Application of tubeless anesthesia for enhanced recovery after thoracoscopic wedge resection of the lung: a randomized trial
Highlight box
Key findings
• Tubeless anesthesia can reduce postoperative complications and promote enhanced recovery, including earlier oral intake, earlier ambulation, shorter hospitalization, and reduced costs.
What is known and what is new?
• Tubeless anesthesia is feasible for minor thoracoscopic surgery.
• Tubeless anesthesia can reduce postoperative complications and promote enhanced recovery in selected low-risk patients undergoing short-duration thoracoscopic wedge resection.
What is the implication, and what should change now?
• Low-risk patients undergoing short-duration thoracoscopic wedge resection can choose tubeless anesthesia to obtain safe and comfortable medical treatment at lower costs.
Introduction
Tubeless anesthesia has emerged as a prominent research focus in perioperative medicine. In traditional thoracic anesthesia, double-lumen endotracheal tubes (DLTs) are commonly used under general anesthesia to achieve one-lung ventilation (OLV), ensuring optimal surgical conditions (1). However, DLT intubation is associated with a risk of bronchial and pharyngeal injuries, as well as a high incidence of postoperative complications such as atelectasis and hypoxemia, which significantly compromise patient safety and prognosis (2,3). Alternative approaches, such as bronchial blockers combined with single-lumen endotracheal tubes, have been explored but have demonstrated no significant advantages over DLT in reducing postoperative sore throat or hoarseness (4). To enhance postoperative recovery, nonintubated anesthesia via a laryngeal mask airway (LMA) has been increasingly used in thoracoscopic surgery (5,6). As a minimally invasive supraglottic device, the LMA is positioned in the pharynx rather than inserted into the trachea, minimizing airway irritation and trauma (7,8). This approach reduces postoperative complications such as pharyngeal pain and hoarseness, offering distinct advantages over traditional DLT intubation in thoracoscopic procedures (9). In our preliminary studies regarding pediatric thoracoscopic lobectomy, compared with endotracheal intubation with blockers, LMA combined with bronchial blockers for OLV was associated with increased tidal volume, improved ventilation, and a reduced incidence of hypercapnia without increasing complication rates (10,11). Building on these findings, this study aims to evaluate the efficacy of tubeless anesthesia with preserved spontaneous breathing in thoracoscopic wedge resection, with the goal of optimizing anesthesia management for this procedure. We present this article in accordance with the CONSORT reporting checklist (available at https://jtd.amegroups.com/article/view/10.21037/jtd-2025-894/rc).
Methods
Study design
The study was conducted in accordance with the Declaration of Helsinki and its subsequent amendments. The study was approved by the Ethics Committee of the First Affiliated Hospital of Gannan Medical University (LLSC-2023 No. 136), and registration was completed on 12 July 2023 at the Clinical Trial Centre (ChiCTR2300073484). Written informed consent was obtained from all participants prior to enrollment. One hundred and three patients who were scheduled for elective thoracoscopic wedge resection at our institution were included.
Sample size calculation
This study is a randomized controlled trial. The primary outcome was the average length of hospital stay. In a previous study, the average length of hospital stay after intubation anesthesia was approximately 6±1.8 days, whereas the average length of hospital stay after non-intubation anesthesia decreased by 1.5 days. In the PASS software, the analysis of variance (ANOVA) module was selected. The three groups of means were set as 6, 4.5, and 4.5; the standard deviation (SD) was 1.8; the test level was α=0.05; the test power was 0.9; and the estimated sample size was 29 cases per group. When the dropout rate was set at 10%, the sample size was 32 cases per group, and the total sample size was 96 cases.
Inclusion criteria: patients included in this study had an American Society of Anesthesiologists (ASA) classification of I–II, age of 20–60 years, body mass index (BMI) of 18–23 kg/m2, preoperative oxygen saturation (SpO2) >94%, and an anticipated surgical duration of 1.5–2 hours.
Exclusion criteria: patients with severe respiratory diseases, active pulmonary infection, excessive airway secretions, cardiovascular/cerebrovascular diseases, hepatic/renal dysfunction, psychiatric disorders, a surgery duration >3 hours, circulatory system comorbidities, or a history of airway hypersensitivity were excluded from the study.
Randomization
We used SPSS 25.0 software to generate random numbers at a 1:1:1 ratio and divided the patients into three groups. Each group allocation scheme was placed in an opaque envelope, with a code written on the outside of the envelope, sealed, and handed to the investigators. Members of the study team distributed the randomized results for the recruited patients. For each enrolled patient, anesthesia was administered by a dedicated anesthesiologist, and intraoperative data collection was performed by the researchers. Postoperative follow-up was conducted by investigators not involved in the management of anesthesia. There was no communication between the anesthesiologist and the researcher during data collection. The outcome assessors for the subjective endpoints were blinded to group allocation throughout the data collection.
Anesthesia methods
After the patient entered the operating room, intravenous access was established. Standard monitoring, including electrocardiography (ECG), measurements of blood pressure (BP), heart rate (HR), SpO2, end-tidal CO2 pressure (PETCO2), Bispectral index (BIS), and body temperature, and invasive BP (IBP) readings were obtained before the induction of anesthesia. Paranesthesia intravenous penehyclidine hydrochloride (0.01 mg/kg) was administered. The anesthesia procedures for the three groups of patients are as follows (Table 1).
