Development of a scoring system based on a nomogram to identify malignant pleural effusion
Highlight box
Key findings
• The scoring system based on a nomogram integrating routine laboratory parameters exhibited good diagnostic performance and clinical applicability for identifying malignant pleural effusion (MPE).
What is known and what is new?
• MPE, a grave complication in advanced malignant tumors, indicates poor clinical outcomes. Certain laboratory parameters, including tumor markers demonstrate diagnostic efficacy for MPE detection.
• In this study, the nomogram-based scoring system demonstrated good performance in differentiating MPE (including lung cancer-associated MPE and cytology-negative MPE) from benign pleural effusion.
What is the implication, and what should change now?
• The nomogram-based scoring system could serve as an effective clinical tool for MPE identification, reducing unnecessary screenings and associated costs. Multi-center validation remains imperative to confirm its clinical applicability and generalizability.
Introduction
Pleural effusion (PE) is the pathological accumulation of fluid in the pleural space that can arise from a variety of disease states, typically categorized as malignant PE (MPE) or benign PE (BPE). The presence of MPE indicates advanced disease and poor survival outcomes (1). Early identification of MPE is crucial for optimizing treatment strategies and improving clinical outcomes.
Cytological analysis of pleural fluid and pleural biopsy are established standard methods for diagnosing MPE. However, pleural fluid cytology shows a poor diagnostic sensitivity (50–60%) for MPE (2,3). Thoracoscopy, while offering the highest diagnostic accuracy, is limited by its invasive nature, high costs, sampling variability, and risks of procedural complications (4). Therefore, recent studies have focused on developing noninvasive, accurate, and cost-effective diagnostic tools to identify MPE (5-8). However, current predictive models and their derived scoring systems exhibit substantial heterogeneity in variable selection and weighting methodologies.
Many tumor markers in serum and PE have been used to identify MPE (9,10). Carcinoembryonic antigen (CEA) has been reported to be the best parameter either as an absolute value in pleural fluid or as a ratio (11). A single tumor biomarker is considered insufficient in diagnostic accuracy due to their low sensitivity (approximately 0.5), while the combination of tumor markers has been shown to improve diagnostic performance (12-14). Additionally, previous studies have reported that some laboratory parameters and ratios, including adenosine deaminase (ADA), lactate dehydrogenase (LDH), cancer ratio (CR), and CR plus, can effectively identify MPE (14,15). Our objective is to systematically evaluate and screen diagnostic variables, including clinical characteristics, laboratory parameters, and tumor biomarkers, and develop a cost-effective predictive model to differentiate MPE from BPE. The predictive model is visualized as a nomogram and further adapted into a scoring system to enhance clinical utility. We present this article in accordance with the TRIPOD reporting checklist (available at https://jtd.amegroups.com/article/view/10.21037/jtd-2025-826/rc).
Methods
Study population
This retrospective, single-center, observational study was conducted in Peking Union Medical College Hospital. From December 2012 to May 2022, a total of 1,515 inpatients with PE were recruited from the Big Data Platform for Medicine.
Inclusion criteria: (I) confirmed PE by X-ray, ultrasound, or chest CT; and (II) completion of etiological investigations, including serum and pleural fluid analysis. Exclusion criteria: (I) undetermined etiology of PE; (II) age <18 years; and (III) data incomplete for analysis. Finally, 382 patients were eligible for this study.
The study was conducted in accordance with the Declaration of Helsinki and its subsequent amendments. The study was approved by the ethics committee of Peking Union Medical College Hospital (approval number K22C0057) and informed consent for this retrospective study was waived.
Diagnostic criteria
The diagnosis of MPE or BPE was made based on the combination of cytology, thoracoscopy, imagological examination, and at least a 6-month follow-up. MPE was confirmed by the presence of malignant cells in cytological smears, cell blocks, or pleural biopsies. Based on cytological results, MPE was classified into three categories, namely positive cytology, suspected cytology, and negative cytology. MPE with suspicious cytology and negative cytology were histologically diagnosed.
BPE was diagnosed based on the following criteria: (I) absence of malignant tumor cells in pathological examination of PE; (II) PE of a known etiology [such as tuberculous PE (TPE), parapneumonic effusion, or heart failure] that resolved after optimal treatment; and (III) no development of malignant disease during a follow-up period of at least 6 months. TPE was defined by microbiological evidence (acid-fast stains or Lowenstein-Jensen cultures of PE, sputum, and bronchoalveolar lavage fluid), or the presence of pleural caseating granulomas, or clinical resolution after ≥3 months of anti-tuberculosis therapy. Other BPE etiologies were classified using standardized clinical criteria (16,17). Two investigators (H.H. and J.L.) independently adjudicated all cases based on comprehensive evaluations of medical history, laboratory results, imaging findings, and therapeutic responses.
Data collection
The clinical data were extracted from the hospital information system (HIS) of Peking Union Medical College Hospital, including: (I) demographics: gender, age, smoking history, body mass index (BMI), symptoms such as loss of weight, fever (fever is defined as body temperature >37.5 ℃), night sweats; (II) blood laboratory data: blood routine examination, C-reactive protein (CRP), erythrocyte sedimentation rate (ESR), total protein (TP), ADA, LDH, and seven tumor markers including CEA, carbohydrate antigen (CA)125, CA15-3, CA19-9, cytokeratin 19 fragment (CYFRA21-1), neuron-specific enolase (NSE), and squamous cell carcinoma antigen (SCCA); (III) laboratory examination of PE: effusion cell differentiation [effusion white blood cell (WBC), percentage of lymphocyte (LC%), and percentage of neutrophil cell (NC%)], effusion biochemical parameters [ADA, LDH, TP, and glucose (Glu)], and pleural CEA, CA15-3, CA125, CA19-9; and (IV) radiological presentations: site of PE. In addition, some ratios were calculated and included in this study, such as PE/serum (PE/S) CEA (11,18), serum LDH/pleural ADA ratio (19), CR plus (CR/pleural lymphocyte count) (15,20), and age/PE ADA (20,21).
Statistical analysis
Continuous data were presented as mean ± standard deviation (SD) or median [interquartile range (IQR)]. Between-group differences were compared using independent t-test or Mann-Whitney U test. Categorical data were expressed as frequencies with percentages. Between-group differences were analyzed with the χ2 test or Fisher’s exact test. All laboratory variables and ratios were transformed into categorical variables based on the optimal cutoff values.
