of death globally, characterized by high incidence rates, frequent hospitalizations, and significant mortality (1,2). Accurate assessment of pneumonia severity is essential for guiding timely intervention and resource allocation (3,4). However, current severity assessment tools often rely on clinical signs or laboratory parameters, which may not fully capture the underlying physiological risk, especially in patients with complex comorbidities. In emergency or resource-limited settings, comprehensive functional or metabolic assessments are often impractical, underscoring the need for indirect but reliable indicators of pneumonia severity. Obesity and sarcopenia are well-established risk factors for poor pneumonia outcomes, as supported by numerous studies (5-9). Yet, their assessment commonly requires additional tools or targeted imaging—such as dual-energy X-ray absorptiometry (DXA) or limb computed tomography (CT)/magnetic resonance imaging (MRI)—which are not routinely performed in pneumonia management.
Body mass index (BMI) is a commonly used measure of obesity. However, recent studies suggest that BMI alone does not provide a comprehensive assessment, as it often fails to account for abdominal obesity (10). Increasing evidence links abdominal visceral fat and ectopic fat to various metabolic diseases, including insulin resistance, type 2 diabetes, cardiovascular disease, respiratory conditions, neurological disorders, cancer, and bone density loss—conditions that BMI does not fully capture. Findings from the International Atherosclerosis Society and the Cardiometabolic Risk Visceral Obesity Metabolic Group indicate that abdominal visceral fat, measured by CT or MRI, is an independent risk factor for cardiovascular disease, metabolic disorders, and mortality. Specifically, analysis from the Framingham Heart Study shows that increased abdominal fat and reduced fat density, as measured by CT, are associated with higher cardiovascular risk and provide stronger predictive value than BMI or waist circumference (11). Thus, abdominal visceral fat, independent of BMI, serves as a critical risk factor and a more accurate marker for evaluating obesity.
Similarly, sarcopenia—defined by the loss of muscle mass, strength, or performance with age (8,12,13), is associated with impaired respiratory function, reduced immune competence, and delayed recovery from infection. Imaging-based muscle assessments are valuable but are typically not available during routine pneumonia evaluation.
Chest CT is a standard diagnostic tool for pneumonia and is frequently obtained during initial evaluation. Notably, it offers the opportunity to extract additional information beyond pulmonary findings. The mediastinal window of chest CT can capture parts of abdominal fat and paravertebral muscles (PMs), allowing indirect evaluation of body composition without requiring separate scans (14). During the Coronavirus disease 2019 (COVID-19) pandemic, chest CT was routinely used, enabling retrospective analysis of body composition parameters such as abdominal visceral fat area and PM attenuation. Although limited [e.g., use of a single slice at the second lumbar vertebra (L2) does not fulfill full sarcopenia diagnostic criteria like the European Working Group on Sarcopenia in Older People 2 (EWGSOP2) or the Asian Working Group for Sarcopenia (AWGS)], such measurements can serve as practical surrogate markers in pneumonia patients.
This study leverages artificial intelligence (AI)-based analysis of routine chest CT scans from COVID-19 pneumonia patients to quantify pneumonia severity and assess abdominal fat and PM quality. The aim is to determine whether these CT-derived parameters can serve as accessible, indirect predictors of disease severity, offering clinically valuable insight without the need for additional imaging. We present this article in accordance with the TRIPOD reporting checklist (available at https://jtd.amegroups.com/article/view/10.21037/jtd-2025-353/rc).
Methods
Study design and participants
The study was conducted in accordance with the Declaration of Helsinki and its subsequent amendments. The study was approved by the Ethics Committee of The Second Affiliated Hospital of Zhejiang University School of Medicine (No. IRB-2023-0133) and individual consent for this retrospective analysis was waived. The retrospective, single-center observational study included consecutive adult patients diagnosed with COVID-19 between December 1, 2022 and February 28, 2023.
Sample size estimation was based on preliminary data analysis to ensure adequate statistical power for detecting associations between CT-based body composition parameters and pneumonia severity. With an expected moderate effect size (Cohen’s d =0.4), a minimum sample of approximately 260 patients was estimated to achieve 80% power at a significance level of 0.05. We included 314 eligible patients (199 males, 115 females; mean age: 68 years; range: 37–99 years), providing sufficient power for subgroup and regression analyses. Inclusion criteria: (I) age ≥18 years; (II) diagnosis of COVID-19 confirmed by a positive result for severe acute respiratory syndrome coronavirus 2 (SARS-CoV-2) RNA via real-time reverse transcriptase polymerase chain reaction (RT-PCR) from nasal and pharyngeal swab specimens; (III) at least one complete chest CT examination conducted before and after the diagnosis of COVID-19. Exclusion criteria: (I) absence of the second lumbar vertebra on chest CT images; (II) serious underlying diseases [e.g., cancer, heart failure, renal failure, chronic obstructive pulmonary disease (COPD), uncontrolled diabetes]; (III) severe mental illness.
