More attention should be paid to Omicron-associated sepsis: a multicenter retrospective study in south China
Highlight box
Key findings
• About two-thirds hospitalized patients with Omicron infection had developed sepsis at hospital admission.
• Omicron-associated sepsis patients had a poorer prognosis than those without sepsis.
What is known and what is new?
• During alpha, beta, and delta epidemic, the incidence of severe acute respiratory syndrome coronavirus 2-associated sepsis was 77.9% in the intensive care unit (ICU) but only 33.3% in the general ward, from where 17.7% of patients were finally admitted to the ICU.
• A considerable proportion of patients with Omicron infection presented with sepsis at hospital admission, and sepsis in these patients is associated with a poorer prognosis.
What is the implication, and what should change now?
• This study highlights the importance of early recognition of viral sepsis by evaluating the Sequential Organ Failure Assessment (SOFA) score in hospitalized coronavirus disease 2019 (COVID-19) patients. Evaluation of the SOFA score should be applied for early recognition of sepsis in COVID-19 patients.
Introduction
Sepsis is a condition characterized by life-threatening organ dysfunction due to a dysregulated host response to infection. Organ dysfunction in patients with sepsis is estimated using the Sequential Organ Failure Assessment (SOFA) score (1). A multicenter cross-sectional survey in mainland China demonstrated that the incidence of sepsis was about 20% in the intensive care unit (ICU), whereas the 28-day mortality rate was as high as 35.5% (2). According to the World Health Organization, manifestations of sepsis and septic shock can be the final pathway of infection by highly transmissible pathogens of public health concern, such as avian and swine influenza viruses or coronaviruses (3). A recent meta-analysis indicated that the incidence of sepsis associated with severe acute respiratory syndrome coronavirus 2 (SARS-CoV-2-associated sepsis) was 77.9% in the ICU but only 33.3% in the general ward, from where 17.7% of patients were finally admitted to the ICU (4). However, that meta-analysis included mainly retrospective observational studies, most of which did not describe the SOFA score, resulting in great heterogeneity in the incidence rate of sepsis and its impact on patients’ prognoses. Additionally, the epidemic strains during the study period were alpha, beta, and delta. In November 2021, a new SARS-CoV-2 variant of concern, Omicron, was reported in South Africa (5) and has since been the dominant variant. The Omicron variant is reportedly associated with different biological patterns, and the in-hospital outcomes are better than those of the other variants (6). However, data regarding the incidence and prognosis of Omicron-associated sepsis in China are lacking.
We therefore performed a multicenter retrospective study to investigate the incidence of Omicron-associated sepsis according to the Sepsis 3.0 definition (1) in hospitalized patients and evaluate the relationship of Omicron-associated sepsis with patients’ clinical characteristics and prognosis in Guangzhou, south China. We present this article in accordance with the STROBE reporting checklist (available at https://jtd.amegroups.com/article/view/10.21037/jtd-23-808/rc).
Methods
Study population and participating centers
We conducted a multicenter retrospective study of patients in six tertiary hospitals in Guangzhou, China: The First Affiliated Hospital of Guangzhou Medical University, The Second Affiliated Hospital of Guangzhou Medical University, The Third Affiliated Hospital of Guangzhou Medical University, The Fourth Affiliated Hospital of Guangzhou Medical University, The Affiliated Cancer Hospital and Institute of Guangzhou Medical University, and Guangzhou Eighth People’s Hospital of Guangzhou Medical University. The study was conducted in accordance with the Declaration of Helsinki (as revised in 2013) and ethical approval was obtained from the ethics committee of The First Affiliated Hospital of Guangzhou Medical University (No. ES-2023-015-01) on January 11, 2023. As all six participating hospitals were affiliated with Guangzhou Medical University, they conducted the study under this approval. The requirement for informed consent was waived because of the retrospective nature of the study.
