Impact of guideline therapy on survival of patients with stage I–III epithelioid mesothelioma
Highlight box
Key findings
• Patients with resectable epithelioid mesothelioma that receive National Comprehensive Cancer Network (NCCN) guideline-concordant therapy have significantly better short- and long-term outcomes.
What is known and what is new?
• The prognosis of malignant pleural mesothelioma is significantly improved when surgery is combined with other therapies.
• In this study, we demonstrated that guideline concordant therapy for patients with stage I–III epithelioid mesothelioma is associated with significantly improved survival but is only used in a minority of patients. Chemotherapy can be given either before or after surgical resection with no significant impact on overall survival.
What is the implication, and what should change now?
• The findings from this study demonstrate that outcomes for patients with epithelioid mesothelioma can be improved with better management strategies that utilize the NCCN guideline therapies.
Introduction
Malignant pleural mesothelioma (MPM) is an uncommon malignancy with a very poor prognosis that has not been drastically improved by advancements in chemotherapy regimens, radiation techniques, surgical procedures, and peri-operative care over time (1-4). Median survival is only approximately 1 year with a 5-year survival of approximately 10% (5-8). Surgical resection is considered integral to therapy, but is only deemed appropriate for medically operable patients with stage I–III disease and epithelioid histology (1,9-12). The benefit of combining surgery with other treatments has been increasingly studied, and trimodality therapy for epithelioid patients with chemotherapy, radiation, and surgery was shown by a propensity-matched analysis to improve median survival to 23.4 months compared to 14.5 months with surgery alone (13). The National Comprehensive Cancer Network (NCCN) guidelines now recommend multimodality treatment that includes surgery for medically operable patients with clinical stage I–III disease and epithelioid histology (14). The treatment recommended by the NCCN is chemotherapy combined with surgical resection via either pleurectomy/decortication or extrapleural pneumonectomy, and adjuvant radiation after extrapleural pneumonectomy and considered after pleurectomy/decortication.
However, guideline-concordant therapy may not be used in most patients in this clinical situation as a recent population-based study found that cancer-directed surgery overall was used in only 37% of patients with stage I–III epithelioid mesothelioma, with a median survival of 19 months (7). In addition, the specific benefit of NCCN guideline therapy as well as the optimal timing of chemotherapy in relation to surgery has not been well characterized, as most studies have included histologies and stages which are not considered appropriate for surgery (15-18). The aim of this study was to test the hypothesis that combining chemotherapy with surgery as recommended by the NCCN improved survival of clinical stage I–III epithelioid mesothelioma patients in a large nationwide cancer database. This study also tested the secondary hypothesis that induction chemotherapy improves survival compared to adjuvant chemotherapy in patients with stage I–III epithelioid mesothelioma who undergo major surgical resection. We present this article in accordance with the STROBE reporting checklist (available at https://jtd.amegroups.com/article/view/10.21037/jtd-23-1334/rc).
Methods
Data source
The National Cancer Database (NCDB) was retrospectively analyzed. The NCDB is a joint venture between the American Cancer Society and the American College of Surgeons Commission on Cancer (CoC). This dataset captures approximately 70% of newly diagnosed United States cancers (19). The database has assembled more than 30 million records from over 1,500 CoC-approved North American facilities. The study was conducted in accordance with the Declaration of Helsinki (as revised in 2013).
Patient selection
The study cohort was assembled by querying the NCDB for patients with epithelioid mesothelioma between 2004 and 2016 (Figure 1). Patients were included if they had epithelioid histology with the pleura as the primary site. Because laterality can impact the decision regarding surgery, particularly if extrapleural pneumonectomy is being considered, patients with unknown laterality were excluded. Patients were excluded if they had stage IV disease, as surgery is not typically indicated as a treatment option for this group. Patients for whom the use or timing of surgery, chemotherapy, or radiation was unknown were excluded. Patients with incomplete follow-up data were excluded.
The NCDB records the performance of both curative and palliative cancer-directed surgery, including photodynamic therapy, electrocautery, cryosurgery, partial surgical removal of primary site, and debulking. As previously done in Surveillance, Epidemiology, and End Results Program (SEER) and NCDB studies, patients were considered to have had cancer-directed surgery with a therapeutic intent if they had the following surgical codes: [30] simple/partial surgical removal of primary site, [40] total surgical removal of primary site, [50] surgery stated to be debulking, and [60] radical surgery (13,20). Given these non-specific descriptions, differentiating between the commonly performed cytoreductive mesothelioma operations for mesothelioma, such as pleurectomy/decortication, extended pleurectomy/decortication, or extrapleural pneumonectomy was not possible using these surgical codes (13,21).