Table 1
| Step | Group A | Group B | Group C |
|---|---|---|---|
| Airway management | DLT | LMA | LMA |
| Ventilation mode | Mechanical ventilation | Spontaneous breathing | Spontaneous breathing |
| Regional block | None | Intercostal nerve block | Paravertebral nerve block |
| Block timing | None | Intraoperative | Pre-induction |
| Block site | None | Intercostal space | Paravertebral space |
| Local anesthetic | None | Ropivacaine 0.25%, 20 mL | Ropivacaine 0.25%, 20 mL |
| Key objective | OLV | Analgesia + diaphragmatic function preservation | Analgesia + diaphragmatic function preservation |
Group A, double-lumen endotracheal intubation; Group B, LMA + intercostal nerve block; Group C, LMA + paravertebral nerve block. DLT, double-lumen endotracheal tube; LMA, laryngeal mask airway; OLV, one-lung ventilation.
Group A (double-lumen endotracheal intubation)
Induction: midazolam (0.03 mg/kg), sufentanil (0.4 µg/kg), propofol (2.5 mg/kg), and cisatracurium (0.15 mg/kg) were administered intravenously. After induction, the same skilled anesthesiologist inserted a double-lumen bronchial catheter and connected the anesthesia machine for mechanical ventilation.
Maintenance: propofol and remifentanil infusions were adjusted to maintain hemodynamic stability (±20% baseline). Cisatracurium boluses (1/3–1/5 of the initial dose) were administered for muscle relaxation. The BIS was maintained at 40–60. Mechanical ventilation ensured SpO2 >95% and PETCO2 <50 mmHg.
Group B (LMA + intercostal nerve block)
Induction: midazolam (0.03 mg/kg), sufentanil (0.1 µg/kg), and propofol (2.5 mg/kg) were administered intravenously. After induction, the laryngeal mask was placed by the same skilled anesthesiologist, the anesthesia machine was connected, and spontaneous breathing was maintained.
Maintenance: propofol and remifentanil infusions were adjusted to preserve spontaneous breathing (BIS 40–60). SpO2 >90% and PETCO2 <50 mmHg were maintained. Respiratory depression was managed with manual-assisted ventilation, pressure support, or synchronized intermittent mandatory ventilation (SIMV). Intraoperative margin intercostal nerve block was performed by the surgeon through the visceral pleura under a thoracoscope. Four mL of 0.25% ropivacaine hydrochloride was injected into each intercostal space from the 3rd to 7th intercostal space on the operative side, 5–8 cm from the lateral side of the costospinal joint.
Group C (LMA + paravertebral nerve block)
Preinduction: paravertebral nerve block was performed under ultrasound guidance by the same skilled associate chief anesthesiologist. Twenty mL of 0.25% ropivacaine hydrochloride was injected into the paravertebral space at the T4–5 level.
Induction and maintenance: the protocols for anesthesia induction and maintenance were identical to those described for Group B.
Postoperatively, the propofol and remifentanil infusions were discontinued. The patients were transferred to the postanesthesia care unit (PACU). The LMA or endotracheal tubes were removed upon meeting the extubation criteria (awake state and adequate tidal volume, respiratory rate, and muscle strength), and supplemental oxygen was administered until the patient fully recovered. All patients used a patient-controlled intravenous analgesia pump for postoperative analgesia (sufentanil 100 µg and ondansetron 16 mg mixed with normal saline to a total volume of 100 mL), with a load of 2 mL, a background dose of 2 mL/h, an additional dose of 2 mL, and a locking time of 15 min. Patients in the three groups were generally managed postoperatively according to the same protocol. Additional analgesics included oral nonsteroidal analgesics and acetaminophen. Drink and food intake were resumed 2 to 4 hours after the operation.
Outcome variables
The main outcome was the level of satisfaction with the operative field during surgery for the three groups of patients (grade I, complete collapse of the lung and good exposure of the operative field; grade II, the lungs basically collapsed, but there was still residual gas; and grade III, no lung collapse, affecting the operation), as well as the operation time, hospital stay, anesthesia costs, hospitalization costs, postoperative feeding time and postoperative movement time. The occurrence of intraoperative and postoperative adverse reactions (atelectasis, hypoxemia, pulmonary infection, cough, sore throat, and hoarseness) was observed in each group. The secondary outcomes were total intubation time, repositioning number, postoperative extubation time, and recovery time. HR, mean arterial pressure (MAP), SpO2, and PETCO2 were recorded pre-intubation (laryngeal mask) (T0), 3 min post-intubation (laryngeal mask) (T1), at surgery initiation (T2), at surgery completion (T3), and post-extubation (laryngeal mask) (T4). Moreover, arterial blood gas (ABG) from the two groups of patients was collected pre-intubation (laryngeal mask) (T0’), 3 min post-intubation (laryngeal mask) (T1’), 45 min post-intubation (laryngeal mask) (T2’), and 1 hour post-surgery (T3’). pH, partial pressure of O2 (PaO2), partial pressure of CO2 (PaCO2), and arterial oxygen saturation (SaO2) values were recorded. PaO2 <80 mmHg was considered to indicate hypoxemia, and PaCO2 >45 mmHg was considered to indicate hypercapnia.