The patients were divided into the training and validation sets with a ratio of 7:3 using the R function “createDataPartition”. The training set was used to screen variables and construct the model. The least absolute shrinkage and selection operator (LASSO) regression technique was used for data dimension and predictor selection. Multivariable logistic regression analysis was used to develop a predictive model of MPE. A nomogram was developed to present the model. The performance of the nomogram was assessed by discrimination and calibration. Decision curve analysis (DCA) was performed to assess the clinical utility. We modified the nomogram to a scoring system, and evaluated the diagnostic performance of this scoring system using area under the curve (AUC), accuracy, sensitivity, specificity, positive predictive value (PPV), negative predictive value (NPV), positive likelihood ratio (PLR), and negative likelihood ratio (NLR) in the training set and verification set. All data were statistically analyzed using R (version 4.4.3). A two-tailed P<0.05 was considered to be significantly different.
Results
Study populations
The patient selection flow chart of this study is shown in Figure 1. A total of 382 participants (168 MPE and 214 BPE) were included in this study. In total, 70% (n=268) were randomly assigned to the training set while the remaining participants (n=114) were assigned to the internal validation set. The demographic and clinical characteristics of the subjects are shown in Table 1. The specific causes of 382 patients are shown in Table 2.
Table 1
| Parameters | BPE (n=214) | MPE (n=168) | P value |
|---|---|---|---|
| Age (years) | 63.50 (49.00, 74.75) | 65.00 (56.00, 73.00) | 0.25 |
| BMI (kg/m2) | 23.15 (20.42, 25.95) | 23.16 (21.23, 24.91) | 0.69 |
| Gender | 0.17 | ||
| Female | 127 (59.35) | 88 (52.38) | |
| Male | 87 (40.65) | 80 (47.62) | |
| Fever | <0.001 | ||
| No | 125 (58.41) | 144 (85.71) | |
| Yes | 89 (41.59) | 24 (14.29) | |
| Night sweat | 0.01 | ||
| No | 193 (90.19) | 163 (97.02) | |
| Yes | 21 (9.81) | 5 (2.98) | |
| Loss of weight | 0.60 | ||
| No | 143 (66.82) | 108 (64.29) | |
| Yes | 71 (33.18) | 60 (35.71) | |
| Smoking history | 0.77 | ||
| No | 128 (59.81) | 98 (58.33) | |
| Yes | 86 (40.19) | 70 (41.67) | |
| Site of PE | 0.002 | ||
| Unilateral | 112 (52.34) | 114 (67.86) | |
| Bilateral | 102 (47.66) | 54 (32.14) | |
| Color of PE | |||
| Non-bloody | 162 (75.70) | 99 (58.93) | <0.001 |
| Bloody | 52 (24.30) | 69 (41.07) | |
| ESR (mm/h) | 28.00 (11.00, 67.75) | 30.50 (12.75, 55.25) | >0.99 |
| CRP (mg/L) | 16.48 (5.67, 56.66) | 24.88 (12.05, 53.88) | 0.046 |
| Serum TP (g/L) | 64.00 (58.00, 69.00) | 65.50 (60.00, 69.00) | 0.28 |
| Serum LDH (U/L) | 196.00 (161.25, 246.00) | 203.50 (166.00, 275.50) | 0.056 |
| Serum CEA (ng/mL) | 1.75 (1.17, 3.14) | 7.29 (2.20, 29.93) | <0.001 |
| Serum CA15-3 (U/mL) | 12.70 (8.80, 17.80) | 16.60 (10.50, 35.20) | <0.001 |
| Serum CA19-9 (U/mL) | 10.35 (5.12, 17.15) | 18.50 (7.77, 88.40) | <0.001 |
| Serum CA125 (U/mL) | 85.20 (35.02, 170.35) | 117.25 (45.38, 244.70) | 0.01 |
| Serum CYFRA21-1 (ng/mL) | 2.43 (1.75, 3.53) | 4.55 (3.04, 9.93) | <0.001 |
| Serum NSE (ng/mL) | 13.10 (11.10, 16.10) | 15.30 (12.28, 21.00) | <0.001 |
| Serum SCCA (ng/mL) | 0.80 (0.50, 1.50) | 0.90 (0.70, 1.30) | 0.03 |
| Effusion cells (×106/L) | 3,943.00 (1,386.50, 15,323.75) | 7,598.50 (3,351.25, 34,205.75) | <0.001 |
| Effusion WBC (×106/L) | 533.00 (243.75, 1,581.50) | 936.00 (485.50, 1,512.50) | 0.003 |
| Effusion NC% | 88.80 (66.90, 96.57) | 87.80 (78.93, 94.08) | 0.68 |
| Effusion LC% | 11.20 (3.40, 33.10) | 12.30 (6.00, 21.90) | 0.51 |
| Effusion NC/LC | 0.13 (0.04, 0.49) | 0.14 (0.06, 0.27) | 0.55 |
| Effusion Glu (mmol/L) | 6.00 (4.70, 7.35) | 6.00 (4.80, 7.30) | 0.89 |
| Effusion TP (g/L) | 37.00 (27.25, 47.00) | 43.00 (37.00, 49.25) | <0.001 |
| Effusion ADA (U/L) | 0.11 (0.02, 0.33) | 0.07 (0.04, 0.13) | 0.03 |
| Effusion LDH (U/L) | 169.50 (96.25, 430.50) | 335.00 (217.00, 504.00) | <0.001 |
| Effusion CEA (ng/mL) | 0.90 (0.50, 1.60) | 43.95 (2.27, 446.95) | <0.001 |
| Effusion CA15-3 (U/mL) | 6.30 (2.90, 10.70) | 19.20 (7.68, 78.50) | <0.001 |
| Effusion CA19-9 (U/mL) | 2.65 (1.60, 4.57) | 10.90 (2.77, 160.05) | <0.001 |
| Effusion CA125 (U/mL) | 455.90 (183.40, 879.95) | 924.85 (356.65, 1,713.50) | <0.001 |
| Effusion/serum LDH | 0.84 (0.51, 2.07) | 1.46 (0.94, 2.44) | <0.001 |
| Effusion/serum TP | 0.61 (0.43, 0.72) | 0.66 (0.60, 0.73) | <0.001 |
| Effusion/serum CEA | 0.54 (0.36, 0.77) | 3.07 (0.75, 16.48) | <0.001 |
Data are presented as median (IQR) or n (%). ADA, adenosine deaminase; BMI, body mass index; BPE, benign pleural effusion; CA, carbohydrate antigen; CEA, carcinoembryonic antigen; CRP, C-reactive protein; CYFRA21-1, cytokeratin 19 fragment; ESR, erythrocyte sedimentation rate; Glu, glucose; IQR, interquartile range; LC, lymphocyte; LDH, lactate dehydrogenase; MPE, malignant pleural effusion; NC, neutrophil cell; NSE, neuron-specific enolase; PE, pleural effusion; SCCA, squamous cell carcinoma antigen; TP, total protein; WBC, white blood cell.
