A retrospective study of risk factors contributing to hemocoagulase-induced hypofibrinogenemia in hemoptysis patients
Highlight box
Key findings
• Cumulative hemocoagulase administration time ≥9 days and total dose ≥6.5 Klobusitzky units (KU) were independent risk factors for hypofibrinogenemia in hemoptysis patients.
• Patients with hypofibrinogenemia had higher rates of intensive care unit (ICU) admission (22.2% vs. 3.0%) and massive hemoptysis (44.4% vs. 18.2%).
What is known and what is new?
• Hemocoagulase use in hemoptysis may lead to coagulative disorders, but specific risk factors for hypofibrinogenemia remain unclear.
• This study quantifies thresholds for cumulative dose (≥6.5 KU) and duration (≥9 days) as critical predictors of hypofibrinogenemia, and links it to worsened clinical outcomes (ICU admission, massive bleeding).
What is the implication, and what should change now?
• Clinicians should monitor cumulative hemocoagulase doses and treatment duration in hemoptysis patients to prevent hypofibrinogenemia. Protocols limiting exposure to ≥6.5 KU or ≥9 days may reduce this complication.
Introduction
Hemoptysis refers to the expectoration of blood or blood-stained mucus coming from the bronchi, trachea, or lung parenchyma via the mouth (1). This condition can be linked to various diseases including lung cancer, bronchiectasis, and infections such as tuberculosis, bronchitis, and pneumonia. Additionally, certain cardiovascular conditions can also result in hemoptysis. In cases of massive hemoptysis, bronchial artery embolization or surgical treatment becomes essential; however, when patients present with minor hemoptysis, which is usually not life-threatening, non-surgical treatment may be more appropriate (2,3).
Hemocoagulase is a hemostatic agent derived from snake venom (4,5). In China, various hemocoagulase preparations have been approved by the National Medical Products Administration (NMPA) for circulation in the market. These include Hemocoagulase for Injection (extracted from venom of Agkistrodon halys), Slounase (extracted from viper venom), Hemocoagulase Bothrops Atrox for Injection (extracted from venom of Bothrops atrox), and Haemocoagulase Agkistrodon for Injection (extracted from venom of Agkistrodon acutus) (6).
These hemocoagulase preparations are widely used in medical situations such as trauma bleeding, surgical bleeding, and other hemorrhagic diseases in China, due to their efficiency in reducing bleeding time and transfusion requirements (7,8). The hemostatic effect of hemocoagulase is attributed to two basic mechanisms: (I) it breaks down the α-subunit of fibrinogen into α-peptide and fibrin, which subsequently polymerize into insoluble fibrin polymers and fibers with the aid of factor XIII; (II) it can inhibit the release of factor XIII, thereby considerably lowering the risk of thrombus formation (9,10). Hemocoagulase serves as a common hemostatic treatment for patients with hemoptysis; it can be administered either intravenously or topically through bronchoscopy (4,7-12). However, it is important to note that the use of hemocoagulase may cause acquired hypofibrinogenemia. This condition, in turn, could potentially lead to a severe amplification of bleeding symptoms. Despite documented case reports of this potential complication, there remains a significant gap in the literature regarding investigations into the risk factors associated with hemocoagulase-induced hypofibrinogenemia (8,13,14).
In patients with hemoptysis, the relationship between hemocoagulase administration and the development of acquired hypofibrinogenemia is not well-established, including its risk factors and prognosis. To address this gap, our study aimed to investigate the risk factors of acquired hypofibrinogenemia following the systemic use of hemocoagulase among these patients. This research may offer valuable insights for both clinicians and pharmacists. We present this article in accordance with the STROBE reporting checklist (available at https://jtd.amegroups.com/article/view/10.21037/jtd-2025-523/rc).
Methods
The retrospective, single-center, observational study was conducted in accordance with the Declaration of Helsinki (15) and its subsequent amendments. The study was approved by the Medical Ethics Committee of The First Affiliated Hospital of Chongqing Medical and Pharmaceutical College. Given the study’s retrospective design, the requirement for informed consent was waived.
