Clinicopathological characteristics and prognosis analysis of stage IB non-small cell lung cancer—a retrospective study from a Chinese medical center
Highlight box
Key findings
• Major pathologic type is not a risk factor for patients with stage IB non-small cell lung cancer (NSCLC).
• Postoperative adjuvant therapy does not benefit patients with stage IB NSCLC.
• In patients with stage IB lung adenocarcinoma, pleural invasion, with spread through air spaces (STAS) component, and without ground-glass opacity (GGO) component were associated with poor prognosis and were independent risk factors.
What is known and what is new?
• There are fewer clinical trials in patients with stage IB NSCLC, and there is still a lack of high-level evidence to support the clinical diagnosis and treatment of patients with this stage.
• Focusing on the clinical features and prognosis of stage IB NSCLC, there are both findings that are the same as those traditionally recognized in early-stage NSCLC, as well as features unique to stage IB NSCLC.
What is the implication, and what should change now?
• Combining imaging (GGO) and pathology (STAS), the prognosis of patients with stage IB and the need for adjuvant therapy will be better predicted.
Introduction
Lung cancer is the leading malignancy in terms of mortality in both men and women worldwide. Non-small cell lung cancer (NSCLC) is a major pathological type that accounts for 80–85% of lung cancer (1). Pathological Tumor, Node, Metastasis (TNM) staging is of great importance in guiding the clinical diagnosis and treatment of NSCLC patients. The 8th edition of TNM lung cancer made important adjustments to stage IB NSCLC: the T2a tumor size was narrowed from “>3 to ≤5 cm” to“>3 to ≤4 cm”, i.e., stage IB NSCLC only includes patients with tumors without lymph node and distant metastasis, with size of 3–4 cm and/or involving the main bronchus, invading the pleura of the visceral layer, and with obstructive pneumonia or pulmonary atelectasis in part or all of the lung. Compared with the favorable prognosis of patients with stage IA (1), the prognosis of patients with stage IB is still not optimistic. There is a clear controversy between the two major guidelines, National Comprehensive Cancer Network (NCCN) and Chinese Society of Clinical Oncology (CSCO), on whether to provide postoperative adjuvant therapy for patients with stage IB (2). Due to the change in guideline staging, there are fewer clinical trials in patients with stage IB NSCLC, and there is still a lack of high-level evidence to support the clinical diagnosis and treatment of patients with this stage. In other words, there is an urgent need for new evidence to complement the prognosis of real-world stage IB patients and to try to find independent risk factors associated with prognosis. Therefore, this study focuses on in-depth exploration and research of stage IB NSCLC.
Spread through air spaces (STAS), identified by WHO in 2015 as a fourth invasion mode in lung cancer, occurs in 14.8% to 60.5% of lung adenocarcinoma (LUAD) cases. Kadota et al. first reported STAS as an independent risk factor for recurrence in stage I LUAD (<2 cm) after limited resection [hazard ratio (HR) 3.08, P=0.014] (3). STAS also predicts disease-free survival (DFS) in lung squamous cell carcinoma (LUSC) and increases metastasis risk (4). Whether STAS affects the prognosis of patients with stage IB NSCLC and how it will influence the diagnostic and therapeutic decision-making of patients with stage IB NSCLC is the focus of the discussion that we hope to conduct in the present study.
Ground glass opacities (GGO) on imaging indicate a subgroup of lung cancers with favorable prognosis, independently improving outcomes in stage IA NSCLC. The presence of GGO is an independent favorable prognostic factor in both pathological stage IA NSCLC and clinical stage IA NSCLC (5,6). Large trials report over 90% 5-year overall survival (OS) in stage IA NSCLC with GGO (7). Whether GGO similarly predicts good prognosis in stage IB NSCLC requires further study.
In this study, we analyzed the risk factors affecting the prognosis by reviewing NSCLC patients with postoperative pathological stage IB resected by surgical R0 from January 2016 to December 2020 at Zhongshan Hospital, Fudan University, with the aim of providing a theoretical basis for the clinical treatment of stage IB NSCLC. We present this article in accordance with the STROBE reporting checklist (available at https://jtd.amegroups.com/article/view/10.21037/jtd-2025-1097/rc).
Methods
Patients
This research was approved by the institutional review committee of Zhongshan Hospital, Fudan University (Shanghai, China) (B2021-128), and registered as a clinical study (NCT05979623). The study was conducted in accordance with the Declaration of Helsinki and its subsequent amendments. The requirement for informed consent was waived as it was retrospective research. The patient data of this study were based on patients who were diagnosed with NSCLC and underwent radical lung cancer surgery between January 2016 and December 2020 at Zhongshan Hospital, Fudan University. All patients underwent a standardized preoperative assessment. Low-dose thin-slice chest computed tomography (CT) was performed as the initial imaging modality. For patients with suspicious lymph node enlargement or inconclusive CT findings, further evaluations such as positron emission tomography (PET)/CT or biopsy were recommended, depending on the lesion location and the patient’s clinical situation, to ensure accurate clinical staging before surgery. Systematic mediastinal lymph node dissection was performed in all patients regardless of the type of resection, except for those with a high surgical risk, in whom lymph node sampling was conducted instead. The postoperative staging was based on the American Joint Committee on Cancer (AJCC) and Union for International Cancer Control (UICC) 8th edition of TNM for lung cancer. Patients with postoperative pathologically confirmed T2aN0M0 (stage IB) were selected. A flow chart of the patient selection process is shown in Figure S1.