NCCN guideline therapy
The current treatment standard for resectable stage I–III epithelioid MPM based on NCCN guidelines consists of induction chemotherapy followed by pleurectomy/decortication or extrapleural pneumonectomy and adjuvant hemithoracic radiation therapy. Alternatively, pleurectomy/decortication or extrapleural pneumonectomy can be performed first, followed by adjuvant chemotherapy with or without radiation. Based on these NCCN guidelines, patients in this study who underwent cancer-directed surgery based on the above procedure codes and either induction or adjuvant chemotherapy were categorized as receiving guideline-concordant therapy.
Statistical analysis
Patients who underwent surgery were stratified into two groups based on whether they were given guideline-concordant therapy. Between patients who received or did not receive guideline-concordant therapy, continuous variables were compared with the Wilcoxon rank-sum test, discrete variables were compared with the Pearson’s chi-square test, and discrete variables with fewer than 5 outcomes were compared with the Fisher’s exact test. Independent predictors of receiving guideline-concordant therapy were identified with multivariable logistic regression analysis including sex, race (white versus non-white), age, insurance status, Charlson/Deyo comorbidity index, income status, clinical stage, distance traveled for treatment, laterality, and treatment facility type (research/academic program versus community programs) in the model. Insurance status was considered as a binary variable, and considered patients with private, Medicare/Medicaid, or other Government insurance as “insured”.
Survival impact of guideline-concordant therapy use was evaluated with the log-rank test and Kaplan-Meier analysis. Survival was measured from the date of diagnosis. The independent impact of guideline-concordant therapy use as a predictor of survival was further assessed using multivariable Cox proportional hazards modelling. The covariates used in the analysis were those previously shown or recognized clinically to have an important association with survival, and included: use of guideline-concordant therapy, age at diagnosis, sex, Charlson/Deyo comorbidity index, stage, and radiation therapy. Hospital clustering in the Cox model was adjusted by including the specific facility as a random effect in the model. Patients with missing data for any of the variables included in the logistic regression and proportional hazards models were not included in these models.
To evaluate the impact of the timing of chemotherapy use on outcomes and test the hypothesis that induction chemotherapy improves survival compared to adjuvant chemotherapy, patients who received guideline-concordant therapy were stratified into two subgroups depending on whether chemotherapy was given before surgery versus after surgery. The above survival analyses were then repeated on this new subset.
Potential confounding and bias in the use of guideline-concordant therapy was further evaluated using a propensity matched analysis. Propensity scores were calculated as the probability of receiving guideline-concordant therapy or not conditional on other measured covariates, which included age, sex, Charlson/Deyo comorbidity index, insurance status, education and income levels, facility type, and clinical stage. Propensity scores were used to match patients 1:1 using a nearest neighbor algorithm. Propensity measurements were calculated with standard logistic regression without replacement. Standardized differences were used to assess balance between groups. The Kaplan-Meier method and log-rank test were used to compare survival between propensity-matched groups.
Continuous data are displayed as median with interquartile range, and categorical variables are shown as frequency and percentage. Statistically significance was considered if P value was <0.05. Analyses were done with R version 3.6.1 (R Foundation for Statistical Computing, Vienna, Austria).
Results
During the study period, 3,534 patients met inclusion criteria (Figure 1). Overall, 2,439 patients (69.0%) had some treatment with chemotherapy, surgery, or radiation, and 1,095 patients (31.0%) had no therapy at all. Guideline-concordant therapy was used in 677 patients (19.2%), and 2,857 patients (80.8%) did not have guideline-concordant therapy. Figure 2 shows the percentage of patients who received guideline therapy for each year of the study timeframe. Among the patients who did not receive guideline-concordant therapy, 61.7% (1,762/2,857) received some therapy of either surgery, chemotherapy, or radiation. Compared to the non-guideline group, surgery (100% (677/677) vs. 8.2% (234/2,857), P<0.001), chemotherapy [100% (677/677) vs. 52.2% (1,491/2,857), P<0.001), and radiation [28.5% (193/677) vs. 5.5% (157/2857), P<0.001] were used significantly more often in the guideline-concordant group of patients.
Patient characteristics stratified by therapy regimen are detailed in Table 1. Patients treated with guideline-concordant therapy were younger, were more likely to have no co-morbidities, were more likely to live in a census tract with higher income, lived further from the treating facility, were more likely to be treated at an academic or research program, and were less likely to have stage I disease. The overwhelming majority of patients in both groups had the diagnosis confirmed by histology, though the non-guideline adherent group had slightly more patients diagnosed by cytology. Younger age, being insured, living in a census tract with a higher income, and being treated at an academic or research program were all predictors of receiving guideline-concordant therapy in multivariable analysis (Table 2). Patients with stage II disease [23.1% (185/802)] and stage III disease [21.8% (292/1,342)] were more likely to get guideline care than stage I patients [14.4% (200/1,390)] (P<0.001).