CT image acquisition
CT images were acquired using one of five CT systems: uCT 530/550 (United Imaging, Shanghai, China), Optima 660 (GE, Boston, USA), Somatom Definition AS+ (Siemens Healthineers, Forchheim, Germany), Aquilion 64 (Toshiba Medical Systems, Otawara, Japan), and Brilliance CT Big Bore (Philips Healthcare, Amsterdam, Netherlands). The scanning range extended from the lung apex to the diaphragm in the axial plane, performed during inspiration with patients in the supine position. Key scanning parameters were as follows: tube voltage: 120 kVp, Automatic tube current modulation (30–70 mAs), pitch: 0.99–1.22 mm, matrix: 512×512, slice thickness: 10 mm, field of view: 350 mm × 350 mm. Images were reconstructed with a slice thickness of 0.625–1.250 mm and incremented similarly, then stored in the picture archiving and communication system (PACS) for analysis. During the CT scan, patients were positioned consistently to minimize artifacts in lung images.
Body composition analysis
Chest CT images were processed using the AI Body Composition Measurement System (Quantitative CT Assisted Diagnosis System, Huiying Medical Technology Co., Ltd., Beijing, China) (hereafter referred to as AI software). An experienced radiologist manually selected the central level of the second lumbar spine on the mediastinal window. Once the appropriate slice was chosen, the full 512×512 slice was fed into the AI software.
The AI software employed a U-net network (15) to segment fat and muscle regions in the CT images. The segmentation algorithm’s gold standard was established collaboratively by two radiologists: one served as the labeling radiologist and the other as the arbitration radiologist. The labeling radiologist independently reviewed and annotated the subcutaneous adipose tissue (SAT) area, visceral adipose tissue (VAT) area, PM area, and paravertebral intramuscular fat (PIMF) area, spanning from the first to the fourth lumbar vertebra. These annotations were then reviewed by the arbitration radiologist. Prior to arbitration, the arbitration radiologist conducted a spot check of the labeling radiologist’s annotations. Once the spot check was confirmed, the arbitration radiologist reviewed and resolved any ambiguities in the annotated data. The arbitration radiologist could edit the annotations if necessary, resulting in a final, consensus annotated dataset. For annotation, the Insight Toolkit-SNAP (ITK-SNAP) software (version 3.8.0, available at http://www.itksnap.org/pmwiki/pmwiki.php) was employed. A total of 402 high-quality annotated datasets were created, covering chest and abdominal CT scans. These annotated datasets were used to develop and train a segmentation model, which demonstrated high accuracy and reliability in biomedical image segmentation tasks (16). The segmentation results are shown in Figure 1.
In this study, we utilized the U-net segmentation model to achieve fully automated segmentation of SAT, VAT, PMs, and PIMF. In cases of segmentation errors, manual fine-tuning was performed by a radiologist. By integrating the segmentation results with image spacing information, we were able to calculate the area and mean CT values for each tissue component. The AI software computed the areas of SAT, VAT, PM, and PIMF based on the number of pixels labeled by distinct color masks, with all area measurements reported in square centimeters (mm2). The mean CT values of PM, in Hounsfield units (HU) (17), were obtained by averaging the pixel values within the designated PM region. To quantify the degree of PIMF, we developed a method based on area ratios. Specifically, we calculated the ratio of the PIMF area to the combined area of PM and PIMF. This ratio provides a direct measure of the distribution of adipose tissue within the PM.