Clinical, laboratory, and pathologic data evaluation
Clinical and pathologic information included patient sex, age, smoking status, tumor size, postoperative pathologic subtype and differentiation, micropapillary component, lymphovascular invasion, STAS, pleural invasion, gene mutation, and treatment with postoperative adjuvant therapy. In this study, we reviewed 971 NSCLC surgical specimens and prepared pathologic sections by paraffin embedding and routine hematoxylin-eosin staining. The pathology sections were reviewed by two pathologists in a double-blind fashion, with specific attention to the presence of STAS. In case of any discrepancy, a joint review was performed and an attending senior pathologist was consulted for final consensus. Evaluation included: diagnosis, pathologic subtype, presence of pleural invasion, presence of STAS, and presence of vascular invasion. Molecular profiling, including EGFR, KRAS, ALK and other mutation testing, was conducted exclusively in patients diagnosed with LUAD. The medical imaging evaluation was completed by two experienced radiologists, and having a GGO component was defined as the presence of GGO component in the lesion on the patient’s preoperative thin-slice CT (1 mm) of the chest. The proportion of GGO components was temporarily ignored in this study to eliminate bias due to subjective factors such as measurement error.
Follow-up and clinical outcome
Follow-up clinical data were obtained by a review of medical records or telephone interviews. The primary outcome was DFS, defined as the time from the date of surgery to the date of first recurrence, metastasis, or last follow-up. The second outcome was OS, defined as the time from the date of surgery to the date of death or last follow-up. The data were censored on April 30, 2022, with a median follow-up time of 51 months.
Statistical analysis
Continuous variables were described using median (interquartile range) and normality was first determined using the Shapiro-Wilk test, normal P values were tested using the t-test, and non-normal P values were tested using the Kruskal-Wallis test. Categorical variables were expressed using n (%) and P values were tested using the chi-squared test or Fisher’s exact test. In this study, SPSS Statistics (version 20.0) and R software (version 4.2.2) were used to perform statistical analyses and to plot survival curves using the log-rank and Kaplan-Meier methods. The Cox proportional hazard model was used to calculate the HR and 95% confidence interval (CI), and the difference was considered statistically significant at P<0.05.
Results
Baseline characteristics of stage IB NSCLC
The total number of patients with postoperative pathologically confirmed stage IB NSCLC from 2016–2020 was 1,594. Of these, 115 were not LUAD or LUSC, 27 had received neoadjuvant therapy, 22 had multiple foci, 120 had a combination of other malignancies, and 339 were lost to follow-up (Figure S1). A total of 971 patients with stage IB lung cancer were included in the study (Table 1), of which 138 (14.2%) were LUSC, 833 (85.8%) were LUAD, 498 (51.3%) were male and 473 (48.7%) were female. There were significantly more males than females in LUSC as compared to LUAD (P<0.001). The median age of patients with LUAD was 62 years and that of LUSC patients was 64.5 years. Compared to LUAD, the proportion of smokers was significantly higher in LUSC (P<0.001), suggesting that smoking may be one of the risk factors for stage IB LUSC. Among stage IB NSCLC patients, patients with LUSC tended to have tumors larger than 3 cm and no pleural invasion or GGO component, which was significantly different from patients with LUAD.
Table 1
| Characteristics | Total (n=971) | Stage IB NSCLC | P | |
|---|---|---|---|---|
| LUAD (n=833) | LUSC (n=138) | |||
| Age, years | 971 | 62.0 (55.0 to 68.0) | 64.5 (60.0 to 69.0) | 0.007 |
| Sex | ||||
| Male | 498 | 365 (43.8) | 133 (96.4) | <0.001 |
| Female | 473 | 468 (56.2) | 5 (3.6) | |
| Smoking | ||||
| No | 752 | 680 (81.6) | 72 (52.2) | <0.001 |
| Yes | 219 | 153 (18.4) | 66 (47.8) | |
| Lymphovascular invasion | ||||
| No | 886 | 758 (91.0) | 128 (92.8) | 0.61 |
| Yes | 85 | 75 (9.0) | 10 (7.2) | |
| Tumor size | ||||
| ≤3 cm | 594 | 555 (66.6) | 39 (28.3) | <0.001 |
| >3 cm | 377 | 278 (33.4) | 99 (71.7) | |
| Pleural invasion | ||||
| − | 304 | 189 (22.7) | 115 (83.3) | <0.001 |
| + | 667 | 644 (77.3) | 23 (16.7) | |
| GGO | ||||
| − | 552 | 420 (50.4) | 132 (95.7) | <0.001 |
| + | 419 | 413 (49.6) | 6 (4.3) | |
| STAS | ||||
| − | 837 | 708 (85.0) | 129 (93.5) | 0.007 |
| + | 134 | 125 (15.0) | 9 (6.5) | |
| Surg | ||||
| Lobectomy | 821 | 692 (83.1) | 129 (93.5) | 0.003 |
| Sublobectomy | 150 | 141 (16.9) | 9 (6.5) | |
| Adjuvant therapy | ||||
| − | 758 | 652 (78.3) | 106 (76.8) | 0.78 |
| + | 213 | 181 (21.7) | 32 (23.2) | |
Categorical variables are presented as n or n (%). Continuous variables are presented as median (interquartile range). GGO, ground glass opacity; LUAD, lung adenocarcinoma; LUSC, lung squamous cell carcinoma; NSCLC, non-small cell lung cancer; STAS, spread through air spaces.