Table 1
| Variable | Non-guideline therapy (n=2,857) | Guideline therapy (n=677) | P |
|---|---|---|---|
| Age (years), median [IQR] | 75 [68–81] | 67 [61–72] | <0.001 |
| Female sex, n (%) | 667 (23.3) | 159 (23.5) | 0.979 |
| Race, n (%) | 0.702 | ||
| White | 2,675 (94.3) | 628 (93.9) | |
| Non-White | 163 (5.7) | 41 (6.1) | |
| Charlson co-morbidity index, n (%) | < 0.001 | ||
| 0 | 1,899 (66.5) | 494 (73.0) | |
| 1 | 689 (24.1) | 147 (21.7) | |
| 2 | 190 (6.7) | 33 (4.9) | |
| 3 | 79 (2.8) | 3 (0.4) | |
| Education level above median, n (%) | 1,810 (65.9) | 434 (68.6) | 0.216 |
| Income level above median, n (%) | 1,794 (65.3) | 469 (74.2) | <0.001 |
| Distance to treating facility (miles), median [IQR] | 10.3 [4.5–29] | 24.7 [9.3–79.2] | <0.001 |
| Insured, n (%) | 2,752 (98.5) | 656 (99.1) | 0.35 |
| Facility type, n (%) | <0.001 | ||
| Community program | 191 (7.7) | 12 (1.9) | |
| Comprehensive community program | 1,163 (46.8) | 146 (23.7) | |
| Research/academic program | 1,131 (45.5) | 459 (74.4) | |
| Clinical stage, n (%) | <0.001 | ||
| I | 1,190 (41.7) | 200 (29.5) | |
| II | 617 (21.6) | 185 (27.3) | |
| III | 1,050 (36.8) | 292 (43.1) | |
| Left-sided laterality, n (%) | 1,164 (40.7) | 294 (43.4) | 0.218 |
| Diagnostic method, n (%) | 0.001 | ||
| Histology | 2,742 (96.0) | 669 (98.8) | |
| Cytology | 107 (3.7) | 8 (1.2) | |
| Clinical diagnosis | 3 (0.1) | 0 | |
| Unknown | 5 (0.2) | 0 |
Note that the percentages shown for each variable are calculated considering only those patients in each group who did not have missing data for that variable. IQR, interquartile range.
Table 2
| Variable | Odds ratio | 95% confidence interval | P |
|---|---|---|---|
| Age (per decade) | 0.456 | 0.407–0.510 | <0.001 |
| Female sex | 0.869 | 0.682–1.108 | 0.258 |
| Non-White race | 0.84 | 0.547–1.292 | 0.428 |
| Insured | 4.791 | 1.747–13.141 | 0.002 |
| Charlson/Deyo comorbidity score (ref =0) | |||
| 1 | 1.012 | 0.789–1.298 | 0.928 |
| ≥2 | 0.762 | 0.494–1.176 | 0.22 |
| Income level above median | 1.454 | 1.16–1.823 | 0.001 |
| Clinical stage (ref = I) | |||
| II | 1.667 | 1.278–2.174 | <0.001 |
| III | 1.272 | 1.001–1.616 | 0.049 |
| Distance to treating facility (per 50 miles) | 1.059 | 1.031–1.088 | <0.001 |
| Left-sided laterality (versus right) | 0.952 | 0.775–1.169 | 0.639 |
| Academic/research facility | 2.745 | 2.2–3.425 | <0.001 |
Table 3 shows peri-operative outcomes for the patients who had surgery, stratified by whether they had guideline-concordant therapy or not. Surgical patients whose therapy were not concordant with guidelines went to surgery sooner after diagnosis, had less lymph nodes removed during surgery, and had significantly higher 30- and 90-day mortality. Surgical patients whose therapy was guideline concordant were more likely to receive radiation therapy [28.5% (193/677) vs. 17.7% (41/231), P<0.001]. As expected given the definition of guideline therapy requiring both surgery and chemotherapy, surgical patients in the non-guideline group did not get either induction or adjuvant chemotherapy.
