Theoretical models of carcinogenic particle deposition and clearance in children’s lungs
Original Article
Theoretical models of carcinogenic particle deposition and clearance in children’s lungs
Robert Sturm
Brunnleitenweg 41, A-5061 Elsbethen, Salzburg, Austria
Corresponding to: Dr. Robert Sturm. Brunnleitenweg 41, A-5061 Elsbethen Salzburg, Austria. Email: Robert.Sturm@stud.sbg.ac.at.
Abstract

Introduction: Deposition and clearance of carcinogenic particles in the lungs of subjects belonging to four different age groups (infants, children, adolescents, and adults) were theoretically investigated. The study is thought to contribute to the improvement of our knowledge concerning the behaviour of inhaled particles in lungs that may be attributed to different stages of development.
Methods: Particle deposition and clearance were simulated by using a well established stochastic lung model, allowing the generation of nearly realistic scenarios. For the computation of particle deposition all main deposition forces were considered. Additionally, any influences on particle behaviour due to particle geometry were covered by using the aerodynamic diameter concept. Particle clearance was simulated by defining both a fast mucociliary clearance phase and a slow bronchial/alveolar clearance phase, the latter of which is based on previously published models and suggestions. Results: As clearly provided by the modelling computations, lung deposition of particles with aerodynamic diameters ranging from 1 nm to 10 μm may significantly differ between the studied age groups. Whilst in infants and children most particles are accumulated in the extrathoracic region and in the upper bronchi, in adolescents and adults high percentages of inhaled particular substances may also reach the lower bronchi and alveoli. Although mucus velocities are significantly lower in young subjects compared to the older ones, fast clearance is more efficient in small lungs due to the shorter clearance paths that have to be passed. Slow clearance is commonly characterized by insignificant discrepancies between the age groups.
Conclusions: From the study presented here it may be concluded that particle behaviour in infants’ and children’s lungs has to be regarded in a different light with respect to that in adolescents and adults. Although young subjects possess natural mechanisms of protecting their lungs from hazardous aerosols (e.g., expressed by breathing behaviour and lung size), they are much more sensitive to any particle exposure, since particle concentrations per lung tissue area may reach alarming values within a short period of inhalation.
Key words
Stochastic lung model; random walk; deposition force; mucociliary clearance; slow clearance
J Thorac Dis 2012;4(4):368-376. DOI: 10.3978/j.issn.2072-1439.2012.08.03
Introduction
Based on numerous epidemiological studies (1-3), it may be regarded as a largely accepted fact that several kinds of airborne particles act as serious health hazards when they are taken up into the respiratory tract. During the past 40 years most scientific investigations dealing with health effects of inhaled particles primarily included adults exposed to certain aerosols in their working environments (e.g., workers in mines or cotton mills). Additionally, biological effects of either naturally or artificially occurring radioactive aerosols on adult males and females were subjected to an extensive physical and medical analysis (1). Although the number of scientific articles and books on these topics has been increased exponentially during the past decades, detailed studies on the inhalation of different aerosol particles by children and the consequences of this respiratory uptake for the child’s lung have been conducted for about 20 years (4,5). Meanwhile, it is a well-known fundamental in paediatric science that children especially living in urban environments may be exposed to higher aerosol doses (e.g., CO, CO2, diverse dusts raised by enhanced traffic, soot) (3). In rural environments children may be for instance confronted with increased amounts of biogenic aerosols, from which some types have been identified as triggers of infectious or allergic diseases (6,7).
Concerning the carcinogenicity of airborne particles, especially four categories of aerosols have to be mentioned in conjunction with children (Figure 1): the first category includes all kinds of dusts, i.e., particles originating from diverse mechanical manufacturing processes. Due to their geometric shape highly deviating from an ideal sphere, this particular matter is characterized by a peculiarity regarding both its deposition and its clearance in the respiratory tract (8). Bioaerosols, belonging to the second category, may also contain carcinogenic particle types (e.g., plant fibers), whereby the interactions between biogenic particles and different lung tissues are not fully decoded hitherto (9). The third category of carcinogens with enhanced relevance for children includes various kinds of smokes and, even more important, soot resulting from combustion processes (8-11). As demonstrated by histological studies, soot particles not soluble by any metabolic processes have the ability to intrude into lung cells, where they may unfold their unwholesome efficacy after years of intracellular accumulation and storage (12). Ultrafine particles have been attributed to an individual category, although they include participants from the other categories mentioned above. Carcinogenicity of ultrafines mainly arises, if these particles are increasingly accumulated in respiratory compartments or adjacent structures (e.g., the lymphatic system) (1).