Univariate analysis for OS in stage IB NSCLC
In stage IB NSCLC, age, STAS, smoking status, lymphovascular invasion, pleural invasion, GGO component, EGFR mutations and micropapillary component were strongly associated with patient survival after surgery (Table 2). Smoking (HR =1.68, P=0.03), lymphovascular invasion (HR =3.02, P<0.001), presence of STAS (HR =5.08, P<0.001), pleural invasion (HR =1.90, P=0.03) and having micropapillary component (HR =1.86, P=0.008) were associated with a poor prognosis. With a GGO component (HR =0.12, P<0.001), EGFR mutations (HR =0.50, P=0.01) were associated with a better prognosis. There was no difference in the prognosis of LUAD and LUSC in stage IB NSCLC (HR =1.41, P=0.25, Figure S2). It is worth noting here that the presence or absence of postoperative adjuvant therapy was not associated with survival prognosis in patients with stage IB NSCLC (HR =0.92, P=0.77). To further investigate the potential interaction between STAS and adjuvant therapy, we performed a subgroup analysis stratified by STAS status. The presence or absence of postoperative adjuvant therapy was not associated with survival prognosis in either STAS-negative (HR =0.64, P=0.23) or STAS-positive (HR =1.32, P=0.53) subgroups of patients with stage IB NSCLC (Table S1). These findings may inform clinical decisions regarding postoperative adjuvant therapy in early-stage NSCLC.
Table 2
| Characteristic | NSCLC (n=971) | NSCLC (n=971) | |||||||||
|---|---|---|---|---|---|---|---|---|---|---|---|
| LUAD (n=833) | LUSC (n=138) | ||||||||||
| HR | 95% CI | P value | HR | 95% CI | P value | HR | 95% CI | P value | |||
| Histology | |||||||||||
| LUAD | Reference | Reference | |||||||||
| LUSC | 1.41 | 0.79, 2.53 | 0.25 | ||||||||
| Age | 1.03 | 1.00, 1.06 | 0.01* | 1.02 | 0.99, 1.05 | 0.12 | 1.09 | 1.01, 1.18 | 0.02* | ||
| Sex | |||||||||||
| Female | Reference | Reference | Reference | Reference | Reference | Reference | |||||
| Male | 1.48 | 0.93, 2.36 | 0.10 | 1.47 | 0.88, 2.45 | 0.14 | 0.58 | 0.08, 4.43 | 0.60 | ||
| Smoking | |||||||||||
| − | Reference | Reference | Reference | Reference | Reference | Reference | |||||
| + | 1.68 | 1.03, 2.76 | 0.03* | 1.62 | 0.90, 2.92 | 0.11 | 1.48 | 0.51, 4.27 | 0.47 | ||
| Lymphovascular invasion | |||||||||||
| − | Reference | Reference | Reference | Reference | Reference | Reference | |||||
| + | 3.02 | 1.71, 5.35 | <0.001*** | 3.22 | 1.76, 5.86 | <0.001*** | 2.16 | 0.27, 17.4 | 0.47 | ||
| Tumor size | 1.15 | 0.94, 1.41 | 0.17 | 1.14 | 0.89, 1.45 | 0.30 | 1.04 | 0.65, 1.67 | 0.87 | ||
| Pleural invasion | |||||||||||
| − | Reference | Reference | Reference | Reference | Reference | Reference | |||||
| + | 1.90 | 1.04, 3.46 | 0.03* | 4.75 | 1.49, 15.2 | 0.009** | 1.94 | 0.61, 6.20 | 0.26 | ||
| GGO | |||||||||||
| − | Reference | Reference | Reference | Reference | Reference | Reference | |||||
| + | 0.12 | 0.05, 0.30 | <0.001*** | 0.13 | 0.05, 0.32 | <0.001*** | 0.00 | 0.00, Inf | >0.99 | ||
| STAS | |||||||||||
| − | Reference | Reference | Reference | Reference | Reference | Reference | |||||
| + | 5.08 | 3.17, 8.14 | <0.001*** | 5.64 | 3.37, 9.43 | <0.001*** | 6.98 | 1.34, 36.3 | 0.02* | ||
| Mutation | |||||||||||
| − | Reference | Reference | Reference | Reference | |||||||
| EGFR | 0.50 | 0.30, 0.85 | 0.01** | 0.53 | 0.29, 0.98 | 0.04* | |||||
| KRAS | 1.98 | 0.90, 4.34 | 0.08 | 2.16 | 0.93, 5.02 | 0.07 | |||||
| ALK | 0.00 | 0.00, Inf | >0.99 | 0.00 | 0.00, Inf | >0.99 | |||||
| HER2 | 1.82 | 0.55, 5.98 | 0.33 | 1.96 | 0.57, 6.69 | 0.28 | |||||
| Others | 0.84 | 0.11, 6.15 | 0.86 | 0.89 | 0.12, 6.73 | 0.91 | |||||
| Micropapillary | |||||||||||
| − | Reference | Reference | Reference | Reference | |||||||
| + | 1.86 | 1.18, 2.94 | 0.008** | 2.43 | 1.43, 4.13 | 0.001*** | |||||
| Surg | |||||||||||
| Lobectomy | Reference | Reference | Reference | Reference | Reference | Reference | |||||
| Sublobectomy | 1.18 | 0.63, 2.19 | 0.60 | 1.35 | 0.72, 2.55 | 0.35 | 0.00 | 0.00, Inf | >0.99 | ||
| Adjuvant therapy | |||||||||||
| − | Reference | Reference | Reference | Reference | Reference | Reference | |||||
| + | 0.92 | 0.54, 1.57 | 0.77 | 1.08 | 0.61, 1.91 | 0.80 | 0.43 | 0.10, 1.92 | 0.27 | ||
*, P<0.05; **, P<0.01; ***, P<0.001. CI, confidence interval; GGO, ground glass opacity; HR, hazard ratio; LUAD, lung adenocarcinoma; LUSC, lung squamous cell carcinoma; NSCLC, non-small cell lung cancer; STAS, spread through air spaces.