Statistical analysis
Statistical analysis was performed using SPSS 23.0 software. Continuous variables were expressed as the mean ± SD. Baseline characteristics were compared via one-way ANOVA. For outcome measures, repeated-measures ANOVA was applied, followed by the Bonferroni post-hoc correction if statistical significance (P<0.05) was reached. Categorical data were presented as frequencies (counts and percentages) and were analyzed via Chi-squared (χ2) tests. A P value <0.05 was considered to indicate statistical significance.
Results
A total of 103 patients who underwent video-assisted thoracoscopic surgery (VATS) at the First Affiliated Hospital of Gannan Medical University from July 2023 to April 2024 were included. One patient failed the intercostal nerve block, two failed the paravertebral block (PVB), and three patients were lost to follow-up. Ultimately, data from 90 patients, 30 in each group, were analyzed (Figure 1).
Baseline clinical characteristics of the patients
There were no significant differences in the clinical characteristics of the patients among the three groups, including sex, age, BMI, and ASA classification (P>0.05) (Table 2).
Table 2
| Characteristics | Group A (n=30) | Group B (n=30) | Group C (n=30) | P value |
|---|---|---|---|---|
| Gender | 0.87 | |||
| Male | 13 [43] | 11 [37] | 12 [40] | |
| Female | 17 [57] | 19 [63] | 18 [60] | |
| Age (years) | 41.53±11.84 | 41.30±13.28 | 38.63±14.00 | 0.64 |
| BMI (kg/m2) | 21.62±2.67 | 22.29±3.15 | 21.16±2.97 | 0.32 |
| ASA classification | 0.85 | |||
| I | 8 [27] | 10 [33] | 9 [30] | |
| II | 22 [73] | 20 [67] | 21 [70] |
Data are presented as n [%] or mean ± SD. Group A, double-lumen endotracheal intubation; Group B, LMA + intercostal nerve block; Group C, LMA + paravertebral nerve block. ASA, American Society of Anesthesiologists; BMI, body mass index; LMA, laryngeal mask airway; SD, standard deviation.
Comparison of surgical outcomes among the three groups
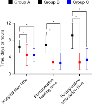
There was no difference in surgical field satisfaction among the three groups (P>0.05). Compared with Group A, Groups B and C presented significantly shorter postoperative feeding times, earlier ambulation, shorter hospitalization durations, and lower anesthesia and hospitalization costs (P<0.05) (Table 3, Figure 2).
Table 3
| Indicator | Group A (n=30) | Group B (n=30) | Group C (n=30) | P value |
|---|---|---|---|---|
| Surgical field satisfaction grading | 0.37 | |||
| I | 28 [93] | 27 [90] | 24 [80] | |
| II | 2 [7] | 3 [10] | 6 [20] | |
| III | 0 | 0 | 0 | |
| Operative time (min) | 59.77±5.41 | 72.93±5.81 | 65.73±8.12 | <0.001 |
| Hospital stay time (days) | 6.40±1.04 | 4.53±1.07 | 4.43±0.77 | <0.001 |
| Postoperative feeding time (hours) | 6.87±0.94 | 2.77±1.19 | 2.53±1.11 | <0.001 |
| Postoperative ambulation time (hours) | 9.10±1.49 | 2.73±1.01 | 3.37±1.07 | <0.001 |
| Anesthesia cost (CNY) | 2,017.47±82.54 | 1,352.67±68.74 | 1,578.23±75.49 | <0.001 |
| Hospitalization cost (10,000 CNY) | 2.63±0.06 | 2.42±0.04 | 2.51±0.05 | <0.001 |
Data are presented as n [%] or mean ± SD. Group A, double-lumen endotracheal intubation; Group B, LMA + intercostal nerve block; Group C, LMA + paravertebral nerve block. CNY, Chinese yuan; LMA, laryngeal mask airway; SD, standard deviation.
Comparison of adverse events among the three groups
There were no differences in postoperative atelectasis or pulmonary infection rates among the three groups (P>0.05). Compared with Group A, Groups B and C presented a greater incidence of intraoperative hypoxemia, although the difference was not statistically significant (P>0.05). However, the incidence of postoperative cough, sore throat, and hoarseness was significantly lower in Groups B and C than in Group A (P<0.05) (Table 4).
Table 4
| Complications | Group A (n=30) | Group B (n=30) | Group C (n=30) | P value |
|---|---|---|---|---|
| Atelectasis | 3 (10.0) | 2 (6.7) | 2 (6.7) | >0.99 |
| Hypoxemia | 6 (20.0) | 3 (10.0) | 4 (13.3) | 0.65 |
| Pulmonary infection | 3 (10.0) | 4 (13.3) | 4 (13.3) | >0.99 |
| Paroxysmal cough | 8 (26.7) | 2 (6.7) | 2 (6.7) | 0.047 |
| Sore throat | 16 (53.3) | 5 (16.7) | 6 (20.0) | 0.003 |
| Hoarseness | 5 (16.7) | 1 (3.3) | 1 (3.3) | 0.21 |
Data are presented as n (%). Group A, double-lumen endotracheal intubation; Group B, LMA + intercostal nerve block; Group C, LMA + paravertebral nerve block. LMA, laryngeal mask airway.
Comparison of perioperative anesthesia-related parameters among the three groups
Compared with Group A, Groups B and C presented significantly shorter total intubation times, shorter postoperative extubation times, and faster recovery times (P<0.05) (Table 5).