Figure 1. Sketch illustrating those aerosol particle categories which are commonly known to have a hazardous effect on children. Besides the particles acting as triggers for infections and allergic reactions, some of these particular substances are also discussed to possess carcinogenic properties.
Deposition experiments conducted with children of different age and gender clearly showed that tidal volume positively correlates with age, whilst breathing frequency is subject to a continuous decrease from younger to older subjects (13,14). As a result of this physiological development, deposition fractions among children as well as between children and adults may be characterized by significant differences (4,10,11,15). Despite these preliminary results lots of questions regarding the deposition behaviour of inhaled particles in children’s lungs have to be studied more in detail in order to be brought to a largely accepted solution.
Data regarding the clearance of particles from children’s lungs are only available in scarce amounts hitherto (5). It is assumed that tracheal mucus transport and, as a consequence of that, also mucociliary clearance in the bronchi and bronchioles is permanently accelerated with increasing age, reaching its maximum at an age between 18 and 25 years (16,17). Theoretical models based on this assumption suggest slightly smaller clearance efficiency in children with respect to adults which is compensated or even over-compensated by significantly shorter clearance paths that have to be mastered in the respiratory systems of infants and adolescents (18). Due to the lack of any information, slow clearance (bronchial and alveolar) is equally handled in children and adults so far. However, questions arising in conjunction with particle clearance in children are of much higher complexity than any deposition problems noted above.
The purpose of the present study was to extend our knowledge on both particle deposition and particle clearance in the lungs of infants (1 year), children (5 years), and adolescents (15 years). In order to come to satisfactory results, a theoretical model that has been continuously extended and improved over the past ten years was applied. This mathematical approach is based on stochastic descriptions of lung architecture and particle transport and additionally enables the variation of a high number of morphometric and physiological parameters. Based on the modelling computations it is hypothesized that particle behaviour may be indeed categorized according to the age of the studied subjects.
Methods
Model of the child’s lung morphometry
Simulation of lung morphometry was commonly conducted by application of the stochastic model originally defined by Koblinger and Hofmann (19). Within this theoretical approach morphometric data obtained from interferometric measurements of the tracheobronchial tree (20) and the acinar compartment of the human lung (21) were subjected to extensive statistical evaluations. This, among other, resulted in the definition of reliable generation-specific probability density functions for the distributions of airway diameters, airway lengths, branching angles, and gravity angles (i.e., the angles of single airway tubes relative to the direction of gravity). For the generation of a nearly-realistic lung architecture airway parameters were selected from the related probability density functions with the help of a pseudo-random number generator. During this step of the mathematical process also potential correlations between the morphometric parameters themselves were considered. The procedure ended in the construction of random airway paths and the junction of a pre-selected number of these paths (e.g., 10,000) to the stochastic lung.
In the original model, stochastic lung size was calibrated to a functional residual capacity (FRC) of 3,300 mL which represents the mean value for a male Caucasian adult (1). In order to model children’s lung morphometry in an appropriate way, respective dimensions of the tracheobronchial tree were re-calibrated by the application of scaling factors. As found by Phalen et al. (22), the dimensions of the trachea and bronchi may be related to body height according to the simple mathematical equation
In equation [1] the scaling factor, SF, denotes the ratio of airway diameter or length in the subject compared to that in reference man, whilst HS is the height of the subject in meters and a an airway-generation-specific constant [1]. Alternatively, scaling factors for the diameters and lengths of the tracheobronchial airways were calculated according to the expression
where FRCS denotes the functional residual capacity of the subject of interest and FRCR represents the functional residual capacity of a reference subject [1]. Respective values for airway calibration derived from equation [2] are summarized together with age-specific physiological parameters necessary for modelling computations in Table 1.
Table 1. Essential morphometric and physiological parameters for the description of lung architecture and breathing behaviour in subjects with different ages.