Definitions of pneumonia severity
Pneumonia severity was quantified using the Quantitative Evaluation System for CT in COVID-19 [Dr. Wise Lung Analyzer, Deepwise (Beijing) Co., Ltd., Beijing, China], which employs a deep neural network for image analysis (18). The system, supervised by two pulmonary imaging radiologists with over 10 years of experience, calculated two key quantitative features: ground-glass opacity (GGO) and consolidation. These were quantified by thresholding CT values of pneumonia lesions (−700 to −500 HU for GGO and −200 to 60 HU for consolidation). The total lung lesion volume was calculated as the sum of the solid and ground-glass volumes. The percentage of lung involvement was derived by dividing the total lesion volume by the total lung volume. Pneumonia severity was classified based on the percentage of lung involvement as follows (19): Grade 1: 1–24%, Grade 2: 25–49%, Grade 3: 50–74%, Grade 4: ≥75%.
While traditional clinical indicators (e.g., respiratory rate, oxygen saturation) were not used in this study, the AI-based pneumonia severity quantification has been previously published and validated, demonstrating strong agreement with radiological and clinical outcomes (20).
Statistical analysis
Statistical analysis was conducted to assess the correlation between abdominal and PIMF, as measured by AI software, and pneumonia severity grades. SPSS 25.0 (IBM SPSS Statistics for Windows) and R software (version 4.2.3) were used for the analysis. Prior to statistical testing, the Kolmogorov-Smirnov test was applied to evaluate the normality of continuous variables. Normally distributed data are presented as mean ± standard deviation, while non-normally distributed data are expressed as medians with interquartile ranges (IQR). The Mann-Whitney U test was used to compare continuous variables between two groups (Grade 1 vs. Grades 2–4) and to assess differences across all four grades (Grades 1–4). Additionally, we have included a baseline comparison between low-grade (Grades 1–2) and high-grade (Grades 3–4) groups. Categorical variables, such as gender, were expressed as frequencies (percentages). Spearman’s correlation coefficient was used to evaluate relationships between continuous variables. For potential influencing factors, binary logistic regression analysis was performed. A P value <0.05 indicated statistically significant differences, suggesting an influence relationship. Positive and negative influences were determined based on regression coefficients, where a coefficient >0 indicated a positive influence, and a coefficient <0 indicated a negative influence.
Receiver operating characteristic (ROC) curve analysis was conducted, and the area under the curve (AUC) was calculated to evaluate the diagnostic performance of the AI-measured PIMF proportion in determining pneumonia severity, including accuracy, sensitivity, and specificity. All analyses were two-tailed, with P<0.05 considered statistically significant. Notably, we did not divide the dataset into separate training and validation sets. Instead, ROC analysis was performed using the full sample. This decision was based on the relatively limited sample size, as further splitting could have resulted in insufficient subgroup sizes, thereby compromising the stability and reliability of the ROC curve analysis. Moreover, the aim of this study was exploratory—to preliminarily assess the discriminative potential of the imaging-derived indicator—rather than to validate a prediction model’s generalizability. As this research represents an early-phase investigation, the focus was to observe potential associations and predictive trends.
Results
Demographic information
A total of 314 patients aged 33 to 99 years were enrolled in this study, including 199 males and 115 females. Patients were categorized into four severity levels based on the percentage of lung involvement (Table 1).
Table 1
| Variables | Total (n=314) | Grade 1 (n=236) | Grade 2 (n=61) | Grade 3 (n=11) | Grade 4 (n=6) | P value |
|---|---|---|---|---|---|---|
| Age, years | 77 [69–86] | 77 [69–85.2] | 77 [66–85] | 82 [75.5–86.5] | 84.5 [76.8–88.5] | 0.52 |
| Sex | 0.40 | |||||
| Male | 199 (63.4) | 151 (64.0) | 40 (65.6) | 6 (54.5) | 2 (33.3) | |
| Female | 115 (36.6) | 85 (36.0) | 21 (34.4) | 5 (45.5) | 4 (66.7) | |
| Death | 0.001 | |||||
| No | 297 (94.6) | 228 (96.6) | 57 (93.4) | 8 (72.7) | 4 (66.7) | |
| Yes | 17 (5.4) | 8 (3.4) | 4 (6.6) | 3 (27.3) | 2 (33.3) | |
| ICU | <0.001 | |||||
| No | 287 (91.4) | 221 (93.6) | 56 (91.8) | 7 (63.6) | 3 (50) | |
| Yes | 27 (8.6) | 15 (6.4) | 5 (8.2) | 4 (36.4) | 3 (50) | |
| Mechanical ventilation | 0.03 | |||||
| No | 293 (93.3) | 223 (94.5) | 57 (93.4) | 9 (81.8) | 4 (66.7) | |
| Yes | 21 (6.7) | 13 (5.5) | 4 (6.6) | 2 (18.2) | 2 (33.3) | |
| Occurrence of any one of the three | <0.001 | |||||
| No | 271 (86.3) | 212 (89.8) | 52 (85.2) | 6 (54.5) | 1 (16.7) | |
| Yes | 43 (13.7) | 24 (10.2) | 9 (14.8) | 5 (45.5) | 5 (83.3) | |
Data are presented as median [interquartile range] or n (%). ICU, intensive care unit.