Table 5
| Indicator | Group A | Group B | Group C | P value |
|---|---|---|---|---|
| Total intubation time (min) | 19.67±3.07 | 8.17±1.34 | 7.87±1.14 | <0.001 |
| Repositioning number | 3 [10] | 1 [3] | 1 [3] | 0.61 |
| Postoperative extubation time (min) | 51.33±5.27 | 25.73±2.77 | 28.10±4.06 | <0.001 |
| Recovery time (min) | 86.13±9.54 | 45.60±3.33 | 50.47±4.42 | <0.001 |
Data are presented as n [%] or mean ± SD. Group A, double-lumen endotracheal intubation; Group B, LMA + intercostal nerve block; Group C, LMA + paravertebral nerve block. LMA, laryngeal mask airway; SD, standard deviation.
Comparison of intraoperative hemodynamic parameters among the three groups
At T2 and T3, the SpO2 in Groups B and C was lower than that in Group A (P<0.05). At baseline (T0), there were no significant differences in the MAP, HR, or PETCO2 among the groups. At T1 and T4, the MAP and HR in Groups B and C were significantly lower than those in Group A (P<0.05). At T2 and T3, the PETCO2 in Groups B and C was significantly greater than that in Group A (P<0.05) (Figure 3). Notably, the MAP in Group C was lower than that in Group B at T1, T2, and T3 (P<0.05), but this difference was not statistically significant at T4 (P>0.05) (Table 6).
Table 6
| Indicator | Group | T0 | T1 | T2 | T3 | T4 |
|---|---|---|---|---|---|---|
| MAP (mmHg) | A | 94.90±2.19 | 98.37±3.99c | 75.20±2.01cd | 79.27±2.72cde | 91.50±4.76cdef |
| B | 93.77±2.16 | 82.20±3.16ac | 81.47±3.91ac | 80.47±2.89cd | 82.57±2.85acf | |
| C | 94.10±2.22 | 76.77±4.12abc | 72.20±2.88abcd | 76.23±2.71abce | 80.6±2.71acdef | |
| HR (bpm) | A | 77.27±1.84 | 89.20±3.43c | 62.60±1.22cd | 65.17±2.20cde | 74.10±3.61cdef |
| B | 76.90±2.06 | 68.13±3.25ac | 61.73±2.00cd | 62.87±1.22acde | 65.23±1.92acdef | |
| C | 76.37±1.52 | 67.00±2.13ac | 62.27±1.05cd | 61.97±1.47acd | 65.67±2.47acef | |
| SpO2 (%) | A | 97.27±0.64 | 97.97±0.49c | 99.47±0.51cd | 99.67±0.48de | 94.27±0.58cdef |
| B | 97.53±0.49 | 99.57±0.50ac | 95.83±0.38acd | 97.33±0.55ade | 96.60±0.50acdef | |
| C | 97.27±0.52 | 98.10±0.61bc | 96.33±0.48abcd | 97.97±0.49abcd | 95.37±0.56abcdef | |
| PETCO2 (mmHg) | A | 35.83±1.82 | 45.00±1.29c | 45.67±1.52c | 43.07±1.31cde | 43.87±2.05cde |
| B | 36.83±1.23 | 42.57±2.19ac | 66.50±3.85acd | 50.60±2.46acde | 43.07±1.70cef | |
| C | 36.60±1.75 | 43.53±2.01ac | 68.17±2.97acd | 52.07±2.90abcde | 43.13±1.04cef |
Data are presented as mean ± SD. a, P<0.05, compared to Group A; b, P<0.05, compared to Group B; c, P<0.05, compared to T0; d, P<0.05, compared to T1; e, P<0.05, compared to T2; f, P<0.05, compared to T3. Group A, double-lumen endotracheal intubation; Group B, LMA + intercostal nerve block; Group C, LMA + paravertebral nerve block. T0, pre-intubation; T1, 3 min post-intubation; T2, at surgery initiation; T3, at surgery completion; T4, post-extubation. HR, heart rate; LMA, laryngeal mask airway; MAP, mean arterial pressure; PETCO2, end-tidal CO2 pressure; SD, standard deviation; SpO2, pulse oxygen saturation.
Comparison of perioperative ABG parameters among the three groups
At T2’, the SaO2 in Groups B and C was lower than that in Group A (P<0.05). At baseline (T0’), there were no significant differences in pH or PaCO2 among the groups. Compared with Group A, Groups B and C presented significantly lower pH values and greater PaCO2 values at T2’ (P<0.05). Additionally, the PaO2 in Groups B and C was significantly greater than that in Group A at T2’ and T3’ (P<0.05) (Table 7).