Adult patients hospitalized for treatment of SARS-CoV-2 infection from November 2022 to January 2023 were enrolled. The inclusion criteria were an age of ≥18 years, an available SOFA score, confirmation of SARS-CoV-2 infection by antigen or nucleic acid detection, and SARS-CoV-2 infection as the main reason for hospitalization. The exclusion criteria were an age of <16 years, incomplete clinical data, and patients deemed unsuitable for participation in the study according to the researcher’s judgment.
Data collection
The baseline characteristics, exposure, and outcomes were predefined to reduce the inherent bias in this retrospective study. All abstractors were intensive or respiratory physicians who had been trained by the primary investigator of this study. All the collected data were checked by two other researchers, and a third researcher settled disagreements regarding different interpretations. A standardized data collection instrument with clear criteria for recording both categorical and quantitative variables was shared. All data were collected from the hospital information system at each center. Data regarding the participants’ inpatient hospital course were censored 10 days after the last inclusion; thus, all data collection was completed in each hospital on 1 February 2023. The baseline characteristics included demographic data, medical history, vaccination status, physiologic variables at hospital presentation, inflammatory biomarkers [leukocyte count and concentrations of interleukin-6 (IL-6), C-reactive protein (CRP), and procalcitonin (PCT)], and SOFA score (general score and organ-specific scores).
Omicron lineages BA.5.2 and BF.7, which together accounted for 97.5% of all local infections as per genomic sequencing, were the dominant SARS-CoV-2 variants of concern during the study period in China (7). Omicron-associated viral sepsis was defined as SARS-CoV-2 infection with a SOFA score of ≥2, whereas septic shock was defined as sepsis with a lactate concentration of >2 mmol/L according to the Sepsis 3.0 definition (1). The severity of SARS-CoV-2 infection was classified based on the current Chinese diagnosis and treatment program (8) as follows.
- Mild: upper respiratory tract infection is the main manifestation, with symptoms such as pharyngeal discomfort, cough, and fever.
- Moderate: persistent high fever is present for >3 days and/or symptoms such as cough or shortness of breath are present; however, the respiratory rate is <30 breaths/min, and the oxygen saturation is >93% on room air at rest. Chest imaging shows the characteristic manifestations of SARS-CoV-2 pneumonia.
- Severe: patients meet at least one of the following conditions that cannot be explained by other reasons: (I) shortness of breath and respiratory rate of ≥30 breaths/min; (II) oxygen saturation of ≤93% on room air at rest; and/or (III) arterial partial pressure of oxygen (PaO2)/oxygen uptake concentration (FiO2) ratio of ≤300 mmHg.
- Critical: patients meet at least one of the following conditions: (I) mechanical ventilation is required because of respiratory failure; (II) shock is present; and/or (III) transfer to the ICU is required because of other organ failure.
In our study, we assigned patients with mild and moderate SARS-Cov-2 infection to the non-serious group and patients with severe and critical SARS-Cov-2 infection to the serious group.
Objectives and clinical outcomes
The primary objective of this study was to investigate the incidence of Omicron-associated sepsis in hospitalized patients with Omicron infection. Sepsis was diagnosed based on the Sepsis 3.0 definition, which requires a SOFA score of 2 or higher in a patient with omicron infection. The incidence in the general ward, in the ICU, in the non-severe group, and in the severe group was respectively investigated. We also compared the patients’ baseline clinical characteristics, biological characteristics, and individual organ SOFA scores between the non-serious group and serious group.
A secondary objective was to evaluate the predictive effect of Omicron-associated sepsis on the patient’s prognosis. For this purpose, two main patient outcomes were measured: the need for transfer to the ICU and the survival status. Another secondary objective was to compare the predictive effect of sepsis and other inflammatory biomarkers.