Table 3
| Variable | Non-guideline (n=231) | Guideline therapy (n=677) | P |
|---|---|---|---|
| Days to definitive surgery, median [IQR] | 38 [0–64] | 83 [35–149] | <0.001 |
| Lymph nodes examined, median [IQR] | 0 [0–8] | 5 [0–11] | <0.001 |
| Positive margins, n (%) | 43 (36.1) | 146 (36.2) | 0.999 |
| R1 resection | 14 (11.8) | 57 (14.1) | |
| R2 resection | 11 (9.2) | 31 (7.7) | |
| Not otherwise specified, n (%) | 18 (15.1) | 58 (14.4) | |
| Hospital length of stay, median [IQR] | 6 [4–9] | 7 [5–10] | 0.073 |
| Unplanned readmission, n (%) | 11 (4.7) | 41 (6.1) | 0.222 |
| 30-day mortality, n (%) | 22 (9.5) | 12 (1.8) | <0.001 |
| 90-day mortality, n (%) | 34 (14.7) | 30 (4.5) | <0.001 |
| Any chemotherapy, n (%) | 0 (0) | 677 (100) | <0.001 |
| Induction chemotherapy | 0 (0) | 304 (44.9) | < 0.001 |
| Adjuvant chemotherapy | 0 (0) | 416 (61.4) | <0.001 |
| Any radiation, n (%) | 41 (17.5) | 193 (28.5) | 0.001 |
| Induction radiation | 6 (2.6) | 5 (0.7) | 0.038 |
| Adjuvant radiation | 35 (15.0) | 188 (27.8) | <0.001 |
IQR, interquartile range.
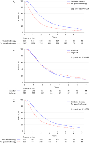
Both median survival [24.7 (22.4–26.1) vs. 13.7 (13.2–14.4) months] and 5-year survival [17.7% (14.7–21.3%) vs. 8.0% (7.0–9.3%)] was significantly better (P<0.001) when guideline therapy was used (Figure 3A). Receiving guideline concordant therapy continued to be associated with better survival in multivariable analysis, as was radiation therapy (Table 4). Older age, male sex, and increasing stage were all associated with worse survival in the multivariable analysis.
Table 4
| Variable | Hazard ratio | 95% confidence interval | P |
|---|---|---|---|
| Age (per decade) | 1.27 | 1.22–1.32 | <0.001 |
| Female sex | 0.74 | 0.68–0.81 | <0.001 |
| Charlson/Deyo comorbidity score (ref =0) | |||
| 1 | 1.07 | 0.98–1.17 | 0.1 |
| 2 | 1.16 | 1.01–1.32 | 0.03 |
| Stage (per stage group) | 1.13 | 1.08–1.18 | <0.001 |
| NCCN guideline therapy | 0.66 | 0.59–0.74 | <0.001 |
| Radiation therapy | 0.83 | 0.72–0.95 | 0.006 |
NCCN, National Comprehensive Cancer Network.
Timing of chemotherapy in guideline-treated patients
In the group of patients who had guideline-concordant therapy, induction therapy was used in 304 patients (44.9%) and adjuvant therapy was used in 373 patients (55.1%). Median survival [24.9 (21.9–27.2) vs. 24.5 (21.7–28.1) months] and 5-year survival [14.9% (10.9–20.2%) vs. 20.1% (16.0–25.4%)] was not significantly different between patients who underwent induction versus adjuvant chemotherapy (P=0.444, Figure 3B).
Propensity-matched analysis
Results of the propensity matched analysis were consistent with the primary analysis findings. The baseline characteristics of the propensity-matched groups were well-balanced (Table S1). In this group of matched patients, 73.3% (496/677) of patients who did not get guideline therapy received either chemotherapy, surgery, or radiation. Compared to the non-guideline group, surgery [100% (677/677) vs. 12.7% (86/677), P<0.001), chemotherapy [100% (432/432) vs. 59.8% (405/677), P<0.001], and radiation [28.5% (193/677) vs. 8.1% (55/677), P<0.001] were used significantly more often in the guideline concordant group of patients. In the group of patients who had guideline concordant therapy in the matched analysis, median survival [24.7 (22.4–26.1) vs. 15.6 (14.5–17.4) months] and 5-year survival [17.7% (14.7–21.3%) vs. 10.7% (8.3–13.8%)] was significantly better than matched patients who did not receive guideline concordant therapy (P<0.001, Figure 3C).
Discussion
Among the nearly 3,600 patients with stage I–III epithelioid MPM in this national database analysis, less than 20% were treated according to national cancer treatment guidelines. Patients receiving guideline-concordant therapy had approximately double the median survival and 5-year survival compared to patients who did not. On adjusted analysis, the use of guideline-concordant therapy was independently associated with 33% reduced risk of mortality. Notably, patients who received guideline-concordant therapy had similar overall survival with either induction or adjuvant chemotherapy, though other studies have suggested that immediate surgery may be associated with better outcomes (22). Within the cohort of surgical patients, perioperative mortality was higher in patients who did not receive guideline-concordant therapy. Furthermore, none of the surgical patients in the non-guideline group received any chemotherapy and only 15% received radiation postoperatively. This finding suggests that the morbidity or recovery associated with proceeding with primary surgery may ultimately limit the use of guideline concordant therapy.