However, due to the unequal distribution of patients across the severity groups, particularly the small sample sizes in Grades 3 and 4, Grades 2 through 4 were combined into a single group for statistical analysis. Of the patients, 236 were classified as Grade 1, with a mean age of 77 years (IQR: 69–85.2 years), and 78 patients were grouped into Grades 2–4, with a mean age of 78 years (IQR: 67.5–86 years). Table 2 summarizes the clinical characteristics of the patients between Grade 1 and Grades 2–4. No significant differences were observed in age or sex between the groups with different pneumonia severities (P=0.76 for age and P=0.80 for sex).
Table 2
| Variables | Total (n=314) | Grade 1 (n=236) | Grades 2–4 (n=78) | P value |
|---|---|---|---|---|
| Age, years | 77 [69–86] | 77 [69–85.2] | 78 [67.5–86] | 0.76 |
| Sex | 0.80 | |||
| Male | 199 (63.4) | 151 (64.0) | 48 (61.5) | |
| Female | 115 (36.6) | 85 (36.0) | 30 (38.5) | |
| Death | 0.02 | |||
| No | 297 (94.6) | 228 (96.6) | 69 (88.5) | |
| Yes | 17 (5.4) | 8 (3.4) | 9 (11.5) | |
| ICU | 0.03 | |||
| No | 287 (91.4) | 221 (93.6) | 66 (84.6) | |
| Yes | 27 (8.6) | 15 (6.4) | 12 (15.4) | |
| Mechanical ventilation | 0.23 | |||
| No | 293 (93.3) | 223 (94.5) | 70 (89.7) | |
| Yes | 21 (6.7) | 13 (5.5) | 8 (10.3) | |
| Occurrence of any one of the three | 0.003 | |||
| No | 271 (86.3) | 212 (89.8) | 59 (75.6) | |
| Yes | 43 (13.7) | 24 (10.2) | 19 (24.4) | |
Data are presented as median [interquartile range] or n (%). ICU, intensive care unit.
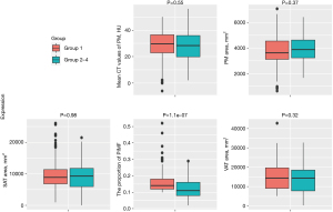
Table 3 presents the body composition measurements of the patients. A significant difference in the proportion of PIMF was observed between the Grade 1 and Grades 2–4 groups (P<0.05). However, no significant differences were found in the SAT area, VAT area, PM area, or mean CT values of PM between the two groups (all P>0.05), as shown in Figure 2.
Table 3
| Variables | Total (n=314) | Grade 1 (n=236) | Grades 2–4 (n=78) | P value |
|---|---|---|---|---|
| SAT area (mm2) | 8,916.3 (6,741.4–11,521) | 8,868.8 (6,854.5–11,325.2) | 9,265.8 (5,974.8–11,738) | 0.98 |
| VAT area (mm2) | 14,382.4 (8,652.1–19,215.1) | 14,382.4 (9,051.8–19,699.4) | 14,361 (7,849.5–18,530.8) | 0.32 |
| PM area (mm2) | 3,827.1±1,122.9 | 3,789.8±1,130.4 | 3,939.9±1,099.3 | 0.37 |
| The proportion of PIMF | 0.1 (0.1–0.2) | 0.1 (0.1–0.2) | 0.1 (0.1–0.2) | <0.001 |
| Mean CT values of PM (HU) | 29.4 (22–36.2) | 29.6 (22.9–36.5) | 28.4 (19.8–35.9) | 0.55 |
Data are presented as median (interquartile range) or mean ± standard deviation. CT, computed tomography; HU, Hounsfield units; PIMF, paravertebral intramuscular fat; PM, paravertebral muscle; SAT, subcutaneous adipose tissue; VAT, visceral adipose tissue.