Table 2
| Causes of PEs | Total (n=382) | Training set (n=268) | Internal validation set (n=114) |
|---|---|---|---|
| Age (years) | 64.0 (53.0, 73.0) | 63.5 (49.0, 74.8) | 65.0 (56.0, 73.0) |
| Female | 167 (43.7) | 87 (40.7) | 80 (47.6) |
| MPE | n=168 | n=118 | n=50 |
| Lung cancer | 114 (67.8) | 80 (67.8) | 34 (68.0) |
| Breast cancer | 11 (6.5) | 9 (7.6) | 2 (4.0) |
| Ovarian cancer | 9 (5.4) | 8 (6.8) | 1 (2.0) |
| Colorectal cancer | 7 (4.2) | 4 (3.4) | 3 (6.0) |
| Lymphoma | 6 (3.6) | 3 (2.6) | 3 (6.0) |
| Mesothelioma | 12 (7.1) | 7 (5.9) | 5 (10.0) |
| Other cancers | 9 (5.4) | 7 (5.9) | 2 (4.0) |
| BPE | n=214 | n=150 | n=64 |
| Tuberculous pleurisy | 60 (28.0) | 43 (28.7) | 17 (26.5) |
| Infection | 44 (20.6) | 28 (18.7) | 16 (25.0) |
| Heart failure | 35 (16.4) | 27 (18.0) | 8 (12.5) |
| Pericarditis | 18 (8.4) | 14 (9.3) | 4 (6.3) |
| liver cirrhosis | 8 (3.7) | 5 (3.3) | 3 (4.7) |
| Renal diseases | 8 (3.7) | 7 (4.7) | 1 (1.6) |
| Other benign diseases | 41 (19.2) | 26 (17.3) | 15 (23.4) |
Data are presented as median (IQR) or n (%). Other cancers: gastric cancer, liver cancer, endometrial cancer, cervical cancer, nasopharyngeal cancer, pancreatic cancer. Infection: parapneumonic effusion and empyema. Renal diseases: nephrotic syndrome and chronic renal insufficiency. Other benign diseases: systemic lupus erythematosus, rheumatoid arthritis, sarcoidosis, Sapho syndrome, amyloidosis, Lymphatic diseases, yellow nail syndrome, chylothorax, abdominal diseases including pancreatitis, cholecystitis, liver abscesses, and others. BPE, benign pleural effusion; IQR, interquartile range; MPE, malignant pleural effusion; PE, pleural effusion.
The diagnostic performance of laboratory indicators for MPE
The diagnostic performance of some laboratory indicators of 382 patients was evaluated by R Studio software (Table 3). For tumor biomarkers, individual parameters exhibited high specificity but low sensitivity. PE CEA demonstrated the highest AUC of 0.855 [95% confidence interval (CI): 0.814–0.896] among single biomarkers. PE/S CEA further improved specificity (94.9%) compared to PE CEA alone, albeit with reduced sensitivity (63.7%). SCCA showed the highest sensitivity (78.6%) among individual tumor markers, yet exhibited critical limitations in diagnostic reliability with an AUC of 0.565 (95% CI: 0.507–0.622) and specificity of 36.4%.
Table 3
| Parameters | Cut-off | AUC (95% CI) | Sensitivity (%) | Specificity (%) | PPV (%) | NPV (%) | PLR | NLR |
|---|---|---|---|---|---|---|---|---|
| Tumor markers | ||||||||
| PE CEA (ng/mL) | 3.8 | 0.855 (0.814–0896) | 72.0 | 92.5 | 88.3 | 80.8 | 9.63 | 0.30 |
| PE/S CEA | 1.6 | 0.830 (0.788–0.873) | 63.7 | 94.9 | 90.7 | 76.9 | 12.39 | 0.38 |
| Serum CEA (ng/mL) | 5.5 | 0.777 (0.729–0.826) | 55.4 | 93.9 | 87.7 | 72.8 | 9.11 | 0.48 |
| PE CA15-3 (U/mL) | 16.0 | 0.767 (0.718–0.815) | 53.6 | 89.3 | 79.6 | 71.0 | 4.98 | 0.52 |
| Serum CYFRA21-1 (ng/mL) | 3.4 | 0.761 (0.713–0.81) | 67.9 | 73.8 | 67.1 | 74.5 | 2.59 | 0.44 |
| PE CA19-9 (U/mL) | 9.8 | 0.730 (0.678–0.783) | 51.2 | 89.3 | 78.9 | 70.0 | 4.76 | 0.55 |
| PE CA125 (U/mL) | 799.4 | 0.682 (0.628–0.736) | 57.1 | 73.8 | 63.2 | 68.7 | 2.18 | 0.58 |
| Serum CA19-9 (U/mL) | 18.0 | 0.666 (0.610–0.721) | 51.8 | 76.6 | 63.5 | 66.9 | 2.22 | 0.63 |
| Serum NSE (ng/mL) | 14.7 | 0.638 (0.582–0.694) | 57.1 | 66.4 | 57.1 | 66.4 | 1.70 | 0.65 |
| Serum CA15-3 (U/mL) | 21.5 | 0.628 (0.571–0.686) | 40.5 | 84.1 | 66.7 | 64.3 | 2.55 | 0.71 |
| Serum CA125 (U/mL) | 142.8 | 0.573 (0.515–0.631) | 47.6 | 70.1 | 55.6 | 63.0 | 1.59 | 0.75 |
| Serum SCCA (ng/mL) | 0.7 | 0.565 (0.507–0.622) | 78.6 | 36.4 | 49.3 | 68.4 | 1.24 | 0.59 |
| PE CEA + PE/S CEA | 0.4 | 0.853 (0.812–0.894) | 73.8 | 92.1 | 87.9 | 81.7 | 9.29 | 0.29 |
| PE CEA + serum CEA | 0.5 | 0.765 (0.715–0.815) | 51.2 | 97.2 | 93.5 | 71.7 | 18.26 | 0.50 |
| PE CEA + PE CA15-3 | 0.4 | 0.868 (0.831–0.906) | 78.6 | 88.3 | 84.1 | 84.0 | 6.73 | 0.24 |
| PE CEA + serum CYFRA21-1 | 0.4 | 0.819 (0.776–0.862) | 73.2 | 80.4 | 74.5 | 79.3 | 3.73 | 0.33 |