Multivariate analysis for OS in stage IB NSCLC
Age, STAS, smoking status, lymphovascular invasion, pleural invasion, GGO component, micropapillary component, and gene mutation were included in the multivariate analysis (Table 3), which showed that STAS was associated with poor prognosis in both LUAD and LUSC (HR =6.72, P<0.001; HR =18.0, P=0.007). GGO component was associated with better prognosis only in LUAD (HR =0.18, P<0.001) but not in LUSC (P>0.99). Our data showed that only 6 of 138 patients with LUSC had a GGO component in their lesions, with most patients having lesions with a predominantly solid component on imaging. This was very different from LUAD and may be related to the development of two different pathologic conditions. Pleural invasion had a similar structure and was associated with prognosis in LUAD (HR =6.72, P=0.01) but not in LUSC (HR =3.48, P=0.21). In conclusion, the presence of a GGO component was associated with a favorable prognosis in patients with stage IB LUAD, whereas the presence of STAS was the main risk factor for patients with stage IB LUAD and LUSC.
Table 3
| Characteristic | NSCLC (n=971) | NSCLC (n=971) | |||||||||
|---|---|---|---|---|---|---|---|---|---|---|---|
| LUAD (n=833) | LUSC (n=138) | ||||||||||
| HR | 95% CI | P value | HR | 95% CI | P value | HR | 95% CI | P value | |||
| Age | 1.01 | 0.98, 1.05 | 0.53 | 1.01 | 0.97, 1.04 | 0.71 | 1.05 | 0.92, 1.21 | 0.46 | ||
| Smoking | |||||||||||
| − | Reference | Reference | Reference | Reference | Reference | Reference | |||||
| + | 1.48 | 0.62, 3.57 | 0.38 | 0.89 | 0.31, 2.52 | 0.82 | 212,501,805 | 0.00, Inf | >0.99 | ||
| Lymphovascular invasion | |||||||||||
| − | Reference | Reference | Reference | Reference | Reference | Reference | |||||
| + | 1.11 | 0.36, 3.37 | 0.86 | 0.85 | 0.27, 2.69 | 0.79 | 0.00 | 0.00, Inf | >0.99 | ||
| Pleural invasion | |||||||||||
| − | Reference | Reference | Reference | Reference | Reference | Reference | |||||
| + | 3.82 | 1.29, 11.3 | 0.01* | 6.72 | 1.44, 31.3 | 0.01* | 3.48 | 0.50, 24.2 | 0.21 | ||
| GGO | |||||||||||
| − | Reference | Reference | Reference | Reference | Reference | Reference | |||||
| + | 0.17 | 0.07, 0.46 | <0.001*** | 0.18 | 0.07, 0.47 | <0.001*** | 0.66 | 0.00, Inf | >0.99 | ||
| STAS | |||||||||||
| − | Reference | Reference | Reference | Reference | Reference | Reference | |||||
| + | 8.35 | 4.32, 16.1 | <0.001*** | 6.72 | 3.39, 13.3 | <0.001*** | 18.0 | 2.22, 145 | 0.007** | ||
| Mutation | |||||||||||
| − | Reference | Reference | Reference | Reference | |||||||
| EGFR | 0.45 | 0.20, 1.00 | 0.05 | 0.50 | 0.22, 1.12 | 0.09 | |||||
| KRAS | 1.82 | 0.57, 5.82 | 0.31 | 2.44 | 0.70, 8.52 | 0.16 | |||||
| ALK | 0.00 | 0.00, Inf | >0.99 | 0.00 | 0.00, Inf | >0.99 | |||||
| HER2 | 3.37 | 0.87, 13.0 | 0.07 | 2.66 | 0.67, 10.6 | 0.16 | |||||
| Others | 0.52 | 0.06, 4.73 | 0.56 | 0.72 | 0.08, 6.52 | 0.77 | |||||
| Micropapillary | |||||||||||
| − | Reference | Reference | Reference | Reference | |||||||
| + | 0.90 | 0.38, 2.13 | 0.82 | 1.24 | 0.56, 2.79 | 0.60 | |||||
*, P<0.05; **, P<0.01; ***, P<0.001. CI, confidence interval; GGO, ground glass opacity; HR, hazard ratio; LUAD, lung adenocarcinoma; LUSC, lung squamous cell carcinoma; NSCLC, non-small cell lung cancer; STAS, spread through air spaces.