Spearman correlations analysis
The Spearman correlation coefficients between the proportion of PIMF and the SAT area, VAT area, PM area, and mean CT values of PM are presented in Table 4 and Figure 3. Specifically, the Spearman correlation analysis revealed weak associations between abdominal fat/muscle indices and clinical outcomes. Specifically, VAT area showed a significant negative correlation with intensive care unit (ICU) admission (r=−0.121, P=0.03) and the composite outcome (r=−0.131, P=0.02). PM area was significantly correlated with the composite outcome (r=−0.119, P=0.04), while mean CT values of PM were associated with the composite outcome (r=−0.117, P=0.04). SAT area exhibited a significant negative correlation with mechanical ventilation (r=−0.112, P=0.047). No significant correlations were observed for the proportion of PIMF with any outcome. These findings suggest a potential link between fat distribution, muscle quality, and adverse clinical outcomes, warranting further investigation (Table 5).
Table 4
| Variables | r value | P value |
|---|---|---|
| SAT area | 0.043 | 0.45 |
| VAT area | −0.051 | 0.37 |
| PM area | −0.452** | <0.001 |
| Mean CT values of PM | −0.395** | <0.001 |
**, P<0.001. CT, computed tomography; PIMF, paravertebral intramuscular fat; PM, paravertebral muscle; SAT, subcutaneous adipose tissue; VAT, visceral adipose tissue.
Table 5
| Variables | Death | ICU | Mechanical ventilation | Occurrence of any one of the three |
|---|---|---|---|---|
| SAT area | ||||
| r value | −0.023 | −0.078 | −0.112 | −0.103 |
| P value | 0.68 | 0.17 | 0.047 | 0.07 |
| VAT area | ||||
| r value | −0.067 | −0.121 | −0.073 | −0.131 |
| P value | 0.24 | 0.03 | 0.20 | 0.02 |
| PM area | ||||
| r value | −0.070 | −0.106 | −0.079 | −0.119 |
| P value | 0.22 | 0.06 | 0.16 | 0.04 |
| The proportion of PIMF | ||||
| r value | 0.023 | −0.011 | −0.004 | 0.002 |
| P value | 0.69 | 0.84 | 0.94 | 0.97 |
| Mean CT values of PM (HU) | ||||
| r value | −0.104 | −0.050 | −0.077 | −0.117 |
| P value | 0.07 | 0.38 | 0.17 | 0.04 |
CT, computed tomography; HU, Hounsfield units; PIMF, paravertebral intramuscular fat; PM, paravertebral muscle; SAT, subcutaneous adipose tissue; VAT, visceral adipose tissue.
Binary logistic regression analysis
Table 6 presents the regression coefficients (Coef), standard errors (SE), Wald Chi-square values (Wald Z), and corresponding P values from left to right. The P value represents the hypothesis test for the regression coefficient. A P value <0.05 indicates a statistically significant influence of the variable on the outcome. In this study, both the proportion of PIMF and the mean CT values of PM were significantly associated with pneumonia severity. The P value for the proportion of PIMF was <0.05, suggesting a significant relationship, with a coefficient of 20.512, indicating a positive influence. Similarly, the P value for the mean CT values of PM was <0.05, signifying a significant relationship, with a coefficient of −0.059, indicating a negative influence.
Table 6
| Variables | Coef | SE | Wald Z | P value |
|---|---|---|---|---|
| Intercept | 3.843 | 1.039 | 3.70 | <0.001 |
| SAT area | 0.000 | 0.000 | −0.62 | 0.54 |
| VAT area | 0.000 | 0.000 | −1.59 | 0.11 |
| PM area | 0.000 | 0.000 | 0.45 | 0.65 |
| The proportion of PIMF | 20.512 | 3.870 | −5.30 | <0.001 |
| Mean CT values of PM | −0.059 | 0.017 | −3.37 | 0.001 |
Coef, coefficient; CT, computed tomography; PIMF, paravertebral intramuscular fat; PM, paravertebral muscle; SE, standard error; SAT, subcutaneous adipose tissue; VAT, visceral adipose tissue.
Severe risk prediction assessment
The AUC for the proportion of PIMF in differentiating pneumonia severity (Grade 1 vs. Grades 2–4) was 0.700 (95% confidence interval: 0.623–0.777), indicating good classification performance. The ROC curve is shown in Figure 4.