| PE CEA + PE CA19-9 | 0.4 | 0.869 (0.830–0.908) | 74.4 | 90.7 | 86.2 | 81.9 | 7.96 | 0.28 |
| PE CEA + PE CA15-3 + PE CA19-9 | 0.4 | 0.887 (0.852–0.922) | 83.3 | 87.4 | 83.8 | 87.0 | 6.61 | 0.19 |
| Other parameters | ||||||||
| Age/PE ADA | 3.6 | 0.552 (0.494–0.610) | 87.5 | 34.6 | 51.2 | 77.9 | 1.34 | 0.36 |
| Age (years) | 49.5 | 0.534 (0.476–0.592) | 87.5 | 26.2 | 48.2 | 72.7 | 1.19 | 0.48 |
| PE ADA (U/L) | 18.0 | 0.467 (0.408–0.525) | 86.9 | 30.8 | 49.7 | 75.0 | 1.26 | 0.42 |
| Serum LDH (U/L) | 255.5 | 0.557 (0.498–0.616) | 33.3 | 81.8 | 58.9 | 61.0 | 1.83 | 0.82 |
| PE LDH (U/L) | 154.5 | 0.673 (0.619–0.728) | 89.9 | 47.7 | 57.4 | 85.7 | 1.72 | 0.21 |
| PE/S LDH | 0.8 | 0.643 (0.587–0.698) | 81.0 | 49.5 | 55.7 | 76.8 | 1.60 | 0.38 |
| CR | 11.0 | 0.567 (0.509–0.624) | 87.5 | 31.8 | 50.2 | 76.4 | 1.28 | 0.39 |
| CR plus | 10.0 | 0.517 (0.459–0.575) | 94.0 | 20.6 | 48.2 | 81.5 | 1.18 | 0.29 |
| Serum TP (g/L) | 61.5 | 0.532 (0.474–0.590) | 70.8 | 42.5 | 49.2 | 65.0 | 1.23 | 0.69 |
| PE TP (g/L) | 36.5 | 0.628 (0.573–0.684) | 76.8 | 48.1 | 53.7 | 72.5 | 1.48 | 0.48 |
| PE/S TP | 0.5 | 0.632 (0.577–0.687) | 92.3 | 35.0 | 52.7 | 85.2 | 1.42 | 0.22 |
ADA, adenosine deaminase; AUC, area under the curve; CA, carbohydrate antigen; CEA, carcinoembryonic antigen; CI, confidence interval; CR, cancer ratio (serum LDH/pleural ADA ratio); CR plus, cancer ratio plus (cancer ratio/pleural lymphocyte count); CYFRA21-1, cytokeratin 19 fragment; LDH, lactate dehydrogenase; MPE, malignant pleural effusion; NLR, negative likelihood ratio; NPV, negative predictive value; NSE, neuron-specific enolase; PE, pleural effusion; PE/S, pleural effusion/serum; PLR, positive likelihood ratio; PPV, positive predictive value; SCCA, squamous cell carcinoma antigen; TP, total protein.
Tumor markers with AUC >0.7 were considered diagnostically effective. We assessed the diagnostic performance of different tumor markers in combination for identifying MPE. The combination of PE CEA and serum CEA achieved the highest specificity (97.2%), PPV (93.5%), and PLR (18.26). However, this combination had relatively low AUC of 0.765 (95% CI: 0.715–0.815) and sensitivity (51.2%). The combination of PE CEA, PE CA15-3, and PE CA19-9 showed the best diagnostic performance with the highest AUC of 0.887 (95% CI: 0.852–0.922). The sensitivity, specificity, PPV, NPV, PLR, and NLR of this combination were 83.3%, 87.4%, 83.8%, 87.0%, 6.61, and 0.19, respectively.
Additionally, we evaluated the diagnostic performance of several laboratory parameters. The results revealed that isolated blood or PE biomarkers or their derived ratios exhibited poor diagnostic accuracy, failing to achieve high sensitivity and specificity (Table 3).
The 168 MPE cases were stratified into cytology-positive (n=128) and cytology-non-positive (n=40; including suspected/negative cytology) groups for comparative analysis of tumor markers. Lung cancers constituted the majority (95/128, 74.2%) of cytology-positive MPE cases, with lung adenocarcinoma representing the predominant subtype (Table S1). Among all individual tumor markers evaluated, PE CEA and PE/S CEA levels demonstrated significant intergroup differences (P<0.05; Table S2). And PE CEA demonstrated superior diagnostic performance, achieving the highest AUC values in both cytology-positive and non-positive groups (Table S3).
Development of predictive model for MPE diagnosis
Although the combination of tumor markers can improve the diagnostic accuracy of MPE, the heterogeneity of etiology in different research groups produced different diagnostic combinations (9,13,22-24). While comprehensive tumor marker screening may enhance detection sensitivity, it does not proportionally improve diagnostic accuracy and unnecessarily increases costs (13). To balance cost and diagnostic efficiency, we incorporated CEA (effusion CEA, serum CEA, and their derived ratio) with routine laboratory parameters to develop a predictive model for MPE.