Statistical analysis
The patients’ characteristics were evaluated in the whole population and each predefined group. Categorical variables were expressed as number (percentage) and quantitative variables as mean ± standard deviation or median [interquartile range (IQR)], depending on their distribution. The univariate analysis was performed by Pearson’s Chi-squared test or Fisher’s chi-square test for categorical variables and by the t-test or Wilcoxon’s signed-rank test for quantitative variables. A receiver operating characteristics (ROC) curve was drawn to evaluate and compare the predictive value of the SOFA score, IL-6 concentration, CRP concentration, PCT concentration, and leukocyte count for the patient’s mortality and whether the patients needed to be transferred to the ICU, and Pearson’s Chi-squared test was used to evaluate the correlation between the SOFA score and the IL-6 concentration, CRP concentration, PCT concentration, and leukocyte count. A two tailed P value of <0.05 was considered statistically significant. Multiple imputation was not performed to address missing data because the rate of missing data in the present study was not high.
Statistical analyses were performed using SPSS Version 20.0 (IBM Corp., Armonk, NY, USA).
Results
In total, 836 patients were retrospectively screened. Among them, 299 patients with complete data on SOFA scores were enrolled.
Baseline characteristics at hospital presentation
The mean age of the population was 70.1±14.4 years, and 126 (42.14%) patients were female. The median body mass index was 22.86 kg/m2 (IQR, 19.65–24.57 kg/m2). Among the population, only 142 (60.42%) patients were vaccinated. Chronic cardiovascular disease was the most common basic disease, followed by diabetes. More details are shown in Table 1. Among the 299 patients, 152 were in the non-serious group and the others were in the serious group. The proportions of male patients and unvaccinated patients were significantly higher in the serious than non-serious group (63.27% vs. 52.63%, P=0.042 and 62.1% vs. 17.6%, P<0.001, respectively). In terms of morbidities, the proportions of diabetes, chronic cardiovascular disease, and chronic lung disease were significantly higher in the serious than non-serious group (all P<0.05); however, there was no significant difference in the white blood cell count, lymphocyte count, or platelet count between the two groups at admission. More details are shown in Table S1.
Table 1
| Variable | Values (n=299) |
|---|---|
| Age (years) | 70.1±14.4 |
| Female | 126 (42.14) |
| BMI, kg/m2 | 22.86 (19.65–24.57) |
| Vaccination† | 142 (60.42) |
| Clinical classification | |
| Non-serious group | 152 (50.8) |
| Serious group | 147 (49.2) |
| Diabetes | 88 (29.43) |
| Chronic cardiovascular disease | 168 (56.19) |
| Chronic lung disease | 67 (22.41) |
| Chronic kidney disease | 24 (8.03) |
| Chronic liver disease | 12 (4.01) |
| Chronic nervous disease | 23 (7.69) |
| Malignant tumor | 22 (7.36) |
| Immunosuppression therapy | 12 (4.01) |
Data are presented as number (percentage), median (interquartile range) or mean standard deviation. Non-serious group: patients with mild and moderate SARS-Cov-2 infection; Serious group: patients with severe and critical SARS-Cov-2 infection. †, the data of 235 patients were analyzed because of missing data. BMI, body mass index; SARS-Cov-2, severe acute respiratory syndrome coronavirus 2.
Incidence of Omicron-associated sepsis at hospital admission
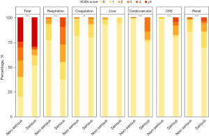
The median SOFA score of all enrolled patients was 1 (IQR, 0–18). The mean SOFA score was significantly lower in the non-serious group than in the serious group {0 [0–1] vs. 5 [2–9], respectively; P<0.001} (Table 2). According to the SOFA score, 147 (64.19%) patients fulfilled the Sepsis 3.0 criteria and were diagnosed with Omicron-associated sepsis at hospital admission. Among them, most patients (n=113, 76.87%) were in the serious group. Of the patients with sepsis, the individual organ SOFA scores for the respiratory, coagulation, cardiovascular, central nervous, and renal systems were significantly higher in the serious group than in the non-serious group (all P<0.05) (Table 2, Figure 1). Finally, among the patients with sepsis, 49 underwent lactate measurement within 24 hours of admission. Of these, 20 out of 49 (40.81%) exhibited septic shock, and most of them were in the serious group (17/20, 85%).