Design and study population
We identified 183 hospitalized patients presenting with hemoptysis from August 2020 to August 2023. Out of these, we excluded 123 patients based on the following criteria: (I) not having been treated with hemocoagulase; (II) lack of coagulation status monitoring despite hemocoagulase treatment; (III) fibrinogen levels lower than 2 g/L prior to treatment; and (IV) diagnosis of coagulation disorders such as hemophilia, von Willebrand disease, liver failure, or disseminated intravascular coagulation.
To identify risk factors of hypofibrinogenemia associated with hemocoagulase use, we applied a case-control study design to analyze data from hemoptysis patients who underwent hemocoagulase treatment. Our primary outcome was acquired hypofibrinogenemia. Based on this outcome, we divided patients into two groups: those with hypofibrinogenemia and those without. Subsequently, we examined the relationship between hemocoagulase-associated hypofibrinogenemia and relevant variables, including patient demographics, causes of hemoptysis, comorbidities, primary treatment regimens, etc.
Data collection
We collected clinical information of patients from electronic medical record system and analyze the data. The information investigated included demographics (age, sex, body mass index, current smoker, smoking index (cigarettes per day × years of smoking), alcohol use), total doses of hemocoagulase, cumulative time of hemocoagulase use, causes of hemoptysis (bronchogenic lung carcinoma, pneumoconiosis, pulmonary tuberculosis, bronchiectasis), experiencing massive hemoptysis, admission to the intensive care unit (ICU), comorbidities (chronic liver disease, hypoproteinemia, diabetes mellitus, chronic obstructive pulmonary disease, chronic heart failure, atrial fibrillation, and shock), concomitant drugs (cephalosporin, carbapenems, pituitrin, carbazochrome sodium sulfonate, triazole antifungal agent, vitamin K1, methylprednisolone sodium succinate), in-hospital death, transfusions (red blood cells, cryoprecipitates, and fresh frozen plasma), bronchial artery embolization, laboratory tests before hemocoagulase administration (baseline fibrinogen, prothrombin time, activated partial thromboplastin time, D-dimer, leukocyte count, hemoglobin, platelet count, alanine aminotransferase, aspartate aminotransferase, albumin level, total bilirubin), and fibrinogen levels after treatment (Figure 1).
Definitions
In our study, the reference value for fibrinogen tested was 2–4 g/L. In accordance with the laboratory reference framework, acquired hypofibrinogenemia was denoted specifically by plasma fibrinogen levels of less than 2 g/L. This condition, acquired hypofibrinogenemia, was further classified into mild (1–<2 g/L), moderate (0.5–<1 g/L), and severe states (<0.5 g/L) (16). Simultaneously, we defined massive hemoptysis as either a hemoptysis volume in excess of 100 mL within a 24-hour timespan, instances where hemoptysis-induced unstable vital signs were noted, or situations where any measure of hemoptysis brought about airway blockage and consequent asphyxia (3,17).
Hemocoagulase preparations, dosage and administration route
In this study, we utilized two hemocoagulase preparations: Hemocoagulase Bothrops Atrox for Injection (Penglai Nuokang Pharma, Yantai, Shandong, China), and Hemocoagulase for Injection (Avanc Pharma, Jinzhou, Liaoning, China). Among the 60 patients in this study, 59 of them were given Hemocoagulase for Injection, while only 1 was given Hemocoagulase Bothrops Atrox for Injection. Each Klobusitzky unit (KU) of hemocoagulase could be administered intravenously via dilution in 10 mL of 0.9% saline, or intramuscularly in 2–5 mL of 0.9% saline each time. The frequency of administration, ranging from one to five times daily, was determined by the clinicians based on the patient’s condition.