In the training set, statistically significant differences were observed in variables between the MPE and BPE groups (Table 4). LASSO regression with 10-fold cross-validation (.1se) screened 20 candidate predictors, yielding 10 non-zero coefficient variables (Figure 2; Table 5). Six predictors were retained for final model construction, including fever, age/effusion ADA, effusion LDH, effusion CEA, CR, and effusion/serum TP (Figure 3). A nomogram was developed to identify MPE based on the logistic regression model (Figure 4A), demonstrating excellent discriminative capacity (AUC =0.961; 95% CI: 0.941–0.981) with precise calibration (Hosmer-Lemeshow, P=0.98; Figure 4B) and clinical net benefit across decision thresholds (Figure 4C).
Table 4
| Parameters | BPE (n=150) | MPE (n=118) | P value |
|---|---|---|---|
| Age (years) | 0.02 | ||
| 51 | 41 (27.33) | 18 (15.25) | |
| >51 | 109 (72.67) | 100 (84.75) | |
| Fever | <0.001 | ||
| No | 93 (62.00) | 104 (88.14) | |
| Yes | 57 (38.00) | 14 (11.86) | |
| Night sweat | 0.003 | ||
| No | 136 (90.67) | 117 (99.15) | |
| Yes | 14 (9.33) | 1 (0.85) | |
| Site of PE | 0.02 | ||
| Unilateral | 76 (50.67) | 77 (65.25) | |
| Bilateral | 74 (49.33) | 41 (34.75) | |
| Color of PE | <0.001 | ||
| Non-bloody | 118 (78.67) | 71 (60.17) | |
| Bloody | 32 (21.33) | 47 (39.83) | |
| ESR (mm/h) | 0.58 | ||
| ≤12 | 44 (29.33) | 31 (26.27) | |
| >12 | 106 (70.67) | 87 (73.73) | |
| Serum TP (g/L) | 0.03 | ||
| ≤61.5 | 54 (36.00) | 28 (23.73) | |
| >61.5 | 96 (64.00) | 90 (76.27) | |
| Serum LDH (U/L) | 0.04 | ||
| ≤256 | 114 (76.00) | 76 (64.41) | |
| >256 | 36 (24.00) | 42 (35.59) | |
| Serum CEA (ng/mL) | <0.001 | ||
| ≤5.5 | 138 (92.00) | 53 (44.92) | |
| >5.5 | 12 (8.00) | 65 (55.08) | |
| Effusion WBC (×106/L) | <0.001 | ||
| ≤483 | 73 (48.67) | 29 (24.58) | |
| >483 | 77 (51.33) | 89 (75.42) | |
| Effusion TP (g/L) | <0.001 | ||
| ≤33.5 | 67 (44.67) | 19 (16.10) | |
| >33.5 | 83 (55.33) | 99 (83.90) | |
| Effusion/serum TP | <0.001 | ||
| ≤0.5 | 55 (36.67) | 7 (5.93) | |
| >0.5 | 95 (63.33) | 111 (94.07) | |
| Effusion ADA (U/L) | <0.001 | ||
| ≤18.0 | 103 (68.67) | 109 (92.37) | |
| >18.0 | 47 (31.33) | 9 (7.63) | |
| Age/effusion ADA | <0.001 | ||
| ≤2.5 | 37 (24.67) | 4 (3.39) | |
| >2.5 | 113 (75.33) | 114 (96.61) | |
| CR | <0.001 | ||
| ≤11.8 | 46 (30.67) | 12 (10.17) | |
| >11.8 | 104 (69.33) | 106 (89.83) | |
| CR plus | <0.001 | ||
| ≤13.2 | 36 (24.00) | 10 (8.47) | |
| >13.2 | 114 (76.00) | 108 (91.53) | |
| Effusion LDH (U/L) | <0.001 | ||
| ≤154 | 102 (47.66) | 17 (10.12) | |
| >154 | 112 (52.34) | 151 (89.88) | |
| Effusion/serum LDH | <0.001 | ||
| ≤0.8 | 75 (50.00) | 20 (16.95) | |
| >0.8 | 75 (50.00) | 98 (83.05) | |
| Effusion CEA (ng/mL) | <0.001 | ||
| ≤3.6 | 136 (90.67) | 28 (23.73) | |
| >3.6 | 14 (9.33) | 90 (76.27) | |
| Effusion/serum CEA | <0.001 | ||
| ≤1.4 | 138 (92.00) | 42 (35.59) | |
| >1.4 | 12 (8.00) | 76 (64.41) | |
Data are presented as n (%). ADA, adenosine deaminase; BPE, benign pleural effusion; CEA, carcinoembryonic antigen; CR, cancer ratio (serum LDH/pleural ADA ratio); CR plus, cancer ratio plus (cancer ratio/pleural lymphocyte count); ESR, erythrocyte sedimentation rate; LDH, lactate dehydrogenase; MPE, malignant pleural effusion; PE, pleural effusion; TP, total protein; WBC, white blood cell.
Table 5
| Parameters | OR (95% CI) | P value |
|---|---|---|
| Fever (yes) | 0.09 (0.03–0.27) | <0.001 |
| Night sweat (yes) | 0.12 (0.00–1.30) | 0.13 |
| Effusion ADA >18 U/L | 0.57 (0.09–3.88) | 0.56 |
| Effusion TP >33.5 g/L | 2.73 (0.76–10.22) | 0.13 |
| Serum CEA >5.5 ng/mL | 3.10 (0.70–14.45) | 0.14 |
| Effusion/serum TP >0.5 | 4.53 (1.17–18.88) | 0.03 |
| Age/effusion ADA >2.5 | 6.48 (0.97–50.71) | 0.06 |
| CR >11.8 | 16.62 (2.80–123.87) | 0.003 |
| Effusion LDH >154 U/L | 17.51 (6.10–57.57) | <0.001 |
| Effusion CEA >3.6 ng/mL | 24.70 (6.82–109.84) | <0.001 |
ADA, adenosine deaminase; CEA, carcinoembryonic antigen; CI, confidence interval; CR, cancer ratio (serum LDH/pleural ADA ratio); LASSO, least absolute shrinkage and selection operator; LDH, lactate dehydrogenase; OR, odds ratio; TP, total protein.