Survival and recurrence of patients with stage IB NSCLC
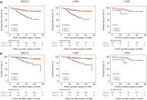
Given the impact of STAS on the prognosis of patients with LUAD and LUSC and the impact of GGO and pleural invasion on the prognosis of patients with LUAD, the survival analysis of patients with stage IB NSCLC was performed here according to the presence or absence of STAS (Figure 1) and the survival analysis of patients with stage IB LUAD was performed according to the presence or absence of the GGO component (Figure 2). The survival analysis according to pleural invasion of patients with stage IB LUAD was also performed (Figure S3). The median follow-up time was 51 months, with DFS as the primary study endpoint and OS as the secondary study endpoint. It was found that stage IB NSCLC patients (both LUAD and LUSC) with STAS-negative postoperative pathologic testing possessed longer DFS (P<0.001; P=0.11) and OS (P<0.001; P=0.007). For GGO, patients with stage IB LUAD whose tumors had a GGO component had longer DFS and OS (P<0.001).
Combined STAS and GGO analysis of prognosis in patients with stage IB NSCLC
In patients with stage IB LUAD, multivariate regression analysis showed that both STAS and GGO components were associated with prognosis. Here, we included STAS and GGO jointly in the analysis, and categorized the patients with stage IB LUAD into four subgroups: STAS(+)/GGO(+), STAS(+)/GGO(−), STAS(−)/GGO(+), and STAS(−)/GGO(−), respectively. It can be found that the STAS (+)/GGO (−) group had a significantly worse prognosis; their DFS and OS were significantly lower than the other three groups, and all of them had P<0.0001 (Figure 3). Correspondingly, the STAS(−)/GGO(+) group had a better prognosis than all the other three groups (Figure 3). It can be concluded that STAS positivity and GGO negativity are indicators of poor prognosis in stage IB LUAD. Moreover, in patients with stage IB LUAD, the presence of a GGO component within the lesion became an important prognostic factor, even counteracting to some extent the adverse effects caused by STAS. Therefore, when making prognostic judgment of stage IB LUAD, combined STAS and GGO should be used to make judgments, i.e., dual judgment of imaging and pathology.
Discussion
With the continuous improvement of lung cancer screening technology, early-stage lung cancer has been detected more frequently. According to the Surveillance, Epidemiology, and End Results (SEER) and National Cancer Database (NCDB) databases, the proportion of stage I has been increasing year by year, while the proportion of stage IV has been decreasing year by year in NSCLC in the U.S. (8,9). Surgery is still an important treatment for stage IB lung cancer as an early-stage lung cancer, but there is still much room for improvement in the prognosis of patients with stage IB compared with the better prognosis of patients with stage IA (10-12). Identifying poor prognostic factors in early-stage lung cancer and taking appropriate treatment measures based on these risk factors may significantly improve the prognosis of stage I lung cancer patients.
In this retrospective study, we found that the presence or absence of STAS and the presence or absence of GGO component were independent risk factors for prognosis in stage IB LUAD, which is consistent with some of the previous results (7,13), and our study re-validated these findings in stage IB. STAS has been found to be associated with recurrent metastasis and poor prognosis in many pathological types of lung cancer, including LUAD (14,15). STAS may be associated with pathological subtypes such as micropapillary, which have a certain degree of aggressiveness. However, the mechanism of STAS formation and the molecular biology behind STAS are not well understood. Some studies now suggest that the occurrence of STAS is associated with epithelial-mesenchymal transition (EMT) (16-18), and the complex tumor immune microenvironment also contributes to the occurrence and progression of STAS (19,20). Clearly explaining the mechanism of STAS may not only provide more objective evidence for the assessment of STAS, but also provide new ideas for the prevention and treatment of recurrent metastasis of lung cancer. And GGO as an imaging concept has received more attention in recent years, especially in the prognosis of early-stage lung cancer (21). The GGO component on imaging often corresponds to the appositional type on pathology, which is a pathological subtype with a better prognosis (22). Numerous studies (such as the Japan Clinical Oncology Group series studies) have shown that lesions with a certain threshold range of GGO components have an excellent prognosis, yet there is still a lack of research on Stage IB lung cancer with GGO component lesions. In our study, we found that the GGO component significantly improved the prognosis of patients with Stage IB pulmonary adenocarcinoma. In this study, we did not stratify GGO by proportion, but we did analyze its presence or absence, which avoided selection bias. Future research will focus on the prognostic value of GGO proportion and identifying predictive thresholds in stage IB LUAD, possibly using artificial intelligence (AI) to enhance accuracy. Additionally, we observed that patients with Stage IB squamous cell carcinoma primarily present with solid tumors, and the proportion containing GGO components is very low, which also indicates different biological developmental patterns between adenocarcinoma and squamous cell carcinoma. Furthermore, combined GGO and STAS for survival analysis in LUAD patients, we found that GGO is associated with improved survival and STAS associated with worse survival. Among all subgroups analyzed, patients with STAS(+) and GGO(−) tumors showed the worst survival outcomes. This finding suggested that although pathology is an important factor in guiding postoperative treatment and monitoring of lung cancer patients, imaging of the lesion is also a factor that cannot be ignored in influencing patient prognosis. Clinically, this subgroup may warrant closer postoperative surveillance and could be prioritized in future trials evaluating the benefit of adjuvant therapies in early-stage NSCLC. Identification of such high-risk patterns can help refine individualized treatment approaches beyond traditional staging criteria.