  SF FRC (mL) TV (mL) BF (min-1) T (s) TMV (mm.min-1)
1 year 0.353 244 102 43.2 1.39 1.2
5 years 0.517 767 213 30.0 2.00 2.7
15 ys. 0.780 2,650 625 18.5 3.24 5.0
adult 0.840 3,300 750 14.4 4.17 5.5
Age-related size reduction of the respiratory tract is generally realized by application of a scaling factor (SF), decreasing the calibers and lengths of single lung airways and being derived from specific morphometric formulae (see text). Further abbreviations: BF, breathing frequency; FRC, functional residual capacity; T, length of a breathing cycle; TMV, tracheal mucus velocity; TV, tidal volume.
Modelling the deposition of particles in the child’s lung
Computation of particle deposition in individual airways due to various deposition forces was carried out by application of analytical deposition equations that are only valid for straight cylindrical tubes and spherical spaces. Generally, four deposition mechanisms, namely Brownian motion, inertial impaction, interception, and gravitational settling, were distinguished. Particle deposition forced by Brownian motion was computed using the related empirical equation outlined by Cohen and Asgharian (23). This approximation considers an increase in deposition in the upper bronchial airways due to developing flow. Particle deposition in more peripheral airway tubes was enabled with the help of the diffusion equation proposed by Ingham (24). Deposition of particles in the upper airways due to inertial impaction and interception was chiefly approximated by the application of correction factors (25) that are added to the respective standard equations. Extrathoracic deposition efficiencies, expressing the ability of nasal and oral airways to filter inspired particular material, were estimated on the basis of empirical equations derived either from in vivo measurements or from collected experimental data.
Analytical and empirical equations for the prediction of particle deposition in the human respiratory tract are founded upon the hypothesis that all particles inhaled from the ambient atmosphere have ideal spherical shapes. However, this ideal geometry is limited to a low number of aerosol categories that may be found in nature or emanate from anthropogenic processes. Most particle types, above all those representing a serious health hazard for children, are characterized by nonspherical (e.g., fibrous or disk-like) shapes (see above). In some cases, aerosol particles also occur as irregularly shaped aggregates that consist of a high number of randomly arranged spherical or nonspherical components (26).
The problem of irregular particle shapes is most successfully approximated by the aerodynamic diameter concept (mobility diameter for ultrafine particles). This parameter, named dae, corresponds to the diameter of a unit-density sphere with identical aerodynamic characteristics as the nonspherical particle of interest. Mathematically, dae is commonly expressed by the formula (27-30)
where dve represents the volume-equivalent diameter (i.e., the diameter of a sphere with exactly the same volume as the investigated particle) and χ the dynamic shape factor, whilst ρp and ρ0 denote the density (g.cm-3) of the particle and unitdensity (1 g.cm-3). The remaining variables Cdve and Cdae are the so-called Cunningham slip correction factors for spheres with diameters dev and dae, respectively. For oblate (i.e., disklike) or prolate (i.e., fibrous) geometry the dynamic shape factor χ generally adopts values greater than 1 and, in the case of particles with highly irregular geometries, also values around 15 (26,30). The Cunningham correction factors may be neglected for particles that are transported in the continuum regime (i.e., particles with diameters greater than 1 μm), because they uniformly take values around 1. In the slip-flow regime, which represents the dominant aerodynamic environment for particles smaller than 1 μm and especially for ultrafine particles (<100 nm), the factors become significant determinants with regards to the calculation of dae, thereby following an exponential increase with decreasing particle size.
Modelling the clearance of deposited mass from the child’s respiratory tract
The stochastic clearance model includes several assumptions and experimental findings that have been published during the last years (31,32). As particle deposition is considered to take place in the first half of a respective airway due to diffusion, inertial impaction, interception or sedimentation, clearance always starts from the midpoint of the initial bifurcation within the computed path. The calculation of the mucus velocity within a specific airway of the clearance path is made possible by including the airway geometry. Concerning a single bifurcation, the first step in this algorithm is the determination of a velocity factor that is derived from the respective cross-section function, i.e., the quotient of cross sections between the daughter airway (Ai) and the related parental airway (Ai-1). The mucus velocity in a daughter airway, vi, is then simply available by multiplying the related velocity of the parent tube, vi-1, with this factor:
According to this concept, all velocities needed for a simulation are calculated from the initial tracheal mucus velocity. Changes of this initial velocity or the lung morphometry can significantly influence clearance rates within the whole tracheobronchial tree.