Table 2
| Variable | Serious group (n=147) | Non-serious group (n=152) | P value |
|---|---|---|---|
| SOFA total | 5 [2–9] | 0 [0–1] | <0.001 |
| SOFA classification, n (%) | <0.001 | ||
| ≥2 | 113 (76.87) | 34 (22.37) | |
| <2 | 34 (23.13) | 118 (77.63) | |
| SOFA score | |||
| Respiration | 1 [0–3] | 0 [0–0] | <0.001 |
| Coagulation | 0 [0–0] | 0 [0–0] | 0.018 |
| Liver | 0 [0–0] | 0 [0–0] | 0.109 |
| Cardiovascular | 0 [0–1] | 0 [0–0] | <0.001 |
| CNS | 0 [0–0] | 0 [0–0] | <0.001 |
| Renal | 0 [0–1] | 0 [0–0] | <0.001 |
Data are presented as number (percentage) or median [interquartile range]. Non-serious group: patients with mild and moderate SARS-Cov-2 infection; Serious group: patients with severe and critical SARS-Cov-2 infection. SOFA, Sequential Organ Failure Assessment; CNS, central nervous system; SARS-Cov-2, severe acute respiratory syndrome coronavirus 2.
Impact of sepsis on patients’ prognosis
Of the 299 patients, 30 were directly admitted to the ICU, and the other 269 were in the general ward at admission. Sepsis was present in 118 (43.9%) patients in the general ward, and of these patients, 34 (28.8%) later needed to be transferred to the ICU during hospitalization. By contrast, no patients without sepsis required transfer to the ICU (P<0.001). In addition, the mortality rate was significantly higher among patients with than without sepsis (19.73% vs. 0.66%, respectively; P<0.001). However, the length of in-hospital stay was similar between patients with and without sepsis. Patients with sepsis received more glucocorticoid therapy than those without sepsis (72.41% vs. 47.37%, respectively; P<0.001), but there was no significant difference in the use of antiviral drugs between the two groups (Table 3).
Table 3
| Variable | Sepsis (n=147) | Non-sepsis (n=152) | P value |
|---|---|---|---|
| Transferred to ICU† | 34 (28.8) | 0 (0) | <0.001 |
| LOS in hospital, d | 7.87±3.90 | 6.632±2.97 | 0.120 |
| Mortality | 29 (19.73) | 1 (0.66) | <0.001 |
| White blood cell count (×109/L) | 10.11±5.7 | 7.66±3.39 | <0.001 |
| Lymphocyte count (×109/L) | 2.56±9.88 | 3.311±9.20 | 0.512 |
| Platelet count (×109/L) | 194.62±101.96 | 296.11±97.56 | <0.001 |
| Lactate (mmol/L) | 1.61±1.52 | 1.32±0.69 | 0.336 |
| IL-6‡ (U/mL) | 0.000 | ||
| <7 | 9 (10.11) | 37 (36.63) | |
| 7–149.9 | 63 (70.77) | 61 (60.40) | |
| 150–250 | 3 (3.37) | 3 (2.97) | |
| >250 | 14 (15.73) | 0 (0) | |
| CRP§ (mg/L) | <0.001 | ||
| <10 | 29 (30.85) | 43 (46.74) | |
| 10–24.9 | 9 (9.57) | 20 (21.74) | |
| 25–49.9 | 17 (18.09) | 12 (13.04) | |
| 50–99.9 | 15 (15.96) | 13 (14.13) | |
| ≥100 | 24 (25.53) | 4 (4.35) | |
| PCT¶ (ng/mL) | <0.001 | ||
| <0.05 | 14 (9.93) | 70 (48.61) | |
| 0.05–1.99 | 92 (65.25) | 69 (47.92) | |
| ≥2 | 35 (24.82) | 5 (3.47) | |
| Glucocorticoid therapyǁ | 84 (72.41) | 72 (47.37) | <0.001 |
| Paxlovid therapy# | 26 (26.26) | 38 (25.00) | 0.823 |
| Azvudine therapy# | 4 (0.40) | 5 (3.29) | 0.754 |
Data are presented as number (percentage) or mean standard deviation. †, 269 patients who were initially admitted to the general ward were analyzed; ‡, the data of 190 patients were analyzed because of missing data; §, the data of 186 patients were analyzed because of missing data; ¶, the data of 285 patients were analyzed because of missing data; ǁ, the data of 268 patients were analyzed because of missing data; #, the data of 251 patients were analyzed because of missing data. CRP, C-reactive protein; ICU, intensive care unit; IL-6, interleukin-6; LOS, length of stay; PCT, procalcitonin; SD, standard error.