Interestingly, we found that the composition of stage IB differed between histological subtypes: most LUAD cases were classified as stage IB due to pleural invasion, while most LUSC cases were staged based on tumor size >3 cm. This discrepancy may be related to the typical anatomical distribution of LUAD and LUSC, with LUAD more often located peripherally and therefore more likely to involve the pleura, whereas LUSC tends to be more centrally located. Furthermore, these findings may reflect intrinsic differences in tumor biology, such as patterns of invasion and growth. This heterogeneity suggests that even within the same TNM stage, LUAD and LUSC patients may have distinct clinical behaviors and should be managed differently. It also highlights the need for subtype-specific risk stratification when considering adjuvant therapy. Pleural invasion is still an important consideration in incorporating pathologic staging into stage IB (10). Here, pleural invasion was found to be a risk factor affecting the prognosis of stage IB LUAD patients by multivariate analysis. However, the TNM staging of NSCLC did not distinguish between PL1 and PL2. The degree of invasion is likely to result in different prognostic outcomes and will also affect the judgment of subsequent treatment. Further subgroup analyses based on the degree of invasion may provide more sufficient evidence to guide clinical practice.
There are 11 pathological subtypes in LUAD, such as adnexal, vesicular, micropapillary and solid, and the different subtypes have different degrees of differentiation. The micropapillary subtype is one of the manifestations of invasive growth, especially in all types of metastases, where the micropapillary component is high. In addition, lung cancers with micropapillary components are more likely to metastasize regardless of the stage of the primary lung cancer (23,24). Therefore, it is generally believed that patients with predominantly solid or micropapillary components have a worse prognosis. A previous retrospective study concluded that postoperative adjuvant therapy was beneficial for the survival of a subgroup of patients with predominantly solid or micropapillary components (25). However, in our present study, multivariate analysis did not suggest that having a micropapillary component was an independent risk factor for patients with LUAD, which may be related to our small sample size and single-center study. It may be the proportion of micropapillary component rather than the presence or absence of micropapillary component that really affects prognosis. If information on the percentage of micropapillary components can be extracted from the pathology report, it may have an impact on the clinical decision of whether to use adjuvant therapy.
The need for adjuvant therapy in patients with stage IB NSCLC remains controversial (26). According to the latest NCCN guidelines, adjuvant chemotherapy is recommended when high-risk features are present, such as poorly differentiated tumors, vascular invasion, or visceral pleural involvement. In addition, testing for programmed cell death ligand 1 (PD-L1) expression, EGFR mutations, and ALK rearrangements is advised to guide the choice of appropriate systemic adjuvant therapy (27). The European Society for Medical Oncology (ESMO) guidelines, on the other hand, state that the benefit of postoperative systemic therapy remains unclear in early-stage tumors such as stage IA and IB. For tumors larger than 4 cm, adjuvant therapy may provide an OS benefit according to Lung Adjuvant Cisplatin Evaluation (LACE), although this refers to stage IB under the 7th edition of the AJCC staging system (28). Regarding targeted therapy, ADAURA study and the ESMO guidelines suggest that for stage IB patients with EGFR mutations, adjuvant osimertinib treatment after surgery can prolong survival, with therapy continuing for up to three years. However, in the field of immunotherapy, ESMO considers adjuvant immunotherapy for stage IB patients not yet a standard of care and emphasizes the need for further supporting evidence (29). As a retrospective real-world study, the possibility of selection bias in treatment decisions cannot be entirely avoided. In our cohort, adjuvant therapy decisions were made based on clinical judgment, often prioritizing patients with high-risk features. Patients with EGFR or ALK mutations received targeted therapy, others underwent chemotherapy, and a few with high PD-1/PD-L1 expression were offered immunotherapy. Although selection bias in treatment allocation is inevitable in retrospective studies, no significant survival benefit from adjuvant therapy was observed in our cohort, possibly due to the early stage of disease. The lack of subgroup analysis by treatment type is acknowledged as a limitation and will be addressed in future research. However, the subgroup analysis stratified by STAS status revealed no significant survival benefit from adjuvant therapy in either STAS-negative (HR =0.64, P=0.23) or STAS-positive patients (HR =1.32, P=0.53), which further supported that adjuvant therapy provided limited benefit to early-stage lung cancer patients. The opposite trends in HR suggested that STAS itself may have a stronger prognostic influence than adjuvant therapy in stage IB NSCLC. Furthermore, STAS can be classified into different morphological subtypes, such as micropapillary structures, solid nests, and single cells. Whether these subtypes have different impacts on the outcomes of adjuvant therapy remains unclear and requires validation in larger cohorts.