As found by instillation of labelled material in the upper bronchial airways of rats, mucus transport is affected by a certain delay at the carinal ridges of single bifurcations. At these sites, mucus flow is splitted on the one hand and accumulated for some time on the other hand. In the rat lung, the half-life of clearance from the carinal ridges is about 1 hour, while similar information for the human lung is not available at the moment. In the stochastic clearance model, this phenomenon can be considered optionally by defining a mucus delay time, td, which is uniformly applied to all bifurcations of the tracheobronchial tree. As a simplification, all mucus is affected by this delay, but not only the mucus at the carinal ridges (about 10 %), so that delay time has to be diminished remarkably (about 10 minutes). Total residence time, tr,i, of a deposited particle in airway i with length Li is given by the formula:
As outlined in previous contributions (27,31,32), tracheobronchial clearance can include a significant fraction fs of slowly cleared particles due to their uptake into the epithelium, accumulation in the sol phase or phagocytosis by airway macrophages. As already found by shallow aerosol bolus experiments, fs strongly depends on the size of inhaled particles. In the clearance model of this study, the slow clearance fraction is simply calculated from the following linear equation:
where dg denotes the respective geometric particle diameter in μm. Final residence time of particulate matter with given size is derived from equation [5] as follows:
with ts denoting the average half-time of the slow clearance process (5-20 days). In order to consider the contribution of alveolar clearance, the model is additionally extended by respective alveolar clearance half-times (1) being on the order of several hundreds of days.
Results
Theoretical lung morphometry of children and adults
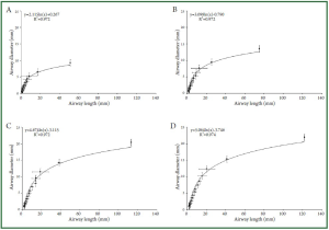
Independent of the age of the investigated subject, airway diameter is related to airway length by a logarithmic function (Figure 2). Whilst in lung generation 1, representing the trachea, airway length exceeds the respective airway diameter by a factor of 5, in the terminal lung generations lengths and diameters of single airway tubes may be on the same order of magnitude. The development of such short tubular segments of the respiratory tract results in partly significant consequences for particle deposition and clearance (see below).
Figure 2. Graphs exhibiting the mathematical relationship between airway length and airway diameter for lung generations 1 to 16 (mean values ± standard deviations). Due to the constant scaling factor, being equally applied to each airway generation, the diameter-length correlations are nearly identical in infants (A), children (B) and adolescents (C), and adults (D).
Due to the scaling procedure introduced in the preceding section, airway geometry of infants is reduced in size by a factor of 3 with respect to that of adults, whereas tubular morphometry of children being at the age of 5 years exhibits almost half the size of an adult lung structure. In adolescents with an age of 15 years lung geometry is nearly fully developed, so that discrepancies compared to adult lungs may be regarded as insignificant (Figure 2).
Particle deposition in children’s and adults’ lungs
As illustrated in the graphs of Figure 3, deposition of particular matter in the human respiratory tract commonly depends on the size of inhaled particles expressed by the aerodynamic diameter (see above). Independent of the subject’s age, total and regional (i.e., tubular and alveolar) lung deposition may be regarded as functions of aerodynamic diameter insofar as small particles (<100 nm) as well as large particles (>1 μm) show a somewhat different deposition behaviour with respect to intermediately sized particles (100 nm -1 μm). In the case of total deposition this circumstance results in the development of U-shaped or V-shaped functions. Concerning tubular deposition, representing the accumulation of inhaled particular matter in all kinds of bronchial structures, deposition maxima are slightly displaced towards intermediate aerodynamic diameters (Figure 3), whereas smallest (1 nm) and largest particles (10 μm) are again characterized by a more or less dramatic decline of deposition. In the case of 10-μm particles deposition is significantly decreased with respect to 3-μm particles. Alveolar deposition is marked by similar trends as tubular particle accumulation, whereby deposition maxima are further displaced towards intermediate aerodynamic diameters and generally range from 2% to 20 % of the whole particular mass inhaled during a breathing cycle (Figure 3). As underlined by the respective graphs of Figure 3, both particles of molecular size and largest particles being subject to inhalation are practically not deposited in the alveolar structures, lowering their significance in the case of microdosimetric considerations.