Predictive model validation and clinical implementation
To improve clinical applicability, we converted the nomogram to the scoring system: no fever (7 points), age/effusion ADA >2.5 (5 points), effusion/serum TP >0.5 (6 points), CR >11.8 (8 points), effusion CEA >3.6 ng/mL (10 points), and effusion LDH >154 U/L (7 points) (Table 6). This scoring system showed good discrimination (AUC =0.961; 95% CI: 0.941–0.981) with an optimal threshold of 28.5 points (Figure 5A). At the cutoff value of 28, the model demonstrated 93.2% sensitivity, 85.3% specificity, 83.3% PPV, 94.1% NPV, and likelihood ratios of 6.36 (PLR)/0.08 (NLR). The calibration curve (Figure 5B) and DCA (Figure 5C) confirmed consistency between predicted and observed probabilities, along with clinical utility across probability thresholds.
Table 6
| Parameters | Score generated from nomogram (points) | Score modified from nomogram (points) |
|---|---|---|
| Fever (no) | 71.5 | 7 |
| Age/effusion ADA >2.5 | 51.0 | 5 |
| Effusion/serum TP >0.5 | 57.2 | 6 |
| CR >11.8 | 80.1 | 8 |
| Effusion LDH >154.0 U/L | 77.6 | 8 |
| Effusion CEA >3.6 ng/mL | 100.0 | 10 |
ADA, adenosine deaminase; CEA, carcinoembryonic antigen; CR, cancer ratio (serum LDH/pleural ADA ratio); LDH, lactate dehydrogenase; TP, total protein.
In the internal validation set, this scoring system exhibited favorable discriminative ability (AUC =0.872; 95% CI: 0.803–0.942; Figure 5D). At the optimal cutoff value of 28, the model demonstrated 80.0% sensitivity, 87.5% specificity, 83.3% PPV, 84.8% NPV, and likelihood ratios of 6.40 (PLR)/0.23 (NLR). The calibration curve (Figure 5E) validated model reliability (Hosmer-Lemeshow test, P=0.39), while DCA confirmed clinical utility across thresholds >20% probability (Figure 5F).
Diagnostic performance of the scoring system in identifying lung cancer-related MPE
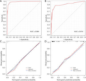
The scoring system effectively discriminated lung cancer-associated MPE from BPE, achieving AUCs of 0.984 (95% CI: 0.971–0.998) and 0.914 (95% CI: 0.845–0.984) in training and validation sets, respectively (Figure 6A,6B). The calibration curves are shown in Figure 6C,6D. At the optimal cutoff value of 28, the training set demonstrated a sensitivity of 98.8%, specificity of 85.3%, PPV of 78.2%, NPV of 99.2%, PLR of 6.73, NLR of 0.02, and an accuracy of 90.0%. In the validation cohort, the corresponding metrics were 88.2%, 87.5%, 78.9%, 93.3%, 7.06, 0.13, and 87.8%.
Diagnostic performance of the scoring system in identifying cytology-non-positive MPE
We specially apply this scoring system to distinguish cytology-non-positive MPE from BPE. We found that the AUC value of the scoring system to identify cytology-non-positive MPE (n=40) from BPE (n=214) was 0.879 (95% CI: 0.812–0.945), which had a good diagnostic performance. When the total score exceeded 28, the corresponding specificity, sensitivity, PPV, NPV, PLR, NLR, and accuracy were 95.1%, 58.8%, 75.0%, 90.2%, 11.94, 0.43, and 87.5%.
Discussion
Our study systematically evaluated laboratory indexes including tumor markers for MPE diagnosis. PE CEA was the optimal individual biomarker, achieving an AUC of 0.855 (95% CI: 0.814–0.896) at a cutoff value of 3.8 ng/mL. This finding corroborates a prior large-scale study (n=1,230) reporting a comparable threshold of 3.7 ng/mL (AUC =0.890; 95% CI: 0.871–0.907) (9). Other studies also found that PE CEA performed best among single markers, particularly in lung cancer-associated PE (25,26). And PE CEA demonstrated superior diagnostic performance across both cytology positive and suspected/negative MPE cases. However, significantly higher sensitivity and AUC values were observed in cytology positive MPE cohorts compared to non-positive cases. This discrepancy directly correlates with the predominance of lung cancer diagnoses within cytologically confirmed MPE cases. CEA was not increased when PE was derived from mesothelioma, lymphoma, and leukemia. The diagnostic sensitivity of PE CEA was consistently suboptimal in several studies, primarily attributable to its biological non-reactivity in mesothelial and hematopoietic tumor-derived effusions (3,9,27-29). The limited sensitivity or specificity of single biomarkers compromises diagnostic accuracy. Meta-analytic evidence demonstrated that CEA achieved 94% specificity but only 54% sensitivityfor MPE diagnosis (30). Accumulating evidence substantiates that tumor maker combinations demonstrated significantly higher discriminatory power than single markers in differentiating MPE from BPE (9,13,23). The CEA-centric tumor marker combinations have been extensively validated in MPE diagnosis, particularly for diagnosing lung cancer-associated MPE (9,13,23,24). Our study showed that the combination of CEA, CA15-3, and CA19-9 effusion achieved optimal diagnostic accuracy for MPE (AUC =0.887; 95% CI: 0.852–0.922), which is consistent with the most cost-effective biomarker combination reported by Wang et al. (13).
While tumor marker combinations improve diagnostic accuracy for MPE, the widespread application of predictive models is constrained by the variability of biomarkers included in studies, laboratory detection methods, and etiological classification. To address these limitations, we developed a predictive model by integrating universally accessible and diagnostic parameters. The multivariate logistic regression model (visualized via a nomogram) incorporates six clinically significant variables: fever, age/effusion ADA, effusion/serum TP, effusion CEA, effusion LDH, and CR. A simplified scoring system derived from the nomogram demonstrated robust diagnostic performance in both the training set and validation set, confirming its clinical utility for differentiating MPE from BPE. Notably, this scoring system achieved exceptional diagnostic accuracy in lung cancer-associated MPE, and more importantly, outperformed conventional single tumor biomarkers in identifying cytologically suspected or negative malignant effusions.