Statistical analysis
The data were analyzed by SPSS version 23.0 software; a P value of <0.05 was considered statistically significant. The absent data were supplanted utilizing the median of nearby points. Continuous variables were expressed as mean ± standard deviation for normally distributed data or as median with interquartile range (IQR) for non-normally distributed data. Categorical variables were expressed as frequencies and percentages. Chi-square tests or Fisher’s exact tests were used to compare categorical variables between groups. The Wilcoxon rank-sum tests were employed to assess the continuous variables exhibiting non-normal distribution, and the independent samples t-tests were used to compare the normal distribution variables. Variables that were significantly different between the hypofibrinogenemia and non-hypofibrinogenemia groups were entered into the multivariate logistic regression model to identify potential risk factors for hemocoagulase-associated hypofibrinogenemia. The receiver operating characteristic (ROC) curve was employed to predict hypofibrinogenemia, and parameters (the optimal cut-off, sensitivity, and specificity) in the ROC curve were identified by Youden index.
Results
Our study encompassed a total of 60 patients, divided into two groups: 27 in the acquired hypofibrinogenemia group and 33 in the non-hypofibrinogenemia group (Figure 1). Following the administration of hemocoagulase, we observed varying degrees of hypofibrinogenemia: mild in 18 patients (30%), moderate in 8 patients (13.3%), and severe in 1 patient (1.7%).
Group comparisons of demographics and clinical variables
As outlined in Table 1, the baseline demographics and clinical traits of both groups were summarized. There were no significant differences between the non-hypofibrinogenemia and hypofibrinogenemia groups in terms of age, sex, body mass index, smoking index, and alcohol use (Table 1). Likewise, we found no significant differences regarding hemoptysis causes, existing comorbidities, concomitant drugs, blood transfusion, in-hospital mortality rates, and baseline laboratory tests (routine blood test, hepatic function, and coagulation function) between the two groups. There were no haematological disorders in either group; the median baseline fibrinogen did not differ significantly between the two groups (3.71 vs. 3.20 g/L; P=0.06); and the proportion of patients who received bronchial artery embolization was similar in both groups (42.4% vs. 29.6%; P=0.31) (Table 1).
Table 1
| Variables | Non-hypofibrinogenemia (N=33) | Hypofibrinogenemia (N=27) | P value |
|---|---|---|---|
| Age (years) | 66.45±13.696 | 64.04±12.414 | 0.48 |
| Male | 24 (72.7) | 23 (85.2) | 0.25 |
| Body mass index (kg/m2) | 22.24±2.842 | 22.09±4.239 | 0.88 |
| Total dosage of hemocoagulase (KU) | 3 (1–6.5) | 13 (8–18) | <0.001 |
| Cumulative time of hemocoagulase use ≥9 days | 2 (6.1) | 17 (63.0) | <0.001 |
| Current smokers | 15 (45.5) | 17 (63.0) | 0.18 |
| Smoking index ≥400 | 14 (42.4) | 12 (44.4) | 0.88 |
| Alcohol use | 7 (21.2) | 5 (18.5) | 0.80 |
| Massive hemoptysis | 6 (18.2) | 12 (44.4) | 0.03 |
| ICU admission | 1 (3.0) | 6 (22.2) | 0.04 |
| In-hospital mortality | 1 (3.0) | 3 (11.1) | 0.32 |
| BAE | 14 (42.4) | 8 (29.6) | 0.31 |
| Cause of hemoptysis | |||
| Bronchogenic lung carcinoma | 5 (15.2) | 7 (25.9) | 0.30 |