Figure 3. Total, tubular (i.e., bronchial and bronchiolar), and alveolar deposition of particles and their dependence on the aerodynamic particle diameter: (A) infants (1 y), (B) children (5 y), (C) adolescents (15 y), and (D) adults.
Whilst deposition patterns of variably sized particles are characterized by partly notable similarities among the subjects’ age classes, there may be recognized partly significant differences regarding the amount of particular mass accumulated in the tubular and alveolar compartment (Figure 3). In general, total deposition is positively correlated with age, with respective values for adult lungs exceeding those for infants by a factor of 1.5-3 and those of children by a factor of 1.3-2.5. Total deposition functions change from broad U-shape in infants to nearly V-shape in adults. Lower values of total deposition in infants’ and children’s lungs have consequences with regards to regional deposition: whilst tubular accumulation of particular matter amounts to about 20% (infants) and 50% (children) with respect to that in adolescents and adults, alveolar deposition commonly reaches values of 10% (infants) and 40% (children) compared to that in adolescents and adults.
Particle clearance from lungs of subjects with different age
For a comprehensible presentation of clearance efficiency in subjects of different age, 24-h as well as 5-d and 10-d retention values and their dependences on aerodynamic diameter have been drawn for infants, children, adolescents, and adults (Figure 4). Whilst 24-h retention enables an appropriate differentiation between fast mucociliary and slow transepithelial/macrophage clearance, 5-d and 10-d retention values provide an insight into the course of slow clearance and the fraction of particles directly cleared from the alveoli. According to the clearance model introduced in the preceding section removal of particles on the mucociliary escalator commonly takes place for those particles that are mainly deposited in the proximal tubular compartment of the lung, whereas slow clearance mechanisms are chiefly concentrated in the lower tubular and alveolar compartment. Independent of the age group fraction of slowly cleared particles is highest for aerodynamic diameters ranging from 0.01 to 1 μm. Contrary to that, particles with aerodynamic diameters of <0.01 μm and >1 μm are almost completely evacuated from the lung within shorter periods of time. Thereby, highest clearance efficiency may be attested for infants, where all particular mass is removed after 24 h. In the remaining age groups complete removal of very small and large particles takes place within several days (Figure 4). Slow bronchial and alveolar clearance of intermediately sized particles may be evaluated as nearly constant among the age groups.
Figure 4. Aerosol particle retention 24 h, 5 d, and 10 d after exposure and their dependence on the aerodynamic particle diameter: (A) infants (1 y), (B) children (5 ys), (C) adolescents (15 y), and (D) adults.
Discussion
Deposition and clearance of inhaled particular matter depend on a high number of factors, among which lung morphometry plays a superior role. As already proven by numerous inhalation experiments, the probability of particles being deposited in the respiratory tract increases with the length of the path, upon which these particles are transported (33-35). A counterpart to the airway path length is commonly given by the medium airway caliber [sensu Horsefield et al. (36)] that exhibits a negative correlation with deposition probability. Since both morphometric factors do not compensate each other, discrepancies in particle deposition may be already observed between lungs of nearly identical size (note: breathing parameters are assumed to be constant) and principally between lungs of adult males and females belonging to the same age group. Highest relevance of this phenomenon may be observed by the comparison of infants, children, and adolescents, whereby gender-specific differences remain insignificant (1).
As underlined by the theoretical results exhibited in Figure 3, particle deposition is partly characterized by significant differences among the investigated age groups, with highest deposition fractions being commonly recognizable for adolescents (15 y) and adults and lowest deposition fractions being computed for infants (1 y). A physical reason for this phenomenon may be found in the complex interaction between deposition mechanisms and breathing parameters which both depend upon lung morphometry (1,22). Low tidal volumes measured in infants (Table 1) cause a rather shallow breathing with the important consequence that residence times of inhaled particles are set to a minimum. The contrary case may be observed for the lungs of adolescents (high tidal volumes and higher particle residence times). On the other hand, lung architecture of infants increases the efficiency of single deposition forces (Brownian motion, inertial impaction, interception and gravitational settling) which all depend on airway diameter and, slightly less important, airway length (1,18,27). Brownian motion results in an enhanced deposition of ultrafine particles in the upper bronchi, whilst inertial impaction, interception and gravitational settling mainly affect larger particles (>1 μm) to be accumulated in the proximal and distal lung. In adolescents and adults the increased efficiency of deposition forces due to lung morphometry is much less significant (Table 1) (1).