Predictive effect of sepsis and other inflammatory biomarkers
The white blood cell count was significantly higher in patients with than without sepsis [(10.11±5.7 vs. 7.66±3.39)×109/L, respectively; P<0.001], while the platelet count was significantly lower [(194.62±101.96 vs. 296.11±97.56)×109/L, respectively; P<0.001]. The IL-6, CRP, and PCT concentrations were significantly higher in patients with than without sepsis (P<0.001), while the lymphocyte count was not significantly different between the two groups (Table 3).
An ROC curve with the SOFA score and other inflammatory biomarkers was drawn to predict transfer to the ICU (Figure 2). We found that the CRP concentration had the highest predictive value [area under the ROC curve (AUC) =0.706, 95% confidence interval (CI): 0.496–0.917, P=0.096], followed by the SOFA score (AUC =0.602, 95% CI: 0.412–0.792, P=0.410), PCT concentration (AUC =0.537, 95% CI: 0.342–0.732, P=0.763), and IL-6 concentration (AUC =0.512, 95% CI: 0.311–0.714, P=0.92). The AUC of the lymphocyte count was only 0.440. Next, we evaluated the correlation between the SOFA score and these markers, and the results showed that the SOFA score was well correlated with the CRP concentration (r=0.503, P<0.01), followed by the IL-6 concentration (r=0.503, P<0.01) and PCT concentration (r=0.267, P<0.01). By contrast, the SOFA score had no correlation with the lymphocyte count (r=−0.108, P=0.09).
We drew another ROC curve with the SOFA score and other inflammatory biomarkers to predict patient mortality (Figure 3). We found that the IL-6 concentration had the best predictive value (AUC =0.765, 95% CI: 0.553–0.977, P=0.014), followed by the SOFA score (AUC =0.710, 95% CI: 0.538–0.882, P=0.052), PCT concentration (AUC =0.537, 95% CI: 0.265–0.809, P=0.731), CRP concentration (AUC =0.536, 95% CI: 0.309–0.763, P=0.737), and lymphocyte count (AUC =0.346, 95% CI: 0.140–0.552, P=0.155). The correlation between the SOFA score and these markers was also evaluated, and the result showed that the SOFA score was well correlated with the CRP concentration (r=0.433, P<0.01), followed by the PCT concentration (r=0.337, P<0.01) and IL-6 concentration (r=0.312, P<0.01). However, the SOFA score had no correlation with the lymphocyte count (r=−0.042, P=0.476).
Discussion
Our study produced four important findings. First, 64.19% of patients with Omicron infection had sepsis at hospital admission. Second, the patients with serious Omicron infection had more obvious organ injury associated with the respiratory, coagulation, cardiovascular, central nervous, and renal systems based on the SOFA scores. Third, patients with Omicron-associated sepsis had a poorer prognosis than those without. Fourth, the SOFA scores of the patients with Omicron infection at hospital admission were predictive of transfer to the ICU and mortality.