Table 7
| Indicator | Group | T0’ | T1’ | T2’ | T3’ |
|---|---|---|---|---|---|
| pH | A | 7.41±0.02 | 7.35±0.02c | 7.33±0.02cd | 7.35±0.02ce |
| B | 7.40±0.02 | 7.36±0.02c | 7.20±0.02acd | 7.33±0.02acde | |
| C | 7.40±0.02 | 7.36±0.02c | 7.21±0.02acd | 7.32±0.02acde | |
| PaO2 (mmHg) | A | 85.30±2.71 | 256.50±8.72c | 113.53±10.90cd | 97.37±5.31cde |
| B | 85.43±2.11 | 266.47±11.30ac | 177.93±13.82acd | 111.47±6.28acde | |
| C | 85.33±1.67 | 261.23±11.48c | 179.23±15.49acd | 113.80±5.05acde | |
| PaCO2 (mmHg) | A | 38.20±1.56 | 45.60±1.71c | 44.93±2.33c | 45.90±1.94c |
| B | 38.73±1.31 | 45.93±2.15c | 68.40±4.21acd | 44.83±1.82cde | |
| C | 38.17±1.32 | 43.90±1.88abc | 68.43±2.39acd | 44.50±1.85ace | |
| SaO2 (%) | A | 97.60±0.89 | 98.33±0.55c | 99.17±0.46cd | 95.13±0.94cde |
| B | 97.37±0.56 | 99.87±0.35ac | 95.37±1.00acd | 97.30±0.79ade | |
| C | 97.23±0.57 | 99.67±0.48ac | 96.80±0.61abcd | 96.33±0.84abcde |
Data are presented as mean ± SD. a, P<0.05, compared to Group A; b, P<0.05, compared to Group B; c, P<0.05, compared to T0’; d, P<0.05, compared to T1’; e, P<0.05, compared to T2’. Group A, double-lumen endotracheal intubation; Group B, LMA + intercostal nerve block; Group C, LMA + paravertebral nerve block. T0’, pre-intubation; T1’, 3 min post-intubation; T2’, 45 min post-intubation; T3’, 1 hour post-surgery. ABG, arterial blood gas; LMA, laryngeal mask airway; PaCO2, partial pressure of CO2, PaO2, partial pressure of O2; SaO2, arterial oxygen saturation; SD, standard deviation.
Discussion
With advancements in medical technology, VATS has been widely adopted in thoracic surgery (12). Thoracoscopic wedge resection has become a common approach for treating pulmonary diseases due to its minimal invasiveness, reduced postoperative pain, attenuated stress response, and faster recovery (13). However, perioperative indwelling devices (such as urinary catheters, central venous catheters, chest drains, and endotracheal tubes) remain critical barriers to enhanced recovery (14-16). To address this issue, tubeless anesthesia management has been gradually implemented in the context of thoracoscopic wedge resection (17). Tubeless anesthesia avoids intraoperative DLT intubation, minimizes postoperative chest drainage, and prioritizes early removal of central venous and urinary catheters, ultimately reducing surgical stress and accelerating recovery (18). Achieving tubeless anesthesia requires preserving spontaneous breathing and utilizing an LMA for respiratory support (19). However, further research is needed to validate the efficacy, safety, and recovery benefits of tubeless anesthesia compared with traditional DLT intubation in thoracoscopic wedge resection (17,20,21). This study compared conventional DLT intubation with LMA-based anesthesia with preserved spontaneous breathing, with the aim of providing clinical insights into the use of tubeless anesthesia.
LMA-based anesthesia with preserved spontaneous breathing achieved satisfactory results in terms of the surgical field and operative time comparable to those of traditional DLT intubation, confirming its safety and feasibility for thoracoscopic wedge resection. Notably, the LMA group demonstrated significant advantages in terms of postoperative recovery, including earlier oral intake, earlier ambulation, shorter hospitalization, and reduced anesthesia and hospitalization costs. These benefits may stem from reduced opioid usage and enhanced regional analgesia via nerve blocks (22). Importantly, the LMA group presented lower incidences of postoperative cough, sore throat, and hoarseness than did the intubation group, likely because the supraglottic device minimized airway trauma (23,24).
A major challenge in tubeless anesthesia is intraoperative ventilation management (25,26). Sedatives and analgesics suppress the central respiratory drive to CO2, whereas rebreathing exhaled gases increases the risk of perioperative hypercapnia (23,27). In this study, the LMA group presented significantly elevated PaCO2 and a reduced pH at 45 min post-intubation compared with the double-lumen group, which was consistent with expectations. However, these differences were resolved by 1 hour post-surgery. Clinically, 35 to 45 mmHg is considered to be a normal carbon dioxide level, and hypercapnia is defined as mild (up to 50 mmHg), moderate (55 to 70 mmHg), and severe (higher than 75 mmHg) hypercapnia (28). Permissive hypercapnia (PaCO2 <70 mmHg) is generally well tolerated in patients with preserved cardiopulmonary function (29,30). In addition, permissive hypercarbia can increase PaO2 and O2 carrying capacity and improve pulmonary mechanics during OLV, which is helpful for managing oxygenation without increasing the risk of postoperative pulmonary complications or hospital stay (28,31). Despite transient hypercapnia, SpO2 remained stable in the LMA group, confirming adequate oxygenation during surgery (32). The low incidence of intraoperative hypoxemia in the LMA group may be attributed to bilateral lung oxygenation during spontaneous ventilation, coupled with physiologically limited tidal volumes insufficient to reinflate the collapsed operative lung. Additionally, the hemodynamic stability of the LMA group matched that of the intubation group, validating the safety of tubeless anesthesia for short-duration VATS. Therefore, LMA-based general anesthesia with preserved spontaneous breathing is safe and feasible for thoracoscopic wedge resection. To mitigate opioid-induced respiratory depression, regional nerve block is essential for maintaining spontaneous breathing under LMA anesthesia (33-35). These blocks reduce surgical stress and stabilize hemodynamics (36). However, during surgery, patients who received a PVB had a lower MAP than patients who received an intercostal block. This may have occurred because local anesthetics spread from the paravertebral space to the epidural space, resulting in hypotension and bradycardia, but PVB can provide analgesic effects comparable to those of thoracic epidural blocks (37,38). Intercostal nerve blocks can block the intercostal nerve near the surgical incision, but the duration of the analgesic effect is limited to 6 to 8 hours, and the use of opioids is required to maintain postoperative analgesia (39). Therefore, PVB can not only effectively manage pain but also reduce the use of analgesic drugs throughout the perioperative period, which is advantageous for pain control after thoracic surgery. A recent meta-analysis indicated that compared with PVB, erector spinae plane block (ESPB) is a simpler and safer method, achieving similar postoperative pain control and having a lower risk of sympathetic nerve block (40). However, the unpredictable spread, limited duration of action, and potential complications of ESPB also need to be taken seriously (41). In clinical practice, analgesic techniques should be individualized by weighing their risk-benefit profile against specific patient factors and surgical requirements.