There are still some shortcomings in this study, as we reviewed NSCLC patients from January 2016 to December 2020, there are still some patients with less than five years of postoperative time, so the five-year OS and DFS data cannot be obtained. The evaluation of STAS in our study was based on independent double-blind assessments by two pathologists, with consensus resolution when needed. However, as this process may still involve a degree of subjectivity, this limitation should be taken into account when interpreting the STAS-related findings. Additionally, molecular profiling in this study was limited to commonly tested alterations such as EGFR, KRAS, and ALK. The absence of broader genomic data may limit the ability to fully assess molecular heterogeneity and its impact on prognosis. Our study has several limitations inherent to its single-center retrospective design. First, a considerable proportion of patients (21%) were lost to follow-up, most of whom were from outside the local area. As a large national referral center, our hospital receives many patients from across the country, and geographic or logistical barriers may have limited their ability to return for long-term follow-up. This may have introduced selection bias and affected the generalizability of our findings. In addition, treatment decisions in a single-center setting may be influenced by physician preferences or institutional protocols, and patients’ willingness or ability to comply with adjuvant treatment recommendations was not accounted for in the current analysis. These factors may have also influenced the actual receipt of postoperative therapy and thus impacted survival outcomes. We acknowledge this limitation and plan to perform subgroup analyses in future prospective studies when larger sample sizes are available for each treatment modality. In the future, we will continue to follow this cohort of patients to obtain the five-year OS and DFS of stage IB NSCLC patients and provide more sufficient evidence for clinical management.
Conclusions
Major pathologic type is not a risk factor for patients with stage IB NSCLC. Postoperative adjuvant therapy does not benefit patients with stage IB NSCLC. In patients with stage IB LUAD, pleural invasion, with a STAS component, and without a GGO component were associated with poor prognosis and were independent risk factors. The presence of GGO components in imaging can significantly improve the prognosis of LUAD patients, and STAS was associated with worse survival. LUAD patients with STAS(+) and GGO(−) tumors had the poorest prognosis among all subgroups, highlighting a potential high-risk population that may benefit from closer surveillance or tailored adjuvant strategies.
Acknowledgments
The abstract of this study was published in 2023 AATS International Thoracic Surgical Oncology Summit.
Footnote
Reporting Checklist: The authors have completed the STROBE reporting checklist. Available at https://jtd.amegroups.com/article/view/10.21037/jtd-2025-1097/rc
Data Sharing Statement: Available at https://jtd.amegroups.com/article/view/10.21037/jtd-2025-1097/dss
Peer Review File: Available at https://jtd.amegroups.com/article/view/10.21037/jtd-2025-1097/prf
Funding: This work was supported by
Conflicts of Interest: All authors have completed the ICMJE uniform disclosure form (available at https://jtd.amegroups.com/article/view/10.21037/jtd-2025-1097/coif). The authors have no conflicts of interest to declare.
Ethical Statement: The authors are accountable for all aspects of the work in ensuring that questions related to the accuracy or integrity of any part of the work are appropriately investigated and resolved. The study was conducted in accordance with the Declaration of Helsinki and its subsequent amendments, and approved by The Institutional Review Committee of Zhongshan Hospital, Fudan University (Shanghai, China) (B2021-128). The requirement for informed consent was waived as it was retrospective research. The clinical trial registry number of this study is NCT05979623.
Open Access Statement: This is an Open Access article distributed in accordance with the Creative Commons Attribution-NonCommercial-NoDerivs 4.0 International License (CC BY-NC-ND 4.0), which permits the non-commercial replication and distribution of the article with the strict proviso that no changes or edits are made and the original work is properly cited (including links to both the formal publication through the relevant DOI and the license). See: https://creativecommons.org/licenses/by-nc-nd/4.0/.
References
- Mao Y, Yang D, He J, et al. Epidemiology of Lung Cancer. Surg Oncol Clin N Am 2016;25:439-45. [Crossref] [PubMed]
- Wu YL, Tsuboi M, He J, et al. Osimertinib in Resected EGFR-Mutated Non-Small-Cell Lung Cancer. N Engl J Med 2020;383:1711-23. [Crossref] [PubMed]
- Kadota K, Nitadori JI, Sima CS, et al. Tumor Spread through Air Spaces is an Important Pattern of Invasion and Impacts the Frequency and Location of Recurrences after Limited Resection for Small Stage I Lung Adenocarcinomas. J Thorac Oncol 2015;10:806-14. [Crossref] [PubMed]
- Toki MI, Harrington K, Syrigos KN. The role of spread through air spaces (STAS) in lung adenocarcinoma prognosis and therapeutic decision making. Lung Cancer 2020;146:127-33. [Crossref] [PubMed]
- Fu F, Zhang Y, Wen Z, et al. Distinct Prognostic Factors in Patients with Stage I Non-Small Cell Lung Cancer with Radiologic Part-Solid or Solid Lesions. J Thorac Oncol 2019;14:2133-42. [Crossref] [PubMed]
- Aokage K, Miyoshi T, Ishii G, et al. Influence of Ground Glass Opacity and the Corresponding Pathological Findings on Survival in Patients with Clinical Stage I Non-Small Cell Lung Cancer. J Thorac Oncol 2018;13:533-42. [Crossref] [PubMed]
- Zhang Y, Fu F, Chen H. Management of Ground-Glass Opacities in the Lung Cancer Spectrum. Ann Thorac Surg 2020;110:1796-804. [Crossref] [PubMed]
- Ganti AK, Klein AB, Cotarla I, et al. Update of Incidence, Prevalence, Survival, and Initial Treatment in Patients With Non-Small Cell Lung Cancer in the US. JAMA Oncol 2021;7:1824-32. [Crossref] [PubMed]
- Singareddy A, Flanagan ME, Samson PP, et al. Trends in Stage I Lung Cancer. Clin Lung Cancer 2023;24:114-9. [Crossref] [PubMed]
- Travis WD, Asamura H, Bankier AA, et al. The IASLC Lung Cancer Staging Project: Proposals for Coding T Categories for Subsolid Nodules and Assessment of Tumor Size in Part-Solid Tumors in the Forthcoming Eighth Edition of the TNM Classification of Lung Cancer. J Thorac Oncol 2016;11:1204-23.