To the best of our knowledge, this is the first population-based study evaluating the efficacy of NCCN guideline-concordant treatment for patients with stage I–III epithelioid MPM. Although guidelines in the management of mesothelioma are available from other organizations, the NCCN guidelines were chosen for assessment as updates are regularly and immediately available to providers. Previous population-based analyses, with the exception of one study of the International Association for the Study of Lung Cancer (IASLC) international MPM database performed by Rusch et al. (23), were limited by a lack of specific stage information (24-32). A primary focus of the current study was to examine only those patients who may be appropriate for aggressive therapy based on histology and stage. Thus, results from this analysis can potentially be useful in estimating the benefit of aggressive treatment and guide clinical decision making. Furthermore, in this study we utilized a strict definition of guideline concordance to comprise of both cancer-directed surgery and chemotherapy, which is in contrast to prior publications on the topic of guideline-directed therapy for MPM (33). It should be noted that there is evidence that additional therapies beyond guideline therapy such as photodynamic therapy can also improve survival (34). In addition, however, this current study demonstrates the potential benefit to patients in following guideline recommendations.
It is notable that patients who received non-guideline therapy were generally older and had higher co-morbidities scores. Thus, the possibility of selection bias exists, as patients in the guideline-concordant group were generally healthier and younger which can account for improved overall survival. To address this potential confounding factor, propensity score matching was done to control for these variables, and survival analysis in this matched cohort demonstrated similar results of improved survival with guideline-concordant treatment. However, patient characteristics such as pulmonary function, functional status, smoking history, specific co-morbidities all can factor into the ability to tolerate specific therapy and therefore impact the treatment decision, as well as their survival unrelated to mesothelioma, but could not specifically be controlled for in this study. In addition, some of the positive survival benefit associated with guideline concordant therapy could be related to the fact that a patient was fit and healthy enough to be offered multimodality therapy, rather than specific benefit from the therapies. Another limitation specific to this analysis relates to the fact that we cannot determine the exact surgical procedure done or extent of resection based on coding in the NCDB. As such, it cannot be definitively known whether adjuvant radiation was indicated in each case since it is not specified in the NCDB whether patients underwent extrapleural pneumonectomy versus pleurectomy/decortication, as adjuvant radiation is considered optional after pleurectomy/decortication. Adjuvant radiation was therefore not necessary to be considered guideline-concordant for the purposes of this study, which is a limitation of the study. This limitation has also been present in previous studies that categorized trimodality therapy as guideline-concordant but could not specify which patients received extrapleural pneumonectomy versus pleurectomy/decortication (33). In addition, not being able to specify which specific surgical procedure was utilized in patients is a limitation, though the impact of that limitation on the survival findings may not be substantial. To date, the superiority of extrapleural pneumonectomy over pleurectomy/decortication has not been established, as data from randomized controlled trials are not available (16,35-39). A retrospective analysis of 663 patients reported enhanced survival after pleurectomy/decortication compared to extrapleural pneumonectomy, however this finding may have been confounded by selection bias (38,40). Furthermore, a randomized feasibility study did not find that extrapleural pneumonectomy improved outcomes compared to chemotherapy alone in patients with MPM (12,18,41,42). However, considering that surgical practice has trended to utilize pleurectomy/decortication rather than extrapleural pneumonectomy, the inclusion in our study of patients undergoing extrapleural pneumonectomy could be underestimating the potential benefits of adhering to guideline care that utilizes pleurectomy/decortication rather than the generally more morbid extrapleural pneumonectomy.
Additional limitations relate to the fact that our analyses can only incorporate data elements available in the NCDB. Factors that might impact the use of treatment such as surgeon expertise, surgical technique, and patient frailty could not be evaluated. Additionally, the reason to forego induction chemotherapy cannot be determined. Patients may also have been initially planned to have multimodality guideline concordant therapy, but did not make it to their next step in treatment due to complications of therapy, poor tolerance of therapy, or cancer progression. Therefore, our results may be underestimating the percentage of patients who receive appropriate pre-treatment evaluation and planning. It is therefore very important to acknowledge that providers may have planned guideline adherent care, but disease progression or patient inability to tolerate care may have prevented them from getting that care. The study analyses also cannot take into account whether patients completed all planned chemotherapy treatments, and therefore likely includes patients who received abbreviated or limited courses, which may lead to a lower than true estimate of the impact of guideline concordant therapy. Furthermore, the utilized dataset does not provide information regarding occurrence and treatment of disease recurrence, which can influence the primary outcome of survival. Finally, use of the NCDB allows evaluation of the use and impact of therapy for mesothelioma, but does not allow assessment as to whether guidelines were followed in terms of pre-operative assessment and staging as well as post-therapy observation. Despite these limitations, this study is able to evaluate a cohort of patients much larger than can be done with even high volume centers of excellence across of a spectrum of treatment facilities. The study’s primary finding of poor compliance with recommended care for epithelioid mesothelioma identifies a potential area of improvement in the care of patients with this formidable disease. It is also important to note that results from the United Kingdom’s Mesothelioma and Radical Surgery 2 (MARS2) trial where pleurectomy/decortication was compared with non-surgical care were recently presented at the 2023 International Association for the Study of Lung Cancer (IASLC) conference, and may influence recommendations regarding use of surgery for mesothelioma (43). In addition, immunotherapy has also shown promising results in mesothelioma therapy (44). However, publication of the MARS2 study as well as immunotherapy use will likely be incorporated into future iterations of guideline care by mesothelioma specialists. Although specifics of guidelines may change over time as evidence evolves, our current study should serve as an important reminder to providers that patients will be best off when care adheres to those guidelines.