| Pneumoconiosis | 5 (15.2) | 6 (22.2) | 0.52 |
| Pulmonary tuberculosis | 2 (6.1) | 1 (3.7) | >0.99 |
| Bronchiectasis | 9 (27.3) | 7 (25.9) | 0.91 |
| Cryptogenic | 12 (36.4) | 6 (22.2) | 0.23 |
| Comorbidities | |||
| Chronic liver disease | 2 (6.1) | 2 (7.4) | >0.99 |
| Hypoproteinemia | 2 (6.1) | 6 (22.2) | 0.12 |
| Diabetes mellitus | 4 (12.1) | 4 (14.8) | >0.99 |
| Chronic obstructive pulmonary disease | 5 (15.2) | 7 (25.9) | 0.30 |
| Chronic heart failure | 3 (9.1) | 4 (14.8) | 0.69 |
| Atrial fibrillation | 2 (6.1) | 2 (7.4) | >0.99 |
| Shock | 3 (9.1) | 6 (22.2) | 0.28 |
| Concomitant drugs | |||
| Cephalosporin | 6 (18.2) | 7 (25.9) | 0.47 |
| Carbapenems | 12 (36.4) | 15 (55.6) | 0.14 |
| Pituitrin | 12 (36.4) | 16 (59.3) | 0.08 |
| Carbazochrome sodium sulfonate | 28 (84.8) | 18 (76.7) | 0.10 |
| Triazole antifungal agent | 8 (24.2) | 5 (18.5) | 0.60 |
| Vitamin K1 | 0 (0.0) | 2 (7.4) | 0.20 |
| Methylprednisolone sodium succinate | 3 (9.1) | 6 (22.2) | 0.28 |
| Transfusions | |||
| PRC | 2 (6.1) | 5 (18.5) | 0.23 |
| FFP | 0 (0.0) | 1 (3.7) | 0.45 |
| Cryoprecipitates | 0 (0.0) | 1 (3.7) | 0.45 |
| Laboratory tests before hemocoagulase treatment | |||
| Baseline fibrinogen (g/L) | 3.71 (3.23–4.71) | 3.20 (2.42–4.37) | 0.06 |
| PT (s) | 11.40 (10.50–11.85) | 11.20 (10.60–12.00) | 0.71 |
| aPTT (s) | 25.50 (24.00–27.95) | 25.80 (23.70–27.30) | 0.63 |
| D-dimer (mg/L) | 0.77 (0.40–1.18) | 0.41 (0.18–1.30) | 0.20 |
| PLT (×109/L) | 204.97±100.50 | 204.52±82.89 | 0.99 |
| WBC (×109/L) | 7.36 (5.75–10.42) | 7.53 (6.07–9.47) | 0.79 |
| HGB (g/L) | 121.06±24.68 | 119.44±23.17 | 0.80 |
| ALT (U/L) | 15.00 (12.25–23.57) | 21.00 (14.00–31.32) | 0.18 |
| AST (U/L) | 21.72 (18.94–30.57) | 25.20 (20.26–30.13) | 0.43 |
| ALB (g/L) | 38.44±3.97 | 39.44±5.50 | 0.42 |
| TBil (μmol/L) | 11.00 (7.10–14.76) | 9.86 (8.00–15.99) | 0.73 |
Data are presented as mean ± standard deviation, n (%), or median (interquartile range). P<0.05 was considered statistically significant. ALB, albumin; ALT, alanine transaminase; aPTT, activated partial thromboplastin time; AST, aspartate transaminase; BAE, bronchial artery embolization; FFP, fresh frozen plasma; HGB, hemoglobin; ICU, intensive care unit; KU, Klobusitzky unit; PLT, platelet; PRC, packed red cell; PT, prothrombin time; TBil, total bilirubin; WBC, white blood cells.
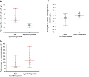
When contrasting the non-hypofibrinogen group with the hypofibrinogenemia group, we observed a significant increase in the number of ICU admissions in the latter (3.0% vs. 22.2%; P=0.04). Furthermore, the hypofibrinogenemia group exhibited a greater incidence of massive hemoptysis (18.2% vs. 44.4%; P=0.03), along with a higher proportion where the cumulative time of hemocoagulase usage exceeded 9 days (6.1% vs. 63.0%; P<0.001) (Table 1). With respect to the total dosage of hemocoagulase, the hypofibrinogenemia group exhibited a significantly larger median dose (3 vs. 13 KU; P<0.001) (Table 1, Figure 2). The only patient administered Hemocoagulase Bothrops Atrox (19 KU over 11 days; 48-year-old male with pneumoconiosis and pulmonary infection; in the hypofibrinogenemia group) was discharged after recovery. The non-hypofibrinogenemia group had one death (a 75-year-old female with malignant pulmonary neoplasm) from cancer-related massive hemoptysis and shock.