Wang et al. established a diagnostic nomogram incorporating six parameters (fever, ESR, ADA, PE CEA, serum CEA, and CEA ratio), demonstrating significant discriminatory capacity (AUC: 0.912–0.922) (8). Notably, PE CEA exhibited the strongest malignancy association [odds ratio (OR) =37.82; 95% CI: 13.49–127.06; P<0.001], aligning with prior studies emphasizing its diagnostic value in MPE identification (5,7,8,30). Fever served as a negative predictor (OR =0.07; 95% CI: 0.02–0.22; P<0.001), consistent with prior modeling efforts (8,31). PE ADA in several diagnostic models also showed NPV (7,8,31). We also found that PE ADA showed limited independent discriminant ability (cutoff =18 U/L). Considering the low ADA level of PE in some elderly patients with TPE and the increased malignancy risk with aging, a study proposed a novel age/effusion ADA ratio (20). This ratio achieved an AUC of 0.847 (cutoff =2.62), sensitivity of 93.2%, and specificity of 71.2% (20). Our analysis revealed that this ratio alone lacked sufficient discriminative ability to identify MPE, but it contributed to predictive accuracy when incorporated into the multivariate logistic regression model.
Meta-analysis evidence showed that the CR (calculated as serum LDH/pleural ADA) of the MPE group was significantly higher than that of the BPE, and the AUC, sensitivity, and specificity were 0.98, 96%, and 88%, respectively (19). The diagnostic performance of this parameter is based on elevated serum LDH and reduced effusion ADA levels. The etiologies and staging systems of MPE directly affect the diagnostic performance of CR (20,32,33), which explains significant variability in optimal CR thresholds and specificity in some original studies (15,19,20,34). In our validation cohort of 382 patients, CR (cutoff =11.0) achieved high sensitivity (88%) but reduced specificity (32%), likely due to population-specific differences in serum LDH levels and MPE etiology classification compared to prior studies. Combining CR with CEA can improve diagnostic accuracy (19,34). Effusion/serum TP >0.5 and effusion LDH >154 U/L in the prediction model basically meet Light’s criteria. Notably, MPE is a primary cause of exudative effusion (35).
The diagnostic model and scoring system developed in this study utilize routine laboratory parameters (such as serum biomarkers, PE biochemical indices, and derived ratios) that are standard in PE diagnostic workflows, ensuring exceptional cost-effectiveness and universal applicability in clinical settings. This scoring system demonstrates superior discriminative capability over conventional single biomarkers for MPE, enabling targeted diagnostic workups while reducing unnecessary screening and resource expenditure. While the model demonstrated robust performance in our cohort (n=382), this study is not exempt from limitations. The scoring system serves as an adjunct diagnostic tool and cannot replace molecular profiling or histopathological confirmation for definitive treatment decisions. The principal constraints stem from its single-center retrospective design and the absence of external validation in large cohorts or multi-institutional datasets, which are advantageous for verifying the model’s generalizability. Future prospective studies are warranted to verify its real-world applicability across diverse clinical settings.
Conclusions
In conclusion, fever, age/effusion ADA ratio, effusion/serum TP ratio, PE CEA, PE LDH, and CR demonstrate significant implications for differentiating MPE from BPE, especially in distinguishing between lung cancer with PE and BPE. Although the scoring system developed in this study exhibits high diagnostic value for distinguishing MPE and BPE, its clinical utility necessitates further validation through multi-center prospective studies.
Acknowledgments
None.
Footnote
Reporting Checklist: The authors have completed the TRIPOD reporting checklist. Available at https://jtd.amegroups.com/article/view/10.21037/jtd-2025-826/rc
Data Sharing Statement: Available at https://jtd.amegroups.com/article/view/10.21037/jtd-2025-826/dss
Peer Review File: Available at https://jtd.amegroups.com/article/view/10.21037/jtd-2025-826/prf
Funding: None.
Conflicts of Interest: All authors have completed the ICMJE uniform disclosure form (available at https://jtd.amegroups.com/article/view/10.21037/jtd-2025-826/coif). The authors have no conflicts of interest to declare.
Ethical Statement: The authors are accountable for all aspects of the work in ensuring that questions related to the accuracy or integrity of any part of the work are appropriately investigated and resolved. The study was conducted in accordance with the Declaration of Helsinki and its subsequent amendments. The study was approved by the ethics committee of Peking Union Medical College Hospital (approval number K22C0057) and informed consent for this retrospective study was waived.
Open Access Statement: This is an Open Access article distributed in accordance with the Creative Commons Attribution-NonCommercial-NoDerivs 4.0 International License (CC BY-NC-ND 4.0), which permits the non-commercial replication and distribution of the article with the strict proviso that no changes or edits are made and the original work is properly cited (including links to both the formal publication through the relevant DOI and the license). See: https://creativecommons.org/licenses/by-nc-nd/4.0/.