Tubeless VATS avoids complications associated with DLT intubation and mechanical ventilation, such as lung injury, atelectasis, pneumonia, and hypoxemia (42). The preservation of diaphragmatic movement enhances venous return and hemodynamic stability, whereas improved pulmonary perfusion reduces ventilation-perfusion mismatch and intrapulmonary shunting, lowering the risk of perioperative hypoxemia (43). From a physiological perspective, tubeless VATS is more beneficial and less invasive than traditional DLT intubation thoracic surgery. Postoperatively, tubeless protocols shorten the duration of fasting, minimize chest tube use, and reduce hospitalization time, likely due to reduced pain intensity and opioid consumption (44,45).
However, this study is not without limitations. First, the single-center design and relatively small sample size may limit generalizability. Second, the applicability of tubeless anesthesia to thoracic surgeries exceeding 2 hours remains unverified. Third, differences in anesthesia protocols between the tubeless groups (Groups B and C) preclude direct comparisons, necessitating cautious interpretations of feasibility and safety. In addition, the inability to blind anesthesiologists and surgeons represents a potential source of performance bias. Finally, while LMA-based anesthesia is feasible for minor procedures (such as orthopedic, gynecologic, or pediatric surgeries), major surgeries still require controlled ventilation via endotracheal intubation to ensure airway security.
Conclusions
LMA-based general anesthesia with preserved spontaneous breathing is feasible in selected low-risk patients undergoing short-duration thoracoscopic wedge resection, provided that sufficient regional nerve blockade and adequate anesthetic sedation are achieved. This approach effectively reduces the incidence of postoperative adverse events and promotes enhanced recovery after surgery (ERAS), aligning with the goals of minimizing perioperative complications and accelerating patient rehabilitation.
Acknowledgments
We appreciate all the medical staff in the Thoracic Surgery Department of the First Affiliated Hospital of Gannan Medical University.
Footnote
Reporting Checklist: The authors have completed the CONSORT reporting checklist. Available at https://jtd.amegroups.com/article/view/10.21037/jtd-2025-894/rc
Trial Protocol: Available at https://jtd.amegroups.com/article/view/10.21037/jtd-2025-894/tp
Data Sharing Statement: Available at https://jtd.amegroups.com/article/view/10.21037/jtd-2025-894/dss
Peer Review File: Available at https://jtd.amegroups.com/article/view/10.21037/jtd-2025-894/prf
Funding: This study was supported by
Conflicts of Interest: All authors have completed the ICMJE uniform disclosure form (available at https://jtd.amegroups.com/article/view/10.21037/jtd-2025-894/coif). The authors have no conflicts of interest to declare.
Ethical Statement: The authors are accountable for all aspects of the work in ensuring that questions related to the accuracy or integrity of any part of the work are appropriately investigated and resolved. The study was conducted in accordance with the Declaration of Helsinki and its subsequent amendments. The study was approved by the Ethics Committee of the First Affiliated Hospital of Gannan Medical University (LLSC-2023 No. 136). Written informed consent was obtained from all participants prior to enrollment.
Open Access Statement: This is an Open Access article distributed in accordance with the Creative Commons Attribution-NonCommercial-NoDerivs 4.0 International License (CC BY-NC-ND 4.0), which permits the non-commercial replication and distribution of the article with the strict proviso that no changes or edits are made and the original work is properly cited (including links to both the formal publication through the relevant DOI and the license). See: https://creativecommons.org/licenses/by-nc-nd/4.0/.