Our study emphasized the high incidence and importance of SARS-CoV-2-associated sepsis in hospitalized patients, which is similar to the findings of a recent meta-analysis (3). However, our study had three important advantages over that study. First, the meta-analysis focused on the incidence of SARS-CoV-2-associated sepsis during hospitalization (3). Because patients may develop secondary infection when receiving glucocorticoids and antibiotics, it was not clear whether the sepsis was caused solely by viral infection. In our study, we evaluated the SOFA score at hospital admission when the probability of secondary infection was very low (9,10). Second, because of the heterogeneity of the studies enrolled in the meta-analysis, there was no uniform time point for the sepsis diagnosis. In our study, we uniformly stipulated that the time of sepsis diagnosis was at the time of hospital admission, and we found that this was predictive of the patient’s prognosis. Therefore, the importance of early recognition of sepsis was emphasized. Third, because of the difference in the study periods between the meta-analysis and the present work, the patients enrolled in our study were infected with the Omicron variant, which is considered to have relatively weak pathogenicity. However, it seems that this variant also has a high probability of inducing sepsis, which would worsen the patient’s prognosis.
In our study, we used the Sepsis 3.0 criteria (infection + SOFA score of ≥2) to identify patients at risk of sepsis and septic shock. As a result, a question arose: is it adequate to apply this criterion to patients with SARS-CoV-2 infection? Indeed, several studies have questioned the sensitivity and reliability of Sepsis 3.0 despite its general acceptance since 2016 (11-13). In patients with severe coronavirus disease 2019 (COVID-19), the Sepsis 3.0 criteria for septic shock may exclude approximately one-third of patients with a similarly high risk of a poor outcome and mortality (14). However, it has been clearly demonstrated that the mortality of patients with SARS-CoV-2 infection is strongly and positively associated with ventilation and hemodynamic support (15,16), which can be easily identified by the SOFA score. Notably, a striking parallel between bacterial sepsis and COVID-19 phenotypes has been found (17,18), so in our opinion, it was reasonable to apply the SOFA score to this population. Furthermore, although SARS-CoV-2-associated sepsis has rarely been reported as “sepsis” syndrome (4), it is precisely that these patients need early recognition and organ support. Therefore, we believe that the most important point at present is not to focus on the details of the diagnostic criteria but to improve the awareness of the importance of achieving a correct diagnosis.
Why is it so important to achieve an early diagnosis of sepsis in patients with SARS-CoV-2 infection? In fact, some scholars have objected to diagnosing these patients with sepsis because Sepsis 3.0 does not clearly discriminate the treatment characteristics between severe SARS-CoV-2 infection and other causes of sepsis; this lack of distinction might lead to unnecessary broad-spectrum antibiotic usage and overly aggressive fluid resuscitation (19). This argument also reflects the fact that many clinicians only consider sepsis to be associated with bacterial infection, thus initiating a “one size fits all” protocol (20). However, both the Sepsis 3.0 criteria and the previous definition (21) emphasize that all pathogens that might lead to a dysregulated host response can cause sepsis, either bacterial or viral. In addition, early recognition of sepsis can alert clinicians to the severity of the patient’s condition and the probability of organ support. Of course, we must also emphasize that such a population requires an individualized protocol, not a “one size fits all” protocol.
Our study demonstrated that the IL-6 concentration, CRP concentration, and PCT concentration were significantly elevated in patients with Omicron-associated sepsis and that the SOFA score, IL-6 concentration, CRP concentration, and PCT concentration could effectively predict the patients’ prognosis. Notably, Broman et al. (22) also illustrated that these inflammatory biomarkers can predict the severity of disease and the probability of ICU care for patients with SARS-CoV-2 infection. Considering that clinicians do not regularly evaluate the SOFA score in the general ward, abnormalities in these biomarkers may serve as a cautionary sign.
Our study had three main limitations. First, some data were missing because of the retrospective nature of the study. However, we predefined all the variables and performed a rigorous data collection process to reduce the inherent bias as far as possible. Second, only variables at hospital admission were collected. The dynamic changes in these variables should be evaluated in future studies. Third, because the SOFA score was not regularly evaluated in the general ward, the patients we enrolled might have presented with more serious illness that prompted the clinicians to pay closer attention and obtain the SOFA score, leading to selection bias.