In post-treatment comparisons between the two groups, it was noted that, in the hypofibrinogenemia group, the median fibrinogen level was significantly lower (3.36 vs. 1.18 g/L; P<0.001), and the decrement in median fibrinogen was remarkably larger (0.21 vs. 2.07 g/L; P<0.001) (Table 2, Figure 2).
Table 2
| Variables | Non-hypofibrinogenemia (N=33) | Hypofibrinogenemia (N=27) | P value |
|---|---|---|---|
| Plasma fibrinogen after the use of hemocoagulase (g/L) | 3.36 (2.99 to 4.63) | 1.18 (0.96 to 1.53) | <0.001 |
| The extent of decline in plasma fibrinogen levels as compared to the baseline (g/L) | 0.21 (−0.29 to 0.98) | 2.07 (1.17 to 3.24) | <0.001 |
Values were presented as median (interquartile range). P<0.05 was considered statistically significant.
Risk factors for hemocoagulase-associated hypofibrinogenemia
In our multivariate analysis, we took into account appropriate variables: baseline fibrinogen, cumulative time of hemocoagulase use, and total doses of hemocoagulase. Particularly, cumulative time of hemocoagulase use and total dosage of hemocoagulase, being variables with P<0.05 in univariate analysis, were specifically regarded. Although the baseline fibrinogen was P>0.05 in univariate analyses, we deemed its inclusion to be justified as other studies have previously purported an association between this variable and acquired hypofibrinogenemia (18). The final multiple logistic regression analysis showed that both cumulative time of hemocoagulase use ≥9 days [odds ratio (OR) 7.248, 95% confidence interval (CI): 1.103–47.643, P=0.04] and total dosage of hemocoagulase (OR 1.180, 95% CI: 1.025–1.359, P=0.02) were risk factors for hemocoagulase-associated hypofibrinogenemia (Table 3).
Table 3
| Variables | Odds ratio | 95% CI | P value |
|---|---|---|---|
| Cumulative time of hemocoagulase use ≥9 days | 7.248 | 1.103–47.643 | 0.04 |
| Total doses of hemocoagulase (KU) | 1.180 | 1.025–1.359 | 0.02 |
P<0.05 was considered statistically significant. CI, confidence interval; KU, Klobusitzky unit.
The ROC curve was employed to assess the predictive capacity of total dosage of hemocoagulase level for hemocoagulase-associated hypofibrinogenemia. The area under curve (AUC) corresponding to total dosage of hemocoagulase demonstrated 0.858 (95% CI: 0.762–0.953, P<0.001). The largest Youden index was used to identify the cutoff point, sensitivity, and specificity in the ROC curve. The cutoff value for the total dosage of hemocoagulase was 6.5 KU, with sensitivity and specificity resulting in 88.9% and 75.8%, respectively (Table 4, Figure 3).
Table 4
| Variable | AUC (95% CI) | P value | Cut-off (KU) | Sensitivity | Specificity |
|---|---|---|---|---|---|
| Total hemocoagulase dosage | 0.858 (0.762–0.953) | <0.001 | 6.5 | 88.9% | 75.8% |
P<0.05 was considered statistically significant. AUC, area under the curve; CI, confidence interval; KU, Klobusitzky unit.
Discussion
To the best of our understanding, our research represents one of the scant studies evaluating risk factors for hemocoagulase-associated hypofibrinogenemia in patients suffering from hemoptysis. Hemocoagulase, a compound of thrombin-like enzymes, is derived from snake venom. The research history attached to hemocoagulase spans significantly, with the first emergence of hemocoagulase, known as Reptilase (batroxobin), traced back to 1954. From that point forward, over 40 distinctive thrombin-like enzymes have been discovered and characterized (5,19).