References
- Marchant BE, Morris BN, Royster RL. The video double-lumen tube: does it have a future? J Thorac Dis 2023;15:2385-8. [Crossref] [PubMed]
- Kim JH, Park SH, Han SH, et al. The distance between the carina and the distal margin of the right upper lobe orifice measured by computerised tomography as a guide to right-sided double-lumen endobronchial tube use. Anaesthesia 2013;68:700-5. [Crossref] [PubMed]
- Campos JH, Massa FC, Kernstine KH. The incidence of right upper-lobe collapse when comparing a right-sided double-lumen tube versus a modified left double-lumen tube for left-sided thoracic surgery. Anesth Analg 2000;90:535-40. [Crossref] [PubMed]
- Yoo JY, Chae YJ, Park SY, et al. Time to tracheal intubation over a fibreoptic bronchoscope using a silicone left double-lumen endobronchial tube versus polyvinyl chloride single-lumen tube with bronchial blocker: a randomized controlled non-inferiority trial. J Thorac Dis 2019;11:901-8. [Crossref] [PubMed]
- Zhang K, Chen HG, Wu WB, et al. Non-intubated video-assisted thoracoscopic surgery vs. intubated video-assisted thoracoscopic surgery for thoracic disease: a systematic review and meta-analysis of 1,684 cases. J Thorac Dis 2019;11:3556-68. [Crossref] [PubMed]
- Chen J, Du Q, Lin M, et al. Transareolar Single-Port Needlescopic Thoracic Sympathectomy Under Intravenous Anesthesia Without Intubation: A Randomized Controlled Trial. J Laparoendosc Adv Surg Tech A 2016;26:958-64. [Crossref] [PubMed]
- Tanoubi I, Sun JN, Drolet P, et al. Replacing a double-lumen tube with a single-lumen tube or a laryngeal mask airway device to reduce coughing at emergence after thoracic surgery: a randomized controlled single-blind trial. Can J Anaesth 2015;62:988-95. [Crossref] [PubMed]
- van Esch BF, Stegeman I, Smit AL. Comparison of laryngeal mask airway vs tracheal intubation: a systematic review on airway complications. J Clin Anesth 2017;36:142-50. [Crossref] [PubMed]
- Nakanishi T, Sento Y, Kamimura Y, et al. Combined use of the ProSeal laryngeal mask airway and a bronchial blocker vs. a double-lumen endobronchial tube in thoracoscopic surgery: A randomized controlled trial. J Clin Anesth 2023;88:111136. [Crossref] [PubMed]
- Li XL, Zhang XM. Effects of laryngeal mask airway with endobronchial blocker on respiratory mechanics in children during one-lung ventilation. Journal of Clinical Anesthesiology 2020;36:571-3.
- Li XL, Yuan LQ. Laryngeal mask airway with endobronchial blocker for one-lung ventilation in children undergoing video-assisted thoracoscopic lobectomy. Journal of Gannan Medical University 2021;41:994-7.
- Li S, Jiang L, Ang KL, et al. New tubeless video-assisted thoracoscopic surgery for small pulmonary nodules. Eur J Cardiothorac Surg 2017;51:689-93. [Crossref] [PubMed]
- Yanik F, Karamustafaoglu YA, Yoruk Y. Outcomes of Non-intubated Versus Intubated Thoracoscopic Surgery for Primary Spontaneous Pneumothorax. Surg Laparosc Endosc Percutan Tech 2023;33:487-92. [Crossref] [PubMed]
- Elsabeeny WY, Ibrahim MA, Shehab NN, et al. Serratus Anterior Plane Block and Erector Spinae Plane Block Versus Thoracic Epidural Analgesia for Perioperative Thoracotomy Pain Control: A Randomized Controlled Study. J Cardiothorac Vasc Anesth 2021;35:2928-36. [Crossref] [PubMed]
- Kang K, Meng X, Li B, et al. Effect of thoracic paravertebral nerve block on the early postoperative rehabilitation in patients undergoing thoracoscopic radical lung cancer surgery. World J Surg Oncol 2020;18:298. [Crossref] [PubMed]
- Zhang CM, Gu YF, Shen SP, et al. Characteristics and correlation analysis of negative emotions, quality of life, and Chinese medicine syndromes in patients with lung cancer after surgery: a cross-sectional study. World J Tradit Chin Med 2023;9:307-13.
- Kim HJ, Kim M, Park B, et al. Feasibility of ventilator-assisted tubeless anesthesia for video-assisted thoracoscopic surgery. Medicine (Baltimore) 2023;102:e34220. [Crossref] [PubMed]
- Huang Y, Bo Y, Li Y, et al. The impact of tubeless anesthesia versus intubated anesthesia on cerebral oxygen saturation and postoperative cognitive function in patients undergoing video-assisted thoracoscopic surgery: a randomized trial. J Thorac Dis 2022;14:4012-30. [Crossref] [PubMed]
- Wang J, Zhou Y, Jiang Z, et al. Cost-effectiveness and postoperative outcomes of spontaneous vs. mechanical ventilation during video-assisted thoracoscopic surgery: a retrospective study. J Thorac Dis 2024;16:6888-98. [Crossref] [PubMed]
- Tsukamoto Y, Odaka M, Nakada T, et al. Comparative study of local versus general anesthesia in video-assisted thoracoscopic surgery for empyema. Asian J Surg 2023;46:4208-14. [Crossref] [PubMed]
- Liu CY, Hsu PK, Leong KI, et al. Is tubeless uniportal video-assisted thoracic surgery for pulmonary wedge resection a safe procedure? Eur J Cardiothorac Surg 2020;58:i70-6. [Crossref] [PubMed]
- Grandhi RK, Lee S, Abd-Elsayed A. The Relationship Between Regional Anesthesia and Cancer: A Metaanalysis. Ochsner J 2017;17:345-61.