Discussion
In this study, we employed AI software to assess the severity of lung conditions from chest CT lung window images and to evaluate abdominal fat and PM conditions from mediastinal window images. We further examined the correlation between pneumonia severity and abdominal fat, as well as paravertebral fat. The primary findings were as follows: significant differences in PM area and the proportion of PIMF were observed across different pneumonia severity levels (P<0.05). Specifically, reduced PM area, a larger proportion of PIMF, and lower mean CT values of PM were associated with greater pneumonia severity. These findings suggest that the proportion of PIMF is an effective predictor of pneumonia severity.
No significant differences were found in age and sex distributions across the severity grades (Grade 1 vs. Grades 2–4) of pneumonia, with P values of 0.76 and 0.80, respectively. This indicates that age and sex do not explain the variations in pneumonia severity within our cohort, highlighting the importance of considering other factors, such as body composition. Furthermore, PM area (r=−0.452, P<0.001) and mean CT values of PM (r=−0.395, P<0.001) were negatively correlated with the proportion of PIMF, suggesting that higher muscle mass is associated with lower intramuscular fat content. The ability of the proportion of PIMF to differentiate pneumonia severity was demonstrated by an AUC of 0.700, indicating good classification performance. This underscores the potential of the proportion of PIMF as a predictive marker for pneumonia severity.
The global prevalence of sarcopenia is projected to increase from 50 million people in 2010 to 200 million by 2050 (21). Previous studies have established a correlation between sarcopenia and pneumonia. For instance, Sheean et al. found that 60% of patients with respiratory insufficiency who required ICU admission and mechanical ventilation exhibited a high prevalence of sarcopenia (22). Additionally, Altuna-Venegas et al. observed a higher incidence of community-acquired pneumonia among individuals with sarcopenia (23). Our study supports these findings, and the innovative aspect of our approach lies in the portability of the assessment method. Unlike previous assessments of sarcopenia, which require specialized imaging techniques (e.g., DXA, abdominal CT, MRI, ultrasound), our study leverages a single routine chest CT scan to simultaneously assess pneumonia severity and body composition, including the PMs. The use of AI allows for rapid, efficient, and accurate evaluation of pneumonia, abdominal muscles, and abdominal fat. Moreover, the proportion of PIMF can be used to predict the risk of pneumonia exacerbation.
One possible explanation for the findings is the high affinity of the COVID-19 virus for angiotensin-converting enzyme 2 (ACE2) receptors, which are abundantly expressed in adipose tissue. This suggests that increased fat content and decreased muscle mass may amplify inflammatory processes, potentially worsening disease outcomes (24-27). Interestingly, no significant correlation was observed between the SAT area and VAT area and the proportion of PIMF, highlighting the specificity of intramuscular fat as a relevant marker. Additionally, a significant correlation was found between mean CT values of PM and pneumonia severity. This discovery has important clinical implications: CT values are measurable indicators that can be assessed without the need for additional software, offering high clinical practicality (28). However, tissue CT values can vary across different devices and scanning conditions. Future studies could validate these findings using photon-counting CT, which may help standardize CT values.
This study has several limitations. First, the assessment of PIMF was performed semi-quantitatively using a single axial slice at the L2 vertebra level on chest CT, which may not fully represent the entire PM region. This approach introduces uncertainty and is not aligned with consensus criteria for diagnosing sarcopenia, such as those from EWGSOP2 or AWGS. Second, while the accuracy of the AI body composition software remains a concern due to the lack of validation in large-scale clinical trials or external calibration for its measurements—including the AI-calculated proportion of PIMF, our AI predictive model has been previously published and validated, demonstrating its potential efficacy (20). Nevertheless, the software’s reproducibility and clinical performance still require further evaluation in diverse cohorts. Future research should validate these AI-based metrics with standardized protocols to ensure objectivity and generalizability. Third, the study’s sample size was limited, resulting in imbalanced group sizes. Based on a report from the Chinese Center for Disease Control and Prevention, severe pneumonia is defined as affecting more than 50% of lung volume on CT, leading us to stratify patients into Grade 1–2 (≤50% lung involvement) and Grades 3–4 (>50% lung involvement) for analysis. This stratification yielded consistent results (Tables S1-S3), but the small number of patients in Grades 3–4 exacerbated the imbalance. Future studies with larger sample sizes and a broader range of pneumonia types are needed to confirm these findings.
Conclusions
In conclusion, our study underscores the significant role of body composition—particularly PM area and the proportion of PIMF—in determining pneumonia severity. Using AI-based body composition analysis, we found that a reduced PM area, an increased proportion of PIMF, and lower mean CT values of PM were all associated with higher pneumonia severity. The AI-measured proportion of PIMF effectively differentiated between varying severity levels of pneumonia, highlighting its potential as a valuable clinical indicator for predicting the risk of severe disease progression.