References
- Gayen S. Malignant Pleural Effusion: Presentation, Diagnosis, and Management. Am J Med 2022;135:1188-92. [Crossref] [PubMed]
- Porcel JM. Diagnosis and characterization of malignant effusions through pleural fluid cytological examination. Curr Opin Pulm Med 2019;25:362-8. [Crossref] [PubMed]
- Arnold DT, De Fonseka D, Perry S, et al. Investigating unilateral pleural effusions: the role of cytology. Eur Respir J 2018;52:1801254. [Crossref] [PubMed]
- Wang XJ, Yang Y, Wang Z, et al. Efficacy and safety of diagnostic thoracoscopy in undiagnosed pleural effusions. Respiration 2015;90:251-5. [Crossref] [PubMed]
- Wang S, An J, Hu X, et al. A simple and efficient clinical prediction scoring system to identify malignant pleural effusion. Ther Adv Respir Dis 2024;18:17534666231223002. [Crossref] [PubMed]
- Wei TT, Zhang JF, Cheng Z, et al. Development and validation of a machine learning model for differential diagnosis of malignant pleural effusion using routine laboratory data. Ther Adv Respir Dis 2023;17:17534666231208632. [Crossref] [PubMed]
- Wu A, Liang Z, Yuan S, et al. Development and Validation of a Scoring System for Early Diagnosis of Malignant Pleural Effusion Based on a Nomogram. Front Oncol 2021;11:775079. [Crossref] [PubMed]
- Wang S, Tian S, Li Y, et al. Development and validation of a novel scoring system developed from a nomogram to identify malignant pleural effusion. EBioMedicine 2020;58:102924. [Crossref] [PubMed]
- Fan X, Liu Y, Liang Z, et al. Diagnostic Value of Six Tumor Markers for Malignant Pleural Effusion in 1,230 Patients: A Single-Center Retrospective Study. Pathol Oncol Res 2022;28:1610280. [Crossref] [PubMed]
- Liang QL, Shi HZ, Qin XJ, et al. Diagnostic accuracy of tumour markers for malignant pleural effusion: a meta-analysis. Thorax 2008;63:35-41. [Crossref] [PubMed]
- Hackner K, Errhalt P, Handzhiev S. Ratio of carcinoembryonic antigen in pleural fluid and serum for the diagnosis of malignant pleural effusion. Ther Adv Med Oncol 2019;11:1758835919850341. [Crossref] [PubMed]
- Nguyen AH, Miller EJ, Wichman CS, et al. Diagnostic value of tumor antigens in malignant pleural effusion: a meta-analysis. Transl Res 2015;166:432-9. [Crossref] [PubMed]
- Wang J, Zhou J, Wu H, et al. The Diagnosis of Malignant Pleural Effusion Using Tumor-Marker Combinations: A Cost-Effectiveness Analysis Based on a Stacking Model. Diagnostics (Basel) 2023;13:3136. [Crossref] [PubMed]
- Zhang M, Yan L, Lippi G, et al. Pleural biomarkers in diagnostics of malignant pleural effusion: a narrative review. Transl Lung Cancer Res 2021;10:1557-70. [Crossref] [PubMed]
- Verma A, Dagaonkar RS, Marshall D, et al. Differentiating Malignant from Tubercular Pleural Effusion by Cancer Ratio Plus (Cancer Ratio: Pleural Lymphocyte Count). Can Respir J 2016;2016:7348239. [Crossref] [PubMed]
- Shen-Wagner J, Gamble C, MacGilvray P. Pleural Effusion: Diagnostic Approach in Adults. Am Fam Physician 2023;108:464-75.
- Jany B, Welte T. Pleural Effusion in Adults-Etiology, Diagnosis, and Treatment. Dtsch Arztebl Int 2019;116:377-86. [Crossref] [PubMed]
- Jiang MP, Wen JX, Hai L, et al. Diagnostic accuracy of pleural fluid to serum carcinoembryonic antigen ratio and delta value for malignant pleural effusion: findings from two cohorts. Ther Adv Respir Dis 2023;17:17534666231155745. [Crossref] [PubMed]
- Zhang Y, Li X, Liu J, et al. Diagnostic accuracy of the cancer ratio for the prediction of malignant pleural effusion: evidence from a validation study and meta-analysis. Ann Med 2021;53:558-66. [Crossref] [PubMed]
- Korczyński P, Mierzejewski M, Krenke R, et al. Cancer ratio and other new parameters for differentiation between malignant and nonmalignant pleural effusions. Pol Arch Intern Med 2018;128:354-61. [Crossref] [PubMed]
- Zhou J, Yang Y, Zhang Y, et al. Age : pleural fluid ADA ratio and other indicators for differentiating between tubercular and malignant pleural effusions. Medicine (Baltimore) 2022;101:e29788. [Crossref] [PubMed]
- Volarić D, Flego V, Žauhar G, et al. Diagnostic value of tumour markers in pleural effusions. Biochem Med (Zagreb) 2018;28:010706. [Crossref] [PubMed]
- Yang Y, Liu YL, Shi HZ. Diagnostic Accuracy of Combinations of Tumor Markers for Malignant Pleural Effusion: An Updated Meta-Analysis. Respiration 2017;94:62-9. [Crossref] [PubMed]
- Feng M, Zhu J, Liang L, et al. Diagnostic value of tumor markers for lung adenocarcinoma-associated malignant pleural effusion: a validation study and meta-analysis. Int J Clin Oncol 2017;22:283-90. [Crossref] [PubMed]
- Zhang H, Li C, Hu F, et al. Auxiliary diagnostic value of tumor biomarkers in pleural fluid for lung cancer-associated malignant pleural effusion. Respir Res 2020;21:284. [Crossref] [PubMed]
- Ai L, Wang W, Li J, et al. Use of tumor markers in distinguishing lung adenocarcinoma-associated malignant pleural effusion from tuberculous pleural effusion. Am J Med Sci 2024;368:136-42. [Crossref] [PubMed]
- Filiberti R, Parodi S, Libener R, et al. Diagnostic value of mesothelin in pleural fluids: comparison with CYFRA 21-1 and CEA. Med Oncol 2013;30:543. [Crossref] [PubMed]
- Paganuzzi M, Onetto M, Marroni P, et al. Diagnostic value of CYFRA 21-1 tumor marker and CEA in pleural effusion due to mesothelioma. Chest 2001;119:1138-42. [Crossref] [PubMed]
- Porcel JM, Esquerda A, Vives M, et al. Etiology of pleural effusions: analysis of more than 3,000 consecutive thoracenteses. Arch Bronconeumol 2014;50:161-5. [Crossref] [PubMed]
- Shi HZ, Liang QL, Jiang J, et al. Diagnostic value of carcinoembryonic antigen in malignant pleural effusion: a meta-analysis. Respirology 2008;13:518-27. [Crossref] [PubMed]
- Jin X, Hu L, Fang M, et al. Development and validation a simple scoring system to identify malignant pericardial effusion. Front Oncol 2022;12:1012664. [Crossref] [PubMed]
- Ernam D, Atalay F, Hasanoglu HC, et al. Role of biochemical tests in the diagnosis of exudative pleural effusions. Clin Biochem 2005;38:19-23. [Crossref] [PubMed]
- Zarić B, Kuruc V, Milovančev A, et al. Differential diagnosis of tuberculous and malignant pleural effusions: what is the role of adenosine deaminase? Lung 2008;186:233-40. [Crossref] [PubMed]
- Verma A, Abisheganaden J, Light RW. Identifying Malignant Pleural Effusion by A Cancer Ratio (Serum LDH: Pleural Fluid ADA Ratio). Lung 2016;194:147-53. [Crossref] [PubMed]
- Feller-Kopman D, Light R. Pleural Disease. N Engl J Med 2018;378:740-51. [Crossref] [PubMed]