Regarding particle clearance, phenomena similar to those explaining particle deposition may be recognized; on the one side, lengths of clearance paths are strongly reduced in infants with respect to children, adolescents, and, most of all, adults. This circumstance is most effectively expressed by the so-called scaling factor (Table 1) that may be applied to both airway diameter and airway length, and whose determination is largely founded upon comprehensive morphometric investigations (1,20-22). On the other side, mucus transport times, reflecting the velocity of the so-called mucociliary escalator (26,27,32), represent a function of age (16,17), thereby continuously increasing from zero to 25 years and being subject to a decrease from 26 to 60 years. Basically, the age dependence of mucociliary clearance is found by a simple mathematical approximation: the scaling factor is compared with the quotient of the tracheal mucus velocity of the age group of interest and the tracheal mucus velocity of 5.5 mm∙s-1 (mean value for adults). If the first quotient is lower than the second one, lung morphometry has to be regarded as main determinant of mucociliary clearance; if, on the other side, the first quotient is higher than the second one, mucus transport velocities represent the main determinant of fast clearance. In the theoretical case presented here, the influence of morphometry slightly exceeds the influence of transport velocities, so that mucociliary clearance efficiency has to be attested as a function which correlates negatively with subject age (17).
As underlined by this theoretical study, deposition and clearance of carcinogenic particles have to be regarded as a function of subjects’ ages. Nevertheless, it has to be further noted that also within a specific age group great discrepancies in particle deposition and clearance, commonly known as intersubject variability, may occur. This circumstance significantly influences the precise investigation of relationships between age and particle behaviour in the human respiratory tract (37). Therefore, this contribution concerns mean values of deposition and clearance that have been derived from numerous inhalation experiments and related hypothetical computations.
According to the study presented here, children develop protective mechanisms against carcinogens transported as aerosols in such a way that most particle sizes are already separated from the inhaled air in both the extrathoracic region and the main bronchi. The penetration of particular matter into the alveoli is additionally limited by the shallow breathing behaviour of infants and children. Nevertheless, the risk of malignant transformations in the extrathoracic and upper bronchial compartments should not be underestimated, especially in regions with enhanced exposure to hazardous aerosols.
Acknowledgements
Disclosure: The authors declare no conflict of interest.
References
  • Human respiratory tract model for radiological protection. A report of a Task Group of the International Commission on Radiological Protection. Ann ICRP 1994;24:1-482.
  • Bennett WD. Human variation in spontaneous breathing deposition fraction: a review. J Aerosol Med 1988;1:67-80.
  • Conceição GM, Miraglia SG, Kishi HS, et al. Air pollution and child mortality: a time-series study in São Paulo, Brazil. Environ Health Perspect 2001;109:347-50.
  • Bennett WD, Zeman KL. Effect of body size on breathing pattern and fineparticle deposition in children. J Appl Physiol 2004;97:821-6.
  • Chua HL, Collis GG, Newbury AM, et al. The influence of age on aerosol deposition in children with cystic fibrosis. Eur Respir J 1994;7:2185-91.
  • Vedal S, Petkau J, White R, et al. Acute effects of ambient inhalable particles in asthmatic and nonasthmatic children. Am J Respir Crit Care Med 1998;157:1034-43.
  • Schüepp KG, Straub D, Möller A, et al. Deposition of aerosols in infants and children. J Aerosol Med 2004;17:153-6.
  • Pope CA 3rd, Dockery DW. Acute health effects of PM10 pollution on symptomatic and asymptomatic children. Am Rev Respir Dis 1992;145:1123-8.
  • Burge H. Bioaerosols: prevalence and health effects in the indoor environment. J Allergy Clin Immunol 1990;86:687-701.
  • Yu CP, Xu GB. Predicted deposition of diesel particles in young humans. J Aerosol Sci 1987;18:419-29.
  • Bennett WD, Zeman KL. Deposition of fine particles in children spontaneously breathing at rest. Inhal Toxicol 1998;10:831-42.
  • Bayram H, Ito K, Issa R, et al. Regulation of human lung epithelial cell numbers by diesel exhaust particles. Eur Respir J 2006;27:705-13.