Acknowledgments
None.
Footnote
Reporting Checklist: The authors have completed the TRIPOD reporting checklist. Available at https://jtd.amegroups.com/article/view/10.21037/jtd-2025-353/rc
Data Sharing Statement: Available at https://jtd.amegroups.com/article/view/10.21037/jtd-2025-353/dss
Peer Review File: Available at https://jtd.amegroups.com/article/view/10.21037/jtd-2025-353/prf
Funding: None.
Conflicts of Interest: All authors have completed the ICMJE uniform disclosure form (available at https://jtd.amegroups.com/article/view/10.21037/jtd-2025-353/coif). B.Q. is an employee of Huiying Medical Technology (Beijing) Co., Ltd. The other authors have no conflicts of interest to declare.
Ethical Statement: The authors are accountable for all aspects of the work in ensuring that questions related to the accuracy or integrity of any part of the work are appropriately investigated and resolved. The study was conducted in accordance with the Declaration of Helsinki and its subsequent amendments. The study was approved by the Ethics Committee of the Second Affiliated Hospital of Zhejiang University School of Medicine (No. IRB-2023-0133) and individual consent for this retrospective analysis was waived.
Open Access Statement: This is an Open Access article distributed in accordance with the Creative Commons Attribution-NonCommercial-NoDerivs 4.0 International License (CC BY-NC-ND 4.0), which permits the non-commercial replication and distribution of the article with the strict proviso that no changes or edits are made and the original work is properly cited (including links to both the formal publication through the relevant DOI and the license). See: https://creativecommons.org/licenses/by-nc-nd/4.0/.
References
- Jiang N, Li R, Bao J, et al. Incidence and disease burden of community-acquired pneumonia in southeastern China: data from integrated medical resources. Hum Vaccin Immunother 2021;17:5638-45. [Crossref] [PubMed]
- Torres A, Cillóniz C, Blasi F, et al. Burden of pneumococcal community-acquired pneumonia in adults across Europe: A literature review. Respir Med 2018;137:6-13. [Crossref] [PubMed]
- Chen F, Zong L, Li Y, et al. Opportunity for severe and critical COVID-19 pneumonia treatment with corticosteroids: a retrospective cohort study. J Thorac Dis 2024;16:5688-97. [Crossref] [PubMed]
- Zheng X, Huang Z, Wang D, et al. A new haematological model for the diagnosis and prognosis of severe community-acquired pneumonia: a single-center retrospective study. Ann Transl Med 2022;10:881. [Crossref] [PubMed]
- Gao F, Zheng KI, Wang XB, et al. Obesity Is a Risk Factor for Greater COVID-19 Severity. Diabetes Care 2020;43:e72-4. [Crossref] [PubMed]
- Goërtz YMJ, Van Herck M, Delbressine JM, et al. Persistent symptoms 3 months after a SARS-CoV-2 infection: the post-COVID-19 syndrome? ERJ Open Res 2020;6:00542-2020. [Crossref] [PubMed]
- ICNARC report on COVID-19 in critical care 22 May 2020. Available online: https://www.baccn.org/static/uploads/resources/ICNARC_COVID-19_report_2020-05-22.pdf.pdf
- Okazaki T, Ebihara S, Mori T, et al. Association between sarcopenia and pneumonia in older people. Geriatr Gerontol Int 2020;20:7-13. [Crossref] [PubMed]
- Simonnet A, Chetboun M, Poissy J, et al. High Prevalence of Obesity in Severe Acute Respiratory Syndrome Coronavirus-2 (SARS-CoV-2) Requiring Invasive Mechanical Ventilation. Obesity (Silver Spring) 2020;28:1195-9. [Crossref] [PubMed]
- Rico-Martín S, Calderón-García JF, Sánchez-Rey P, et al. Effectiveness of body roundness index in predicting metabolic syndrome: A systematic review and meta-analysis. Obes Rev 2020;21:e13023. [Crossref] [PubMed]
- Lee JJ, Pedley A, Hoffmann U, et al. Cross-Sectional Associations of Computed Tomography (CT)-Derived Adipose Tissue Density and Adipokines: The Framingham Heart Study. J Am Heart Assoc 2016;5:e002545. [Crossref] [PubMed]
- Chen LK, Woo J, Assantachai P, et al. Asian Working Group for Sarcopenia: 2019 Consensus Update on Sarcopenia Diagnosis and Treatment. J Am Med Dir Assoc 2020;21:300-307.e2. [Crossref] [PubMed]
- Ishida T, Makino T, Yamasaki M, et al. Quantity and Quality of Skeletal Muscle as an Important Predictor of Clinical Outcomes in Patients with Esophageal Cancer Undergoing Esophagectomy after Neoadjuvant Chemotherapy. Ann Surg Oncol 2021;28:7185-95. [Crossref] [PubMed]
- Zeng Q, Wang L, Dong S, et al. CT-derived abdominal adiposity: Distributions and better predictive ability than BMI in a nationwide study of 59,429 adults in China. Metabolism 2021;115:154456. [Crossref] [PubMed]
- Ronneberger O, Fischer P, Brox T. U-Net: Convolutional Networks for Biomedical Image Segmentation. In: In: Navab, N., Hornegger J, Wells W, Frangi A. editors. Medical Image Computing and Computer-Assisted Intervention – MICCAI 2015. Cham: Springer International Publishing; 2015.