- Le Chevalier T. Adjuvant chemotherapy for resectable non-small-cell lung cancer: where is it going? Ann Oncol 2010;21:vii196-8. [Crossref] [PubMed]
- Rami-Porta R, Bolejack V, Crowley J, et al. The IASLC Lung Cancer Staging Project: Proposals for the Revisions of the T Descriptors in the Forthcoming Eighth Edition of the TNM Classification for Lung Cancer. J Thorac Oncol 2015;10:990-1003.
- Si H, Xu L, Zhao Y, et al. Spread Through Air Spaces in Residual Tumor Classification for Clinical IA Lung Adenocarcinoma. Ann Thorac Surg 2024;118:825-33. [Crossref] [PubMed]
- Xia T, Yuan Q, Xing SG. STAS: New explorations and challenges for thoracic surgeons. Clin Transl Oncol 2025;27:1345-55. [Crossref] [PubMed]
- Chuang CH, Liu YW, Lai WA, et al. Impact of Spread Through Air Spaces (STAS) on Recurrence and Surgical Trends in Stage I Non-Small Cell Lung Cancer: A Real-World Cohort Study. Kaohsiung J Med Sci 2025;41:e70061. [Crossref] [PubMed]
- Liu A, Sun X, Xu J, et al. Relevance and prognostic ability of Twist, Slug and tumor spread through air spaces in lung adenocarcinoma. Cancer Med 2020;9:1986-98. [Crossref] [PubMed]
- Ikeda T, Kadota K, Yoshida C, et al. The epithelial-mesenchymal transition phenotype is associated with the frequency of tumor spread through air spaces (STAS) and a High risk of recurrence after resection of lung carcinoma. Lung Cancer 2021;153:49-55. [Crossref] [PubMed]
- Yoshimoto T, Matsubara D, Soda M, et al. Mucin 21 is a key molecule involved in the incohesive growth pattern in lung adenocarcinoma. Cancer Sci 2019;110:3006-11. [Crossref] [PubMed]
- Qiu X, Chen D, Liu Y, et al. Relationship between stromal cells and tumor spread through air spaces in lung adenocarcinoma. Thorac Cancer 2019;10:256-67. [Crossref] [PubMed]
- Yoshida C, Kadota K, Ikeda T, et al. Tumor-associated macrophage infiltration is associated with a higher rate of tumor spread through air spaces in resected lung adenocarcinomas. Lung Cancer 2021;158:91-6. [Crossref] [PubMed]
- Li X, Fan F, Yang Z, et al. Ten-Year Follow-Up of Lung Cancer Patients with Resected Stage IA Invasive Non-Small Cell Lung Cancer. Ann Surg Oncol 2024;31:5729-37. [Crossref] [PubMed]
- Li M, Wang J, Bao X, et al. Minor (≤ 10%) Ground-Glass Opacity Component in Clinical Stage I Non-Small Cell Lung Cancer: Associations With Pathologic Characteristics and Clinical Outcomes. AJR Am J Roentgenol 2024;223:e2431283. [Crossref] [PubMed]
- Miyoshi T, Satoh Y, Okumura S, et al. Early-stage lung adenocarcinomas with a micropapillary pattern, a distinct pathologic marker for a significantly poor prognosis. Am J Surg Pathol 2003;27:101-9. [Crossref] [PubMed]
- Amin MB, Amin MB, Tamboli P, et al. Prognostic impact of histologic subtyping of adult renal epithelial neoplasms: an experience of 405 cases. Am J Surg Pathol 2002;26:281-91. [Crossref] [PubMed]
- Kondo K, Yoshizawa A, Nakajima N, et al. Large nest micropapillary pattern of lung adenocarcinoma has poorer prognosis than typical floret pattern: analysis of 1,062 resected tumors. Transl Lung Cancer Res 2020;9:587-602. [Crossref] [PubMed]
- Hardavella G, Magouliotis DE, Chalela R, et al. Stage I and II nonsmall cell lung cancer treatment options. Breathe (Sheff) 2024;20:230219. [Crossref] [PubMed]
- NCCN. Clinical Practice Guidelines in Oncology: Non-Small Cell Lung Cancer 2025. Version 2.2025. Available online: https://www.nccn.org.
- Pignon JP, Tribodet H, Scagliotti GV, et al. Lung adjuvant cisplatin evaluation: a pooled analysis by the LACE Collaborative Group. J Clin Oncol 2008;26:3552-9. [Crossref] [PubMed]
- Remon J, Soria JC, Peters S, et al. Early and locally advanced non-small-cell lung cancer: an update of the ESMO Clinical Practice Guidelines focusing on diagnosis, staging, systemic and local therapy. Ann Oncol 2021;32:1637-42. [Crossref] [PubMed]