Conclusions
In conclusion, the majority of patients with potentially resectable epithelioid mesothelioma are not managed according to national cancer treatment guidelines. Patients who receive guideline-concordant therapy have significantly better short-term and long-term outcomes. Chemotherapy can be given either before or after surgical resection with no significant impact on overall survival. Outcomes for this uncommon but typically grim diagnosis may be improved by management strategies that increase the use of guideline-concordant treatment for stage I–III epithelioid MPM.
Acknowledgments
The data used in this study are derived from a de-identified National Cancer Database file. The American College of Surgeons has executed a Business Associate Agreement that includes a data use agreement with each of its Commission on Cancer accredited hospitals. The American College of Surgeons and the Commission on Cancer have not verified and are not responsible for the analytic or statistical methodology employed, or the conclusions drawn from these data by the investigators.
Funding: None.
Footnote
Reporting Checklist: The authors have completed the STROBE reporting checklist. Available at https://jtd.amegroups.com/article/view/10.21037/jtd-23-1334/rc
Peer Review File: Available at https://jtd.amegroups.com/article/view/10.21037/jtd-23-1334/prf
Conflicts of Interest: All authors have completed the ICMJE uniform disclosure form (available at https://jtd.amegroups.com/article/view/10.21037/jtd-23-1334/coif). N.S.L. serves as an unpaid editorial board member of Journal of Thoracic Disease from September 2023 to August 2025. M.F.B. serves as an unpaid editorial board member of Journal of Thoracic Disease from October 2022 to September 2024. L.M.B. has received grant funding from the United States Department of Veterans Affairs, the National Institutes of Health, and the Chan Zuckerberg Institute. She has received royalties from Bristol Squibb Myers, and consulting fees from Genentech and Johnson & Johnson, as well as speaker honoraria from the International Lung Cancer Congress. None of these activities are related to the topic of this manuscript. The other authors have no conflicts of interest to declare.
Ethical Statement: The authors are accountable for all aspects of the work in ensuring that questions related to the accuracy or integrity of any part of the work are appropriately investigated and resolved. The study was conducted in accordance with the Declaration of Helsinki (as revised in 2013).
Open Access Statement: This is an Open Access article distributed in accordance with the Creative Commons Attribution-NonCommercial-NoDerivs 4.0 International License (CC BY-NC-ND 4.0), which permits the non-commercial replication and distribution of the article with the strict proviso that no changes or edits are made and the original work is properly cited (including links to both the formal publication through the relevant DOI and the license). See: https://creativecommons.org/licenses/by-nc-nd/4.0/.