The final stage in the process of blood clotting involves fibrin formation; with hemocoagulase promoting the formation of fibrin monomers from fibrinogen, it thus bears a pro-hemostatic function analogous to human thrombin. Presently, hemocoagulase is widely employed to ameliorate traumatic bleeding, respiratory system bleeding and gastrointestinal bleeding; it also serves to prevent bleeding complications primarily arising from invasive procedures. However, drawn from post-marketing studies, there is a possibility that hemocoagulase might instigate bleeding related to hypofibrinogenemia. Currently, literature on hemocoagulase-associated hypofibrinogenemia is predominantly composed of case reports, with a significant lack of retrospective case-control studies (8,14,20,21).
Our study found that among patients with hemoptysis, the use of hemocoagulase may lead to acquired hypofibrinogenemia, observed in 45% of cases. Prior to the administration of hemocoagulase, fibrinogen levels across all patients remained within the normal range. However, after the use of hemocoagulase, hypofibrinogenemia was observed in 27 cases, and the decline in plasma fibrinogen levels as compared to the baseline was more significant in the hypofibrinogenemia group. Moreover, our research discovered that patients experiencing hypofibrinogenemia developed more instances of massive hemoptysis than those in the non-hypofibrinogenemia group—an indication that the onset of acquired hypofibrinogenemia after hemocoagulase administration may contribute to an increased likelihood of bleeding.
Zhou (14) observed hypofibrinogenemia in seven patients post-colonic polypectomy following the use of hemocoagulase, with lower gastrointestinal bleeding manifesting in three of these cases. Interestingly, no reduction in plasma fibrinogen was recorded in the 13 patients who did not receive hemocoagulase. A separate case report described a situation where a patient with hemoptysis demonstrated a bleeding propensity, which was attributed to acquired hypofibrinogenemia due to prolonged hemocoagulase treatment (21). In the context of hemoptysis, our research indicated that the incidence of acquired hypofibrinogenemia was correlated with both the total dose of hemocoagulase and the cumulative time of administration.
We have established a set of criteria for the risk evaluation of hemocoagulase-associated hypofibrinogenemia, facilitating more accurate prediction of this risk post hemocoagulase administration. This allows us to identify patients who are at high risk for hypofibrinogenemia and accordingly adjust treatment regimens or intensify patient monitoring, thus reducing the likelihood of unfavorable clinical outcomes. However, it’s important to recognize that proposing routine coagulation monitoring for all patients using hemocoagulase may not be practical, as it could significantly increase the overall cost of treatment. Therefore, by applying these risk evaluation criteria, we argue that only monitoring high-risk patients can effectively curb the associated expenses. The criteria include a cumulative time of administration of ≥9 days and a total dosage of ≥6.5 KU for hemocoagulase use. Patients satisfying the delineated criteria are predisposed to a heightened risk of hypofibrinogenemia and require rigorous monitoring pertaining to coagulation functions.
It is worth noting that a previous study by Lee et al. (18) posited that low levels of baseline plasma fibrinogen were associated with the occurrence of acquired hypofibrinogenemia. Contrarily, our findings did not demonstrate a significant difference in baseline fibrinogen levels between the two groups prior to hemocoagulase administration, making it challenging to conclusively correlate baseline fibrinogen levels with the emergence of acquired hypofibrinogenemia. This discrepancy may arise due to different sample sizes employed in different studies, potentially leading to sampling bias. Consequently, additional studies encompassing larger sample sizes are necessary to more accurately determine if there exists an association between baseline fibrinogen levels and hemocoagulase-associated hypofibrinogenemia.