- Çiçek Ö, Abdulkadir A, Lienkamp SS, et al. 3D U-Net: Learning Dense VolumetricSegmentation from Sparse Annotation. In: Ourselin S, Joskowicz L, Sabuncu M, et al. editors. Medical Image Computing and Computer-Assisted Intervention – MICCAI 2016. Cham: Springer International Publishing; 2016.
- Aubrey J, Esfandiari N, Baracos VE, et al. Measurement of skeletal muscle radiation attenuation and basis of its biological variation. Acta Physiol (Oxf) 2014;210:489-97. [Crossref] [PubMed]
- Liu F, Zhang Q, Huang C, et al. CT quantification of pneumonia lesions in early days predicts progression to severe illness in a cohort of COVID-19 patients. Theranostics 2020;10:5613-22. [Crossref] [PubMed]
- Afshar P, Rafiee MJ, Naderkhani F, et al. Human-level COVID-19 diagnosis from low-dose CT scans using a two-stage time-distributed capsule network. Sci Rep 2022;12:4827. [Crossref] [PubMed]
- Xu Q, Zhan X, Zhou Z, et al. AI-based analysis of CT images for rapid triage of COVID-19 patients. NPJ Digit Med 2021;4:75. [Crossref] [PubMed]
- Cruz-Jentoft AJ, Baeyens JP, Bauer JM, et al. Sarcopenia: European consensus on definition and diagnosis: Report of the European Working Group on Sarcopenia in Older People. Age Ageing 2010;39:412-23. [Crossref] [PubMed]
- Sheean PM, Peterson SJ, Gomez Perez S, et al. The prevalence of sarcopenia in patients with respiratory failure classified as normally nourished using computed tomography and subjective global assessment. JPEN J Parenter Enteral Nutr 2014;38:873-9. [Crossref] [PubMed]
- Altuna-Venegas S, Aliaga-Vega R, Maguiña JL, et al. Risk of community-acquired pneumonia in older adults with sarcopenia of a hospital from Callao, Peru 2010-2015. Arch Gerontol Geriatr 2019;82:100-5. [Crossref] [PubMed]
- Huttunen R, Syrjänen J. Obesity and the risk and outcome of infection. Int J Obes (Lond) 2013;37:333-40. [Crossref] [PubMed]
- Stefan N, Birkenfeld AL, Schulze MB, et al. Obesity and impaired metabolic health in patients with COVID-19. Nat Rev Endocrinol 2020;16:341-2. [Crossref] [PubMed]
- Wu J, Zhang J, Sun X, et al. Influence of diabetes mellitus on the severity and fatality of SARS-CoV-2 (COVID-19) infection. Diabetes Obes Metab 2020;22:1907-14. [Crossref] [PubMed]
- Wang X, Zhou Z, Peng Y, et al. Computed tomography characteristics of chronic bronchitis and its association with disease severity and clinical outcomes in viral pneumonia: a retrospective cohort study. J Thorac Dis 2025;17:2503-18. [Crossref] [PubMed]
- Nguyen-Ho L, Hoang-Thi HL, Le-Thuong V, et al. Severity assessment in melioidosis pneumonia: validity of PSI, CURB-65, and SMART-COP scoring criteria. AME Med J 2025;10:23.