References
- Krug LM, Pass HI, Rusch VW, et al. Multicenter phase II trial of neoadjuvant pemetrexed plus cisplatin followed by extrapleural pneumonectomy and radiation for malignant pleural mesothelioma. J Clin Oncol 2009;27:3007-13. [Crossref] [PubMed]
- Rice DC, Stevens CW, Correa AM, et al. Outcomes after extrapleural pneumonectomy and intensity-modulated radiation therapy for malignant pleural mesothelioma. Ann Thorac Surg 2007;84:1685-92; discussion 1692-3. [Crossref] [PubMed]
- Rusch VW, Rosenzweig K, Venkatraman E, et al. A phase II trial of surgical resection and adjuvant high-dose hemithoracic radiation for malignant pleural mesothelioma. J Thorac Cardiovasc Surg 2001;122:788-95. [Crossref] [PubMed]
- Vogelzang NJ, Rusthoven JJ, Symanowski J, et al. Phase III study of pemetrexed in combination with cisplatin versus cisplatin alone in patients with malignant pleural mesothelioma. J Clin Oncol 2003;21:2636-44. [Crossref] [PubMed]
- Linton A, Pavlakis N, O'Connell R, et al. Factors associated with survival in a large series of patients with malignant pleural mesothelioma in New South Wales. Br J Cancer 2014;111:1860-9. [Crossref] [PubMed]
- Mazurek JM, Syamlal G, Wood JM, et al. Malignant Mesothelioma Mortality - United States, 1999-2015. MMWR Morb Mortal Wkly Rep 2017;66:214-8. [Crossref] [PubMed]
- Meyerhoff RR, Yang CF, Speicher PJ, et al. Impact of mesothelioma histologic subtype on outcomes in the Surveillance, Epidemiology, and End Results database. J Surg Res 2015;196:23-32. [Crossref] [PubMed]
- Musk AW, Olsen N, Alfonso H, et al. Predicting survival in malignant mesothelioma. Eur Respir J 2011;38:1420-4. [Crossref] [PubMed]
- Bölükbas S, Manegold C, Eberlein M, et al. Survival after trimodality therapy for malignant pleural mesothelioma: Radical Pleurectomy, chemotherapy with Cisplatin/Pemetrexed and radiotherapy. Lung Cancer 2011;71:75-81. [Crossref] [PubMed]
- de Perrot M, Feld R, Cho BC, et al. Trimodality therapy with induction chemotherapy followed by extrapleural pneumonectomy and adjuvant high-dose hemithoracic radiation for malignant pleural mesothelioma. J Clin Oncol 2009;27:1413-8. [Crossref] [PubMed]
- Sugarbaker DJ, Flores RM, Jaklitsch MT, et al. Resection margins, extrapleural nodal status, and cell type determine postoperative long-term survival in trimodality therapy of malignant pleural mesothelioma: results in 183 patients. J Thorac Cardiovasc Surg 1999;117:54-63; discussion 63-5. [Crossref] [PubMed]
- Weder W, Stahel RA, Bernhard J, et al. Multicenter trial of neo-adjuvant chemotherapy followed by extrapleural pneumonectomy in malignant pleural mesothelioma. Ann Oncol 2007;18:1196-202. [Crossref] [PubMed]
- Nelson DB, Rice DC, Niu J, et al. Long-Term Survival Outcomes of Cancer-Directed Surgery for Malignant Pleural Mesothelioma: Propensity Score Matching Analysis. J Clin Oncol 2017;35:3354-62. [Crossref] [PubMed]
- National Comprehensive Cancer Network. Malignant Pleural Mesothelioma (Version 1.2022 - December 22, 2021). Available online: https://www.nccn.org/professionals/physician_gls/pdf/mpm.pdf. Accessed February 15, 2022.
- Ai J, Stevenson JP. Current issues in malignant pleural mesothelioma evaluation and management. Oncologist 2014;19:975-84. [Crossref] [PubMed]
- Kaufman AJ, Flores RM. Surgical treatment of malignant pleural mesothelioma. Curr Treat Options Oncol 2011;12:201-16. [Crossref] [PubMed]
- Rena O, Casadio C. Lack of evidence in malignant pleural mesothelioma surgery. Interact Cardiovasc Thorac Surg 2011;12:347-8. [Crossref] [PubMed]
- Treasure T, Internullo E, Fiorentino F, et al. A survey of opinions and beliefs concerning surgery for malignant pleural mesothelioma amongst 802 members of the European Association for Cardio-Thoracic Surgery (EACTS), the European Society of Thoracic Surgeons (ESTS) and the Society of Thoracic Surgeons (STS). Interact Cardiovasc Thorac Surg 2011;12:341-6. [Crossref] [PubMed]
- Bilimoria KY, Stewart AK, Winchester DP, et al. The National Cancer Data Base: a powerful initiative to improve cancer care in the United States. Ann Surg Oncol 2008;15:683-90. [Crossref] [PubMed]
- Yang CJ, Yan BW, Meyerhoff RR, et al. Impact of Age on Long-Term Outcomes of Surgery for Malignant Pleural Mesothelioma. Clin Lung Cancer 2016;17:419-26. [Crossref] [PubMed]
- Taioli E, Wolf AS, Camacho-Rivera M, et al. Determinants of Survival in Malignant Pleural Mesothelioma: A Surveillance, Epidemiology, and End Results (SEER) Study of 14,228 Patients. PLoS One 2015;10:e0145039. [Crossref] [PubMed]
- Voigt SL, Raman V, Jawitz OK, et al. The Role of Neoadjuvant Chemotherapy in Patients With Resectable Malignant Pleural Mesothelioma-An Institutional and National Analysis. J Natl Cancer Inst 2020;112:1118-27. [Crossref] [PubMed]
- Rusch VW, Giroux D, Kennedy C, et al. Initial analysis of the international association for the study of lung cancer mesothelioma database. J Thorac Oncol 2012;7:1631-9. [Crossref] [PubMed]
- Berrino F, Gatta G, Chessa E, et al. Introduction: the EUROCARE II Study. Eur J Cancer 1998;34:2139-53. [Crossref] [PubMed]
- Flores RM, Riedel E, Donington JS, et al. Frequency of use and predictors of cancer-directed surgery in the management of malignant pleural mesothelioma in a community-based (Surveillance, Epidemiology, and End Results [SEER]) population. J Thorac Oncol 2010;5:1649-54.