In regard to mortality rates and transfusion needs, another aspect influenced by hemocoagulase-associated hypofibrinogenemia, previous investigations (18) have posited that hypofibrinogenemia may imply higher transfusion needs and increased mortality. While our study has ascertained no statistical difference in transfusion rates or mortality rates between the two groups, it is important to consider that our findings might be influenced by the size of our sample pool. In reference to blood transfusions, the data shows that five (18.5%) patients from the hypofibrinogenemia group received packed red blood cell transfusions, one (3.7%) was given fresh frozen plasma, and another one (3.7%) received cryoprecipitate transfusions. On the other hand, the non-hypofibrinogenemia group only had two (6.1%) patients receiving packed red blood cell transfusions. Similarly, when observing in-patient mortality rates, the numbers exhibited potential variations. Three (11.1%) patients in the hypofibrinogenemia group died whereas only a single patient (3.0%) in the non-hypofibrinogenemia group experienced the same outcome. Moving forward, we anticipate that studies encompassing larger and diverse sample sizes could provide a more precise understanding of whether hemocoagulase-associated hypofibrinogenemia introduces an increased risk of transfusion and higher mortality rate.
Our study, while insightful, faced several constraints. Firstly, the single-center retrospective design of our research led to a small sample size, which limited the generalizability of our findings. Secondly, we could not exclude possible factors affecting the study’s accuracy, such as uncertainty in the timing and number of coagulation function tests. Finally, many cases of hemoptysis were excluded because of a lack of information on laboratory tests (e.g., many mild cases were not included due to a lack of coagulation function testing after treatment), making selection bias possible.
Conclusions
Our study substantiates that acquired hypofibrinogenemia serves as an adverse outcome of hemocoagulase treatment in patients confronting hemoptysis. Patients marked by acquired hypofibrinogenemia exhibited an escalated likelihood towards both massive hemoptysis and ICU admissions, contrasted with non-hypofibrinogenemia counterparts. Cumulative administration time ≥9 days and total hemocoagulase doses ≥6.5 KU are identified as risk factors, which can provide valuable early predictors to guide therapeutic strategies for patients with hemoptysis undergoing hemocoagulase treatment. However, future large-scale cohort studies are necessary to appraise the significance of these findings. Similarly, animal model investigations are also important for unraveling the underlying mechanisms related to hemocoagulase-associated hypofibrinogenaemia.
Acknowledgments
None.
Footnote
Reporting Checklist: The authors have completed the STROBE reporting checklist. Available at https://jtd.amegroups.com/article/view/10.21037/jtd-2025-523/rc
Data Sharing Statement: Available at https://jtd.amegroups.com/article/view/10.21037/jtd-2025-523/dss
Peer Review File: Available at https://jtd.amegroups.com/article/view/10.21037/jtd-2025-523/prf
Funding: This work was supported by
Conflicts of Interest: All authors have completed the ICMJE uniform disclosure form (available at https://jtd.amegroups.com/article/view/10.21037/jtd-2025-523/coif). The authors have no conflicts of interest to declare.
Ethical Statement: The authors are accountable for all aspects of the work in ensuring that questions related to the accuracy or integrity of any part of the work are appropriately investigated and resolved. The study was conducted in accordance with the Declaration of Helsinki and its subsequent amendments. The study was approved by the Medical Ethics Committee of The First Affiliated Hospital of Chongqing Medical and Pharmaceutical College. Given the study’s retrospective design, the requirement for informed consent was waived.
Open Access Statement: This is an Open Access article distributed in accordance with the Creative Commons Attribution-NonCommercial-NoDerivs 4.0 International License (CC BY-NC-ND 4.0), which permits the non-commercial replication and distribution of the article with the strict proviso that no changes or edits are made and the original work is properly cited (including links to both the formal publication through the relevant DOI and the license). See: https://creativecommons.org/licenses/by-nc-nd/4.0/.
References
- Parrot A, Fartoukh M. Hemoptysis. Diagnostic approach and management. Rev Prat 2024;74:801-6.