- Chen JS, Cheng YJ, Hung MH, et al. Nonintubated thoracoscopic lobectomy for lung cancer. Ann Surg 2011;254:1038-43. [Crossref] [PubMed]
- Yu J, Tantraworasin A, Laohathai S. Non-intubated versus intubated video-assisted thoracoscopic lobectomy for lung cancer patients. Asian J Surg 2024;47:402-6. [Crossref] [PubMed]
- Kong XG, Wang K, Wei YT, et al. Nonintubated spontaneous ventilation versus intubated mechanical ventilation anesthesia for video-assisted thoracic surgery in terms of perioperative complications and practitioners’ workload assessments: a pilot randomized control study. BMC Anesthesiol 2024;24:99. [Crossref] [PubMed]
- Pathonsamit C, Tantraworasin A, Poopipatpab S, et al. Perioperative outcomes of non-intubated versus intubated video-assisted thoracoscopic surgery in different thoracic procedures: a propensity score-matched analysis. BMC Anesthesiol 2022;22:154. [Crossref] [PubMed]
- Wu CY, Chen JS, Lin YS, et al. Feasibility and safety of nonintubated thoracoscopic lobectomy for geriatric lung cancer patients. Ann Thorac Surg 2013;95:405-11. [Crossref] [PubMed]
- Joe YE, Lee CY, Kim N, et al. Effect of permissive hypercarbia on lung oxygenation during one-lung ventilation and postoperative pulmonary complications in patients undergoing thoracic surgery: A prospective randomised controlled trial. Eur J Anaesthesiol 2023;40:691-8. [Crossref] [PubMed]
- Zhao ZR, Lau RWH, Ng CSH. Anaesthesiology for uniportal VATS: double lumen, single lumen and tubeless. J Vis Surg 2017;3:108. [Crossref] [PubMed]
- Gendreau S, Geri G, Pham T, et al. The role of acute hypercapnia on mortality and short-term physiology in patients mechanically ventilated for ARDS: a systematic review and meta-analysis. Intensive Care Med 2022;48:517-34. [Crossref] [PubMed]
- Lee JH, Kim Y, Mun J, et al. Effects of hypercarbia on arterial oxygenation during one-lung ventilation: prospective randomized crossover study. Korean J Anesthesiol 2020;73:534-41. [Crossref] [PubMed]
- Guo Z, Yin W, Pan H, et al. Video-assisted thoracoscopic surgery segmentectomy by non-intubated or intubated anesthesia: a comparative analysis of short-term outcome. J Thorac Dis 2016;8:359-68. [Crossref] [PubMed]
- Yu MG, Jing R, Mo YJ, et al. Non-intubated anesthesia in patients undergoing video-assisted thoracoscopic surgery: A systematic review and meta-analysis. PLoS One 2019;14:e0224737. [Crossref] [PubMed]
- Grott M, Eichhorn M, Eichhorn F, et al. Thoracic surgery in the non-intubated spontaneously breathing patient. Respir Res 2022;23:379. [Crossref] [PubMed]
- Seidel R, Wree A, Schulze M. Thoracic-paravertebral blocks: comparative anatomical study with different injection techniques and volumes. Reg Anesth Pain Med 2020;45:102-6. [Crossref] [PubMed]
- Mogahed MM, Elkahwagy MS. Paravertebral Block Versus Intercostal Nerve Block in Non-Intubated Uniportal Video-Assisted Thoracoscopic Surgery: A Randomised Controlled Trial. Heart Lung Circ 2020;29:800-7. [Crossref] [PubMed]
- Wei W, Fan Y, Liu W, et al. Combined non-intubated anaesthesia and paravertebral nerve block in comparison with intubated anaesthesia in children undergoing video-assisted thoracic surgery. Acta Anaesthesiol Scand 2020;64:810-8. [Crossref] [PubMed]
- Hall Burton DM, Boretsky KR. A comparison of paravertebral nerve block catheters and thoracic epidural catheters for postoperative analgesia following the Nuss procedure for pectus excavatum repair. Paediatr Anaesth 2014;24:516-20. [Crossref] [PubMed]
- Shen L, Ye Z, Wang F, et al. Comparative analysis of the analgesic effects of intercostal nerve block, ultrasound-guided paravertebral nerve block, and epidural block following single-port thoracoscopic lung surgery. J Cardiothorac Surg 2024;19:406. [Crossref] [PubMed]
- Capuano P, Hileman BA, Martucci G, et al. Erector spinae plane block versus paravertebral block for postoperative pain management in thoracic surgery: a systematic review and meta-analysis. Minerva Anestesiol 2023;89:1042-50. [Crossref] [PubMed]
- Coppens S, Hoogma DF, Dewinter G, et al. Erector Spinae Plane Block versus Intercostal Nerve Blocks in Uniportal Videoscopic-assisted Thoracic Surgery: A Multicenter, Double-blind, Prospective Randomized Placebo-controlled Trial. Anesthesiology 2025;143:1015-25. [Crossref] [PubMed]
- Wen Y, Liang H, Qiu G, et al. Non-intubated spontaneous ventilation in video-assisted thoracoscopic surgery: a meta-analysis. Eur J Cardiothorac Surg 2020;57:428-37. [Crossref] [PubMed]
- De Conno E, Steurer MP, Wittlinger M, et al. Anesthetic-induced improvement of the inflammatory response to one-lung ventilation. Anesthesiology 2009;110:1316-26. [Crossref] [PubMed]
- Zheng J, Liang H, Wang R, et al. Perioperative and long-term outcomes of spontaneous ventilation video-assisted thoracoscopic surgery for non-small cell lung cancer. Transl Lung Cancer Res 2021;10:3875-87. [Crossref] [PubMed]
- He J, Liu J, Zhu C, et al. Expert consensus on tubeless video-assisted thoracoscopic surgery (Guangzhou). J Thorac Dis 2019;11:4101-8. [Crossref] [PubMed]