- Gatta G, Ciccolallo L, Kunkler I, et al. Survival from rare cancer in adults: a population-based study. Lancet Oncol 2006;7:132-40. [Crossref] [PubMed]
- Gorini G, De Gregorio G, Silvestri S, et al. Survival of malignant pleural mesothelioma cases in the Tuscan Mesothelioma Register, 1988-2000: a population-based study. Eur J Cancer Prev 2005;14:195-9. [Crossref] [PubMed]
- Janssen-Heijnen ML, Damhuis RA, Klinkhamer PJ, et al. Increased but low incidence and poor survival of malignant mesothelioma in the southeastern part of The Netherlands since 1970: a population-based study. Eur J Cancer Prev 1999;8:311-4. [Crossref] [PubMed]
- Magnani C, Viscomi S, Dalmasso P, et al. Survival after pleural malignant mesothelioma: a population-based study in Italy. Tumori 2002;88:266-9. [Crossref] [PubMed]
- Milano MT, Zhang H. Malignant pleural mesothelioma: a population-based study of survival. J Thorac Oncol 2010;5:1841-8. [Crossref] [PubMed]
- National Comprehensive Cancer Network. Malignant Pleural Mesothelioma (Version 2.2021). 2021. Available online: https://www.nccn.org/professionals/physician_gls/pdf/mpm.pdf. Accessed July 27, 2021.
- Spirtas R, Connelly RR, Tucker MA. Survival patterns for malignant mesothelioma: the SEER experience. Int J Cancer 1988;41:525-30. [Crossref] [PubMed]
- Espinoza-Mercado F, Borgella JD, Berz D, et al. Disparities in Compliance With National Guidelines for the Treatment of Malignant Pleural Mesothelioma. Ann Thorac Surg 2019;108:889-96. [Crossref] [PubMed]
- Friedberg JS, Mick R, Culligan M, et al. Photodynamic therapy and the evolution of a lung-sparing surgical treatment for mesothelioma. Ann Thorac Surg 2011;91:1738-45. [Crossref] [PubMed]
- Kindler HL. Surgery for mesothelioma? The debate continues. Lancet Oncol 2011;12:713-4. [Crossref] [PubMed]
- Maziak DE, Gagliardi A, Haynes AE, et al. Surgical management of malignant pleural mesothelioma: a systematic review and evidence summary. Lung Cancer 2005;48:157-69. [Crossref] [PubMed]
- Rice D. Surgical therapy of mesothelioma. Recent Results Cancer Res 2011;189:97-125. [Crossref] [PubMed]
- Tsao AS, Wistuba I, Roth JA, et al. Malignant pleural mesothelioma. J Clin Oncol 2009;27:2081-90. [Crossref] [PubMed]
- Lapidot M, Gill RR, Mazzola E, et al. Pleurectomy Decortication in the Treatment of Malignant Pleural Mesothelioma: Encouraging Results and Novel Prognostic Implications Based on Experience in 355 Consecutive Patients. Ann Surg 2022;275:1212-20. [Crossref] [PubMed]
- Flores RM, Pass HI, Seshan VE, et al. Extrapleural pneumonectomy versus pleurectomy/decortication in the surgical management of malignant pleural mesothelioma: results in 663 patients. J Thorac Cardiovasc Surg 2008;135:620-6, 626.e1-3.
- Sharif S, Zahid I, Routledge T, et al. Extrapleural pneumonectomy or supportive care: treatment of malignant pleural mesothelioma? Interact Cardiovasc Thorac Surg 2011;12:1040-5. [Crossref] [PubMed]
- Treasure T, Lang-Lazdunski L, Waller D, et al. Extra-pleural pneumonectomy versus no extra-pleural pneumonectomy for patients with malignant pleural mesothelioma: clinical outcomes of the Mesothelioma and Radical Surgery (MARS) randomised feasibility study. Lancet Oncol 2011;12:763-72. [Crossref] [PubMed]
- Mesothelioma and Radical Surgery 2 (MARS2). In: NCT02040272. National Library of Medicine. 2019. Available online: https://www.clinicaltrials.gov/study/NCT02040272#contacts-and-locations. Accessed 10/17/2023.
- Chevallier M, Kim F, Friedlaender A, et al. Pleural Mesothelioma in the Era of Immunotherapy. Clin Med Insights Oncol 2023;17:11795549231178173. [Crossref] [PubMed]