  • Gilbert R, Auchincloss JH Jr, Brodsky J, et al. Changes in tidal volume, frequency, and ventilation induced by their measurement. J Appl Physiol 1972;33:252-4.
  • Tabachnik E, Muller N, Toye B, et al. Measurement of ventilation in children using the respiratory inductive plethysmograph. J Pediatr 1981;99:895-9.
  • Schiller-Scotland CHF, Hlawa R , Gebhart J. Total deposition of monodisperse aerosol particles in the respiratory tract of children. Toxicol Lett 1994;72:137-44.
  • Wolff RK. Mucociliary Function. In: Parent RA. Comparative Biology of the Normal Lung. New York: CRC Press, 1989:659-80.
  • Puchelle E, Zahm JM, Bertrand A. Influence of age on bronchial mucociliary transport. Scand J Respir Dis 1979;60:307-13.
  • Hofmann W, Sturm R. Stochastic model of particle clearance in human bronchial airways. J Aerosol Med 2004;17:73-89.
  • Koblinger L, Hofmann W. Analysis of human lung morphometric data for stochastic aerosol deposition calculations. Phys Med Biol 1985;30:541-56.
  • Raabe OG, Yeh HC, Schum GM, et al. Tracheobronchial Geometry: Human, Dog, Rat, Hamster, LF-53. Albuquerque, NM: Lovelace Foundation, 1976.
  • Haefeli-Bleuer B, Weibel ER. Morphometry of the human pulmonary acinus. Anat Rec 1988;220:401-14.
  • Phalen RF, Oldham MJ, Beaucage CB, et al. Postnatal enlargement of human tracheobronchial airways and implications for particle deposition. Anat Rec 1985;212:368-80.
  • Cohen BS, Asgharian B. Deposition of ultrafine particles in the upper airways. J Aerosol Sci 1990;21:789-97.
  • Ingham DB. Diffusion of aerosol from a stream flowing through a cylindrical tube. J Aerosol Sci 1975;6:125-32.
  • Koblinger L, Hofmann W. Monte Carlo modeling of aerosol deposition in human lungs. Part I: simulation of particle transport in a stochastic lung structure. J Aerosol Sci 1990;21:661-74.
  • Sturm R. Theoretical models for dynamic shape factors and lung deposition of small particle aggregates originating from combustion processes. Z Med Phys 2010;20:226-34.
  • Sturm R, Hofmann W. A theoretical approach to the deposition and clearance of fibers with variable size in the human respiratory tract. J Hazard Mater 2009;170:210-8.
  • Davies CN. Particle-fluid interaction. J Aerosol Sci 1979;10:477-513.
  • Kasper G. Dynamics and measurement of smokes. I Size characterization of nonspherical particles. Aerosol Sci Technol 1982;1:187-99.
  • Kasper G. Dynamics and measurement of smokes. II The aerodynamic diameter of chain aggregates in the transition regime. Aerosol Sci Technol 1982;1:201-15.
  • Sturm R, Hofmann W. Mechanistic interpretation of the slow bronchial clearance phase. Radiat Prot Dosimetry 2003;105:101-4.
  • Sturm R, Hofmann W. Stochastic modeling predictions for the clearance of insoluble particles from the tracheobronchial tree of the human lung. Bull Math Biol 2007;69:395-415.
  • Stahlhofen W, Gebhart J, Heyder J. Biological variability of regional deposition of aerosol particles in the human respiratory tract. Am Ind Hyg Assoc J 1981;42:348-52.
  • Heyder J, Gebhart J, Stahlhofen W, et al. Biological variability of particle deposition in the human respiratory tract during controlled and spontaneous mouth-breathing. Ann Occup Hyg 1982;26:137-47.
  • Heyder J, Gebhart J, Scheuch G. Influence of human lung morphology on particle deposition. J Aerosol Med 1988;1:81-8.
  • Horsfield K, Dart G, Olson DE, et al. Models of the human bronchial tree. J Appl Physiol 1971;31:207-17.
  • Stahlhofen W, Rudolf G, James AC. Intercomparison of experimental regional aerosol deposition data. J Aerosol Med 1989;2:285-308.
Cite this article as: Sturm R. Theoretical models of carcinogenic particle deposition and clearance in childrens lungs. J Thorac Dis 2012;4(4):368-376. doi: 10.3978/j.issn.2072-1439.2012.08.03

Download Citation