Conclusions
A considerable proportion of patients with Omicron infection presented with sepsis at hospital admission, and sepsis in these patients is associated with a poorer prognosis. Evaluation of the SOFA score should be applied for early recognition of sepsis.
Acknowledgments
We thank Angela Morben, DVM, ELS, from Liwen Bianji (Edanz) (www.liwenbianji.cn), for editing the English text of a draft of this manuscript.
Funding: This study was supported by
Footnote
Reporting Checklist: The authors have completed the STROBE reporting checklist. Available at https://jtd.amegroups.com/article/view/10.21037/jtd-23-808/rc
Data Sharing Statement: Available at https://jtd.amegroups.com/article/view/10.21037/jtd-23-808/dss
Peer Review File: Available at https://jtd.amegroups.com/article/view/10.21037/jtd-23-808/prf
Conflicts of Interest: All authors have completed the ICMJE uniform disclosure form (available at https://jtd.amegroups.com/article/view/10.21037/jtd-23-808/coif). N.Z. serves as the Editor-in-Chief of Journal of Thoracic Disease. L.S. received funding from the National Key R&D Program of China (grants No. 2022YFC0869400, 2022YFC2504402), the National Natural Science Foundation of China (grant No. 82270081), the Emergency Key Program of Guangzhou Laboratory (grant No. EKPG21-17), and the Natural Science Foundation of Guangdong Province, China (grant 2020A1515011459). Yimin Li received funding for this study from the National Key R&D Program of China (grant No. 2023YFC3041700), the National Natural Science Foundation of China (grants Nos. 81970071 and 82270085), and the Emergency Key Program of Guangzhou Laboratory (grant No. SRPG23-001). X.L. received funding for this study from the National Natural Science Foundation of China (grant No. 82070084). The other authors have no conflicts of interest to declare.
Ethical Statement: The authors are accountable for all aspects of the work in ensuring that questions related to the accuracy or integrity of any part of the work are appropriately investigated and resolved. The study was conducted in accordance with the Declaration of Helsinki (as revised in 2013) and ethical approval was obtained from the ethics committee of The First Affiliated Hospital of Guangzhou Medical University (No. ES-2023-015-01) on January 11, 2023. As all six participating hospitals were affiliated with Guangzhou Medical University, they conducted the study under this approval. The requirement for informed consent was waived because of the retrospective nature of the study.
Open Access Statement: This is an Open Access article distributed in accordance with the Creative Commons Attribution-NonCommercial-NoDerivs 4.0 International License (CC BY-NC-ND 4.0), which permits the non-commercial replication and distribution of the article with the strict proviso that no changes or edits are made and the original work is properly cited (including links to both the formal publication through the relevant DOI and the license). See: https://creativecommons.org/licenses/by-nc-nd/4.0/.
References
- Singer M, Deutschman CS, Seymour CW, et al. The Third International Consensus Definitions for Sepsis and Septic Shock (Sepsis-3). JAMA 2016;315:801-10. [Crossref] [PubMed]
- Xie J, Wang H, Kang Y, et al. The Epidemiology of Sepsis in Chinese ICUs: A National Cross-Sectional Survey. Crit Care Med 2020;48:e209-18. [Crossref] [PubMed]
- World Health Organization. Improving the Prevention, Diagnosis and Clinical Management of Sepsis. 2020. Available online: https://apps.who.int/gb/ebwha/pdf_files/WHA70/A70_13-en.pdf. Accessed November 29, 2020