- Pirotte M, Pirotte A, Koyfman A, et al. High risk and low incidence diseases: Massive hemoptysis. Am J Emerg Med 2024;85:179-85. [Crossref] [PubMed]
- Jin F, Li Q, Bai C, et al. Chinese Expert Recommendation for Diagnosis and Treatment of Massive Hemoptysis. Respiration 2020;99:83-92. [Crossref] [PubMed]
- Green D. Hematology products from snake venoms. Thromb Res 2025;245:109215. [Crossref] [PubMed]
- Castro HC, Zingali RB, Albuquerque MG, et al. Snake venom thrombin-like enzymes: from reptilase to now. Cell Mol Life Sci 2004;61:843-56. [Crossref] [PubMed]
- National Medical Products Administration. Online Drug Database Search for hemocoagulase in China. 2023. Accessed 12 October 2023. Available online: https://www.nmpa.gov.cn/datasearch/search-result.html
- Ju Y, Liu H, Jiang W, et al. Perioperative blood loss of sequential administration of hemocoagulase Agkistrodon and Tranexamic acid for primary total knee arthroplasty: a randomized controlled trial. J Orthop Surg Res 2025;20:457. [Crossref] [PubMed]
- Zhang H. The Effects of Hemocoagulase on Coagulation Factors in an Elderly Patient with Upper Gastrointestinal Hemorrhage: A Case Report. Curr Drug Saf 2019;14:230-2. [Crossref] [PubMed]
- Wang L, Wang C, Zhang D, et al. Effectiveness and safeties of hemocoagulase and tranexamic acid to reduce perioperative blood loss in intertrochanteric fracture PFNA fixation. Acta Orthop Belg 2023;89:645-50. [Crossref] [PubMed]
- Lü HM, Li CL, Dong JC, et al. Hemostatic effect of hemocoagulase agkistrodon and its mechanism. Zhongguo Shi Yan Xue Ye Xue Za Zhi 2008;16:883-5.
- de Gracia J, de la Rosa D, Catalán E, et al. Use of endoscopic fibrinogen-thrombin in the treatment of severe hemoptysis. Respir Med 2003;97:790-5. [Crossref] [PubMed]
- Bhambure NM, Abhyankar NY, Gandhi Y, et al. Hemoptysis after batroxobin infusion using a fiberoptic bronchoscope. Chest 1991;99:1313.
- Qi X, Wang J, Yu X, et al. Hemocoagulase might not control but worsen gastrointestinal bleeding in an elderly patient with type II respiratory failure. Transl Gastroenterol Hepatol 2017;2:71. [Crossref] [PubMed]
- Zhou HB. Hypofibrinogenemia Caused by Hemocoagulase After Colon Polyps Excision. Am J Case Rep 2017;18:291-3. [Crossref] [PubMed]
- World Medical Association Declaration of Helsinki. ethical principles for medical research involving human subjects (revised October 7, 2000). HIV Clin Trials 2001;2:92-5. [Crossref] [PubMed]
- Besser MW, MacDonald SG. Acquired hypofibrinogenemia: current perspectives. J Blood Med 2016;7:217-25. [Crossref] [PubMed]
- Ibrahim WH. Massive haemoptysis: the definition should be revised. Eur Respir J 2008;32:1131-2. [Crossref] [PubMed]
- Lee JK, Yoon CS, Na YO, et al. Risk factors and clinical outcomes associated with acquired hypofibrinogenemia in patients administered hemocoagulase batroxobin for hemoptysis. J Thorac Dis 2023;15:65-76. [Crossref] [PubMed]
- Liu S, Wang S, Zou Q, et al. Efficacy and safety of batroxobin in patients with acute ischemic stroke: A multicenter retrospective analysis. CNS Neurosci Ther 2024;30:e14877. [Crossref] [PubMed]
- Linglong X, Dijiong W. Prolonged Hemocoagulase Agkistrodon Halys Pallas Administration Induces Hypofibrinogenemia in Patients with Hematological Disorders: A Clinical Analysis of 11 Patients. Indian J Hematol Blood Transfus 2018;34:322-7. [Crossref] [PubMed]
- Kim TO, Kim MS, Kho BG, et al. Paradoxical pulmonary hemorrhage associated with hemocoagulase batroxobin in a patient with hemoptysis: A CARE-compliant case report. Medicine (Baltimore) 2021;100:e24040. [Crossref] [PubMed]