- Karakike E, Giamarellos-Bourboulis EJ, Kyprianou M, et al. Coronavirus Disease 2019 as Cause of Viral Sepsis: A Systematic Review and Meta-Analysis. Crit Care Med 2021;49:2042-57. [Crossref] [PubMed]
- Karim SSA, Karim QA. Omicron SARS-CoV-2 variant: a new chapter in the COVID-19 pandemic. Lancet 2021;398:2126-8. [Crossref] [PubMed]
- Bouzid D, Visseaux B, Kassasseya C, et al. Comparison of Patients Infected With Delta Versus Omicron COVID-19 Variants Presenting to Paris Emergency Departments: A Retrospective Cohort Study. Ann Intern Med 2022;175:831-7. [Crossref] [PubMed]
- World Health Organization. TAG-VE statement on the meeting of 3 January on the COVID-19 situation in China. Available online: https://www.who.int/news/item/04-01-2023-tag-ve-statement-on-the-3rd-january-meeting-on-the-covid-19-situation-in-china
- National Health Commission of the People's Republic China. Diagnosis and Treatment Program for Novel Coronavirus Infection (The Pilot Tenth Edition). Available online: http://www.nhc.gov.cn/ylyjs/pqt/202301/32de5b2ff9bf4eaa88e75bdf7223a65a.shtml
- Lansbury L, Lim B, Baskaran V, et al. Co-infections in people with COVID-19: a systematic review and meta-analysis. J Infect 2020;81:266-75. [Crossref] [PubMed]
- Langford BJ, So M, Raybardhan S, et al. Bacterial co-infection and secondary infection in patients with COVID-19: a living rapid review and meta-analysis. Clin Microbiol Infect 2020;26:1622-9. [Crossref] [PubMed]
- Carneiro AH, Póvoa P, Gomes JA. Dear Sepsis-3, we are sorry to say that we don't like you. Rev Bras Ter Intensiva 2017;29:4-8. [Crossref] [PubMed]
- Sterling SA, Puskarich MA, Glass AF, et al. The Impact of the Sepsis-3 Septic Shock Definition on Previously Defined Septic Shock Patients. Crit Care Med 2017;45:1436-42. [Crossref] [PubMed]
- Tusgul S, Carron PN, Yersin B, et al. Low sensitivity of qSOFA, SIRS criteria and sepsis definition to identify infected patients at risk of complication in the prehospital setting and at the emergency department triage. Scand J Trauma Resusc Emerg Med 2017;25:108. [Crossref] [PubMed]
- Cidade JP, Coelho LM, Costa V, et al. Septic shock 3.0 criteria application in severe COVID-19 patients: An unattended sepsis population with high mortality risk. World J Crit Care Med 2022;11:246-54. [Crossref] [PubMed]
- Ranzani OT, Monteiro MB, Ferreira EM, et al. Reclassifying the spectrum of septic patients using lactate: severe sepsis, cryptic shock, vasoplegic shock and dysoxic shock. Rev Bras Ter Intensiva 2013;25:270-8. [Crossref] [PubMed]
- Sterling SA, Puskarich MA, Shapiro NI, et al. Characteristics and outcomes of patients with vasoplegic versus tissue dysoxic septic shock. Shock 2013;40:11-4. [Crossref] [PubMed]
- Herminghaus A, Osuchowski MF. How sepsis parallels and differs from COVID-19. EBioMedicine 2022;86:104355. [Crossref] [PubMed]
- Bruse N, Kooistra EJ, Jansen A, et al. Clinical sepsis phenotypes in critically ill COVID-19 patients. Crit Care 2022;26:244. [Crossref] [PubMed]
- Oxman DA. Less Lumping and More Splitting: Why We Should Not Call COVID Sepsis. Crit Care Med 2021;49:e656-7. [Crossref] [PubMed]
- Shappell CN, Klompas M, Rhee C. Quantifying the Burden of Viral Sepsis During the Coronavirus Disease 2019 Pandemic and Beyond. Crit Care Med 2021;49:2140-3. [Crossref] [PubMed]
- Bone RC, Balk RA, Cerra FB, et al. Definitions for sepsis and organ failure and guidelines for the use of innovative therapies in sepsis. The ACCP/SCCM Consensus Conference Committee. American College of Chest Physicians/Society of Critical Care Medicine. Chest 1992;101:1644-55. [Crossref] [PubMed]
- Broman N, Rantasärkkä K, Feuth T, et al. IL-6 and other biomarkers as predictors of severity in COVID-19. Ann Med 2021;53:410-2. [Crossref] [PubMed]